Suppr超能文献

慢性呼吸道疾病患者新发残疾风险预测模型:来自中国健康与养老追踪调查(CHARLS)的首个纵向证据

New-onset disability risk prediction model for chronic respiratory disease patients: the first longitudinal evidence from CHARLS.

作者信息

Zhao Xuanna, Cao Jiahao, Wang Yunan, Li Jiahua, Mai Xianjun, Qiao Youping, Liao Jinyu, Chen Min, Li Dongming, Wu Bin, Huang Dan, Wu Dong

机构信息

Department of Respiratory and Critical Care Medicine, Affiliated Hospital of Guangdong Medical University, Zhanjiang, China.

出版信息

Front Med (Lausanne). 2025 May 20;12:1545387. doi: 10.3389/fmed.2025.1545387. eCollection 2025.

Abstract

BACKGROUND

Although studies have explored the factors influencing the occurrence of disability, predictive models for disability risk in the chronic respiratory diseases (CRD) patient population remain inadequate.

METHODS

This study employed baseline data from the 2015 China Health and Retirement Longitudinal Study (CHARLS) to select 803 CRD patients without disabilities, who were then followed for 3 years to observe the emergence of new disabilities. Least Absolute Shrinkage and Selection Operator (LASSO) regression analysis was applied to identify risk factors associated with the onset of disability. Ultimately, multivariable logistic regression analysis pinpointed four critical predictive factors: marital status, self-perceived health, depressive symptoms, and age, which were subsequently incorporated into a nomogram model. The model's predictive efficacy was evaluated using the receiver operating characteristic curve (ROC), calibration curve, and decision curve analysis (DCA).

RESULTS

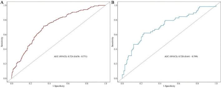
During the 3-year follow-up, 196 patients developed new disabilities, yielding an incidence rate of 24.41%. The model evaluation results revealed that area under the curve (AUC) for the training set was 0.724 (95% confidence interval [CI]: 0.676-0.771), and the AUC for the test set was 0.720 (95% CI: 0.641-0.799), demonstrating high accuracy, sensitivity, and specificity. The calibration curve confirmed that the predicted results aligned closely with the actual outcomes, while the DCA analysis illustrated that the model provided substantial net benefits in clinical decision-making, effectively identifying high-risk patients.

CONCLUSION

The nomogram model developed in this study effectively predicts the risk of new disability occurrence in CRD patients within 3 years. By identifying high-risk patients at an early stage, this model provides scientific evidence for early intervention and health management in CRD patients.

摘要

背景

尽管已有研究探讨了影响残疾发生的因素,但针对慢性呼吸系统疾病(CRD)患者群体的残疾风险预测模型仍不完善。

方法

本研究利用2015年中国健康与养老追踪调查(CHARLS)的基线数据,选取803名无残疾的CRD患者,对其进行为期3年的随访,观察新残疾的出现情况。应用最小绝对收缩和选择算子(LASSO)回归分析来识别与残疾发生相关的风险因素。最终,多变量逻辑回归分析确定了四个关键预测因素:婚姻状况、自我感知健康、抑郁症状和年龄,并将其纳入列线图模型。使用受试者工作特征曲线(ROC)、校准曲线和决策曲线分析(DCA)对模型的预测效能进行评估。

结果

在3年的随访期间,196名患者出现了新的残疾,发病率为24.41%。模型评估结果显示,训练集的曲线下面积(AUC)为0.724(95%置信区间[CI]:0.676 - 0.771),测试集的AUC为0.720(95%CI:0.641 - 0.799),表明该模型具有较高的准确性、敏感性和特异性。校准曲线证实预测结果与实际结果密切相符,而DCA分析表明该模型在临床决策中提供了显著的净效益,能够有效识别高危患者。

结论

本研究开发的列线图模型能够有效预测CRD患者在3年内出现新残疾的风险。通过早期识别高危患者,该模型为CRD患者的早期干预和健康管理提供了科学依据。

https://cdn.ncbi.nlm.nih.gov/pmc/blobs/0a06/12129796/4b6019a3cc1e/fmed-12-1545387-g001.jpg

文献AI研究员

20分钟写一篇综述,助力文献阅读效率提升50倍。

立即体验

用中文搜PubMed

大模型驱动的PubMed中文搜索引擎

马上搜索

文档翻译

学术文献翻译模型,支持多种主流文档格式。

立即体验