Zuckerman Jonathan, Pham Phuong-Thu, Parakkal Meena, Velazquez Alexis F, Sarkar Mrinalini, Pablos Michael A, Bunnapradist Suphamai, Lum Erik L
Department of Pathology and Laboratory Medicine, David Geffen School of Medicine, University of California, Los Angeles, CA 90095, United States.
Department of Medicine, Division of Nephrology, David Geffen School of Medicine, University of California, Los Angeles, CA 90095, United States.
World J Transplant. 2025 Jun 18;15(2):101517. doi: 10.5500/wjt.v15.i2.101517.
C3 glomerulopathies (C3G) are a rare cause of kidney failure resulting from complement dysregulation. Small studies demonstrate a high rate of recurrence and poor outcomes in kidney transplantation. Treatment efficacy in this setting with eculizumab, a terminal complement inhibitor, is largely unknown.
To determine the outcomes of kidney transplantation in patients with C3G and the potential impact of eculizumab.
We retrospectively studied kidney transplant recipients who underwent a post-transplant biopsy confirming C3G between January 1, 1993 and December 31, 2023 at a single center. Only the first episode of kidney transplant was reviewed. The electronic medical records were reviewed for post-transplant allograft function, indication for biopsy, time to biopsy from transplant, time to allograft failure from transplantation, post-C3G treatment, complement laboratory testing, and concurrent malignancy/infection. Reports, and when available slides and immunofluorescence/electron microscopic images, were re-reviewed by a renal pathologist.
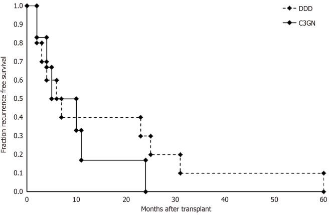
A total of fifteen patients were included in this study. Fourteen patients had suspected recurrent disease, with a pre-transplant native kidney report of C3G. One patient developed C3G. Median post kidney transplant clinical follow up time was 91 months. Median time to recurrence was 7 months with median graft survival of 48 months post kidney transplantation. The most common index biopsy pattern of injury was endocapillary proliferative glomerulonephritis (often with exudative features) with or without mesangial hypercellularity (56%) followed by membranoproliferative glomerulonephritis (25%). Most patients developed membranoproliferative glomerulonephritis pattern of injury on follow up biopsies (63%). Seven patients with recurrent disease received treatment with eculizumab with a median graft survival of 73 months, with five functioning grafts by the end of the study period. Seven patients with recurrent disease did not receive therapy, and all lost their graft with a median graft survival of 22 months ( = 0.003).
C3G following kidney transplantation is mostly a recurrent disorder with a poor prognosis in untreated patients. Untreated recurrence has a poor prognosis with median allograft survival < 2 years. Early treatment with eculizumab may improve transplant outcomes in patients with recurrent C3G.
C3肾小球病(C3G)是补体调节异常导致肾衰竭的罕见原因。小型研究表明,肾移植术后复发率高且预后不良。在这种情况下,使用末端补体抑制剂依库珠单抗的治疗效果很大程度上未知。
确定C3G患者肾移植的结局以及依库珠单抗的潜在影响。
我们回顾性研究了1993年1月1日至2023年12月31日在单一中心接受移植后活检确诊为C3G的肾移植受者。仅回顾首次肾移植情况。查阅电子病历以了解移植后同种异体肾的功能、活检指征、移植后至活检的时间、移植后至同种异体肾失败的时间、C3G治疗后情况、补体实验室检测以及并发恶性肿瘤/感染情况。肾病理学家重新审查报告,如有可用的切片及免疫荧光/电子显微镜图像也一并审查。
本研究共纳入15例患者。14例患者怀疑疾病复发,移植前自体肾报告为C3G。1例患者发生C3G。肾移植术后临床随访时间中位数为91个月。复发的中位时间为7个月,肾移植后移植物存活时间中位数为48个月。最常见的损伤指标活检模式是毛细血管内增生性肾小球肾炎(通常伴有渗出性特征),伴有或不伴有系膜细胞增多(56%),其次是膜增生性肾小球肾炎(25%)。大多数患者在随访活检时出现膜增生性肾小球肾炎损伤模式(63%)。7例复发患者接受依库珠单抗治疗,移植物存活时间中位数为73个月,研究期末有5个移植物功能良好。7例复发患者未接受治疗,所有患者均失去移植物,移植物存活时间中位数为22个月(P = 0.003)。
肾移植后C3G大多是一种复发性疾病,未经治疗的患者预后不良。未经治疗的复发预后不佳,同种异体肾存活时间中位数<2年。早期使用依库珠单抗治疗可能改善复发性C3G患者的移植结局。