Suppr超能文献

阳离子轻稀有气体氢化物[HeH]和[NeH]中相互作用及振动光谱带的量子数据驱动建模

Quantum Data-Driven Modeling of Interactions and Vibrational Spectral Bands in Cationic Light Noble-Gas Hydrides: [HeH] and [NeH].

作者信息

Montes de Oca-Estévez María Judit, Valdés Álvaro, Prosmiti Rita

机构信息

Institute of Fundamental Physics (IFF-CSIC), CSIC, Serrano 123, 28006 Madrid, Spain.

Departamento de Física, Universidad Nacional de Colombia, Sede Medellín, A. A., Medellín 3840, Colombia.

出版信息

Molecules. 2025 Jun 3;30(11):2440. doi: 10.3390/molecules30112440.

Abstract

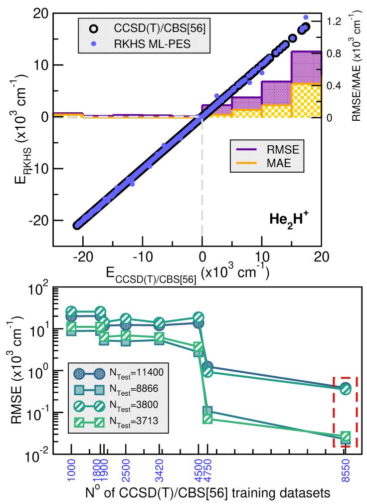
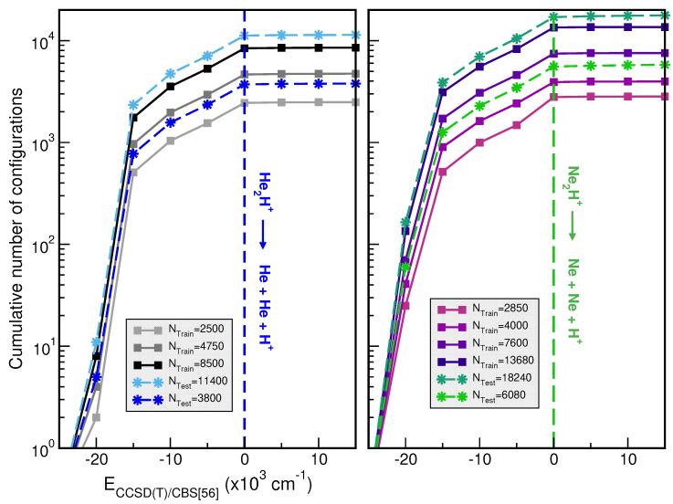
Motivated by two of the most unexpected discoveries in recent years-the detection of ArH and HeH+ noble gas molecules in the cold, low-pressure regions of the Universe-we investigate [HeH] and [NeH] as potentially detectable species in the interstellar medium, providing new insights into their energetic and spectral properties. These findings are crucial for advancing our understanding of noble gas chemistry in astrophysical environments. To achieve this, we employed a data-driven approach to construct a high-accuracy machine-learning potential energy surface using the reproducing kernel Hilbert space method. Training and testing datasets are generated via high-level CCSD(T)/CBS[56] quantum chemistry computations, followed by a rigorous validation protocol to ensure the reliability of the potential. The ML-PES is then used to compute vibrational states within the MCTDH framework, and assign spectral transitions for the most common isotopologues of these species in the interstellar medium. Our results are compared with previously recorded values, revealing that both cations exhibit a prominent proton-shuttle motion within the infrared spectral range, making them strong candidates for telescopic observation. This study provides a solid computational foundation, based on rigorous, fully quantum treatments, aiming to assist in the identification of these yet unobserved He/Ne hydride cations in astrophysical environments.

摘要

受近年来两个最意想不到的发现——在宇宙的寒冷、低压区域检测到ArH和HeH⁺惰性气体分子——的启发,我们研究了[HeH]和[NeH]作为星际介质中潜在可检测物种的情况,为它们的能量和光谱特性提供了新的见解。这些发现对于推进我们对天体物理环境中惰性气体化学的理解至关重要。为了实现这一点,我们采用了一种数据驱动的方法,使用再生核希尔伯特空间方法构建高精度的机器学习势能面。通过高级CCSD(T)/CBS[56]量子化学计算生成训练和测试数据集,随后进行严格的验证协议以确保势能的可靠性。然后使用ML-PES在MCTDH框架内计算振动态,并为星际介质中这些物种最常见的同位素异构体分配光谱跃迁。我们的结果与先前记录的值进行了比较,结果表明这两种阳离子在红外光谱范围内都表现出明显的质子穿梭运动,这使它们成为望远镜观测的有力候选者。这项研究基于严格的全量子处理提供了坚实的计算基础,旨在协助在天体物理环境中识别这些尚未观测到的He/Ne氢化物阳离子。

https://cdn.ncbi.nlm.nih.gov/pmc/blobs/17c6/12156169/f646232f0246/molecules-30-02440-g001.jpg

文献AI研究员

20分钟写一篇综述,助力文献阅读效率提升50倍。

立即体验

用中文搜PubMed

大模型驱动的PubMed中文搜索引擎

马上搜索

文档翻译

学术文献翻译模型,支持多种主流文档格式。

立即体验