Suppr超能文献

通过生物信息学分析和机器学习识别用于诊断伴有扩张型心肌病(DCM)的慢性肾脏病(CKD)的生物标志物。

Identification of biomarkers for the diagnosis of chronic kidney disease (CKD) with dilated cardiomyopathy (DCM) by bioinformatics analysis and machine learning.

作者信息

Liu Yuhang, Wang Yong, Nie Wenyang, Wang Zhen

机构信息

College of First Clinical Medicine, Shandong University of Traditional Chinese Medicine, Jinan, China.

Department of Cardiology, Affiliated Hospital of Shandong University of Traditional Chinese Medicine, Jinan, China.

出版信息

Front Genet. 2025 May 30;16:1562891. doi: 10.3389/fgene.2025.1562891. eCollection 2025.

Abstract

BACKGROUND

Chronic kidney disease (CKD) is a globally prevalent and highly lethal condition, often accompanied by dilated cardiomyopathy (DCM), which increases the risk of cardiac complications. Early detection of DCM in CKD patients remains challenging, despite established research demonstrating the relationship between CKD and cardiac abnormalities.

METHODS

We retrieved expression matrices for DCM (GSE57338, GSE29819) and CKD (GSE104954) from GEO and a DCM scRNA-seq dataset (GSE145154). These were analyzed for differential gene expression and WGCNA. KEGG and GO analyses were performed on shared differentially expressed genes in DCM and CKD. Potential drugs for DCM were identified using CMAP. Machine learning methods LASSO, SVM-RFE, and RF were used to find biomarkers and develop a diagnostic nomogram for CKD-associated DCM, validated with external datasets. Single-gene GSEA was conducted to understand model gene mechanisms in CKD-associated DCM. Immune cell infiltration was analyzed with CIBERSORT, and single-cell sequencing examined model gene distribution and expression in the heart.

RESULTS

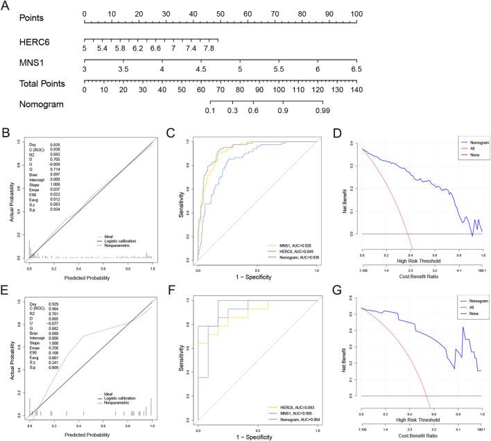
Our examination of the expression matrix datasets associated with DCM and CKD revealed 115 key model genes that are shared by the two disorders as well as 47 genes that are differently expressed. These 47 differentially expressed genes were primarily linked to immune regulation and inflammation, according to enrichment analysis. CMAP analysis suggested withaferin-a, droxinostat, fluorometholone, and others as potential DCM treatments. Machine learning identified MNS1 and HERC6 as significant CKD-associated DCM biomarkers. A diagnostic nomogram using these genes was developed, showing strong discriminative power and clinical utility. MNS1 and HERC6 are implicated in metabolism, inflammation, immunity, and heart function. Immune cell infiltration analysis indicated dysregulation in DCM, with MNS1 and HERC6 correlating with immune cells. Single-cell sequencing showed MNS1 and HERC6 expression in endothelial cells and fibroblasts, respectively.

CONCLUSION

We identified MNS1 and HERC6 as biomarkers and developed a new diagnostic nomogram based on them for the timely diagnosis of CKD patients presenting with DCM complications. This study's findings offer novel insights into potential diagnostic methods and therapeutic strategies regarding the coexistence of CKD and DCM.

摘要

背景

慢性肾脏病(CKD)是一种全球普遍存在且致死率很高的疾病,常伴有扩张型心肌病(DCM),这增加了心脏并发症的风险。尽管已有研究证实CKD与心脏异常之间的关系,但在CKD患者中早期检测DCM仍然具有挑战性。

方法

我们从基因表达综合数据库(GEO)中检索了DCM(GSE57338、GSE29819)和CKD(GSE104954)的表达矩阵以及一个DCM单细胞RNA测序数据集(GSE145154)。对这些数据进行差异基因表达分析和加权基因共表达网络分析(WGCNA)。对DCM和CKD中共享的差异表达基因进行京都基因与基因组百科全书(KEGG)和基因本体(GO)分析。使用连通性映射分析平台(CMAP)确定DCM的潜在药物。使用机器学习方法套索回归(LASSO)、支持向量机递归特征消除(SVM-RFE)和随机森林(RF)来寻找生物标志物并开发用于CKD相关DCM的诊断列线图,并使用外部数据集进行验证。进行单基因基因集富集分析(GSEA)以了解CKD相关DCM中模型基因的机制。使用CIBERSORT分析免疫细胞浸润情况,并通过单细胞测序检查模型基因在心脏中的分布和表达。

结果

我们对与DCM和CKD相关的表达矩阵数据集的研究发现,这两种疾病共有115个关键模型基因以及47个差异表达基因。根据富集分析,这47个差异表达基因主要与免疫调节和炎症相关。CMAP分析表明,穿心莲内酯、曲古抑菌素、氟米龙等可能是DCM的治疗药物。机器学习确定MNS1和HERC6是与CKD相关的DCM的重要生物标志物。利用这些基因开发了一种诊断列线图,显示出很强的判别能力和临床实用性。MNS1和HERC6与代谢、炎症、免疫和心脏功能有关。免疫细胞浸润分析表明DCM存在失调,MNS1和HERC6与免疫细胞相关。单细胞测序显示MNS1和HERC6分别在内皮细胞和成纤维细胞中表达。

结论

我们确定MNS1和HERC6为生物标志物,并基于它们开发了一种新的诊断列线图,用于及时诊断出现DCM并发症的CKD患者。本研究结果为CKD和DCM共存的潜在诊断方法和治疗策略提供了新的见解。

https://cdn.ncbi.nlm.nih.gov/pmc/blobs/c76b/12162942/8a11f4b40f42/fgene-16-1562891-g001.jpg

文献检索

告别复杂PubMed语法,用中文像聊天一样搜索,搜遍4000万医学文献。AI智能推荐,让科研检索更轻松。

立即免费搜索

文件翻译

保留排版,准确专业,支持PDF/Word/PPT等文件格式,支持 12+语言互译。

免费翻译文档

深度研究

AI帮你快速写综述,25分钟生成高质量综述,智能提取关键信息,辅助科研写作。

立即免费体验