Suppr超能文献

用于5G通信的加载有频率选择表面的高隔离四端口MIMO天线。

High isolation quad ports MIMO antenna loaded with FSS for 5G communication.

作者信息

Gaber Shaymaa M, Kareem Radwa A, Ibrahim Ahmed A

机构信息

Faculty of Engineering, Egyptian Russian University, Badr, Egypt.

Communications and Electronics Engineering Department, October High Institute for Engineering and Technology, 6th of October City, Egypt.

出版信息

Sci Rep. 2025 Jun 20;15(1):20167. doi: 10.1038/s41598-025-05616-7.

Abstract

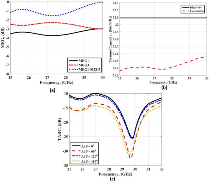
This paper introduces a high isolation quad ports MIMO (Multiple-Input Multiple-Output) antenna with a frequency selective surface (FSS) structure for higher frequency bands in 5G communication systems. The recommended antenna is designed for 28 GHz application. The single unit of the antenna consists of a microstrip feed line on one side and a rectangular slot in the ground plane on the other side. The four MIMO antennas are arranged orthogonally on a Rogers RO4003C substrate with a permittivity of 3.38, a loss tangent (tan δ) of 0.002, and a height of 0.203 mm. The substrate features a cross-shaped cut to enhance the isolation between ports. An FSS is placed beneath the MIMO system to improve the overall gain across the desired frequency band. The antenna size is 25.7 × 25.7 mm². The design and simulation of the proposed structure were carried out using CST MW Studio. The antenna with and without the FSS structure was constructed and tested to verify the simulation results. The results indicate that the suggested structure is worked from 25.5 GHz up to 30 GHz with insertion loss ≤ -22 dB and peak gain of around 8dBi. As well, the envelope correlation coefficient (ECC), diversity gain (DG), and channel capacity loss (CCL) are measured and achieved ≤ 0.002, ≥ 9.99 dB, ≤ 0.2 bit/s/Hz, respectively. Also, extra MIMO parameters such as mean effective gain (MEG), channel capacity, and total active reflection coefficient (TARC) are extracted and achieve good outcomes confirming the ability of the antenna to be applicable for 5G networks.

摘要

本文介绍了一种用于5G通信系统更高频段的、具有频率选择表面(FSS)结构的高隔离四端口多输入多输出(MIMO)天线。推荐的天线设计用于28GHz应用。天线的单个单元一侧由微带馈线组成,另一侧在地平面上有一个矩形缝隙。四个MIMO天线正交排列在罗杰斯RO4003C基板上,该基板的介电常数为3.38,损耗角正切(tan δ)为0.002,高度为0.203mm。该基板具有十字形切口,以增强端口之间的隔离。一个FSS放置在MIMO系统下方,以提高所需频段的整体增益。天线尺寸为25.7×25.7mm²。使用CST MW Studio对所提出的结构进行了设计和仿真。构建并测试了有无FSS结构的天线,以验证仿真结果。结果表明,所建议的结构在25.5GHz至30GHz范围内工作,插入损耗≤ -22dB,峰值增益约为8dBi。此外,还测量了包络相关系数(ECC)、分集增益(DG)和信道容量损耗(CCL),分别达到≤ 0.002、≥ 9.99dB、≤ 0.2bit/s/Hz。此外,还提取了额外的MIMO参数,如平均有效增益(MEG)、信道容量和总有源反射系数(TARC),并取得了良好的结果,证实了该天线适用于5G网络的能力。

https://cdn.ncbi.nlm.nih.gov/pmc/blobs/a954/12181252/d68f7b5baf2c/41598_2025_5616_Fig1_HTML.jpg

文献AI研究员

20分钟写一篇综述,助力文献阅读效率提升50倍。

立即体验

用中文搜PubMed

大模型驱动的PubMed中文搜索引擎

马上搜索

文档翻译

学术文献翻译模型,支持多种主流文档格式。

立即体验