Suppr超能文献

祁门红茶烘焙过程中关键香气成分的形成机制及动力学模型

Formation Mechanisms and Kinetic Modeling of Key Aroma Compounds During Qidan Tea Roasting.

作者信息

Gao Xing, Wang Siyuan, Wang Ying, Song Huanlu

机构信息

Laboratory of Molecular Sensory Science, School of Food and Health, Beijing Technology and Business University, Beijing 100048, China.

出版信息

Foods. 2025 Jun 18;14(12):2125. doi: 10.3390/foods14122125.

Abstract

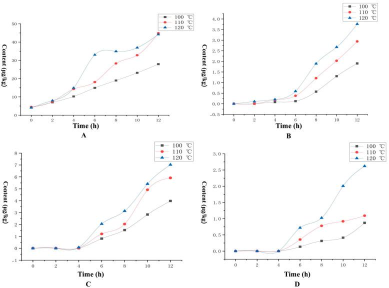
Understanding the changes in tea aroma and non-volatile substances during roasting is essential for optimizing tea processing and enhancing tea quality. In this study, the Carbon Module Labeling (CAMOLA) technique was employed to simulate the roasting conditions of Qidan, thereby elucidating the formation pathway of the theanine-glucose Maillard system. Combined with sensory evaluation, the results indicated that the floral and fruity aromas of Qidan tea decreased, while the woody, roasted, smoky, and herbal aromas increased with prolonged roasting time. Kinetic modeling demonstrated that higher temperatures favored the production of benzaldehyde, which was directly proportional to the heating temperature. In contrast, pyrazines exhibited zero-order kinetics, influenced by both temperature and time. An increasing trend in furans was observed with rising temperature and extended heating time. The kinetic equations effectively describe the changes in aroma compounds associated with merad, highlighting the differences in the production patterns of aroma compounds under varying roasting conditions. This study provides a theoretical foundation for optimizing roasting parameters to enhance tea quality.

摘要

了解烘焙过程中茶叶香气和非挥发性物质的变化对于优化茶叶加工和提高茶叶品质至关重要。在本研究中,采用碳模块标记(CAMOLA)技术模拟奇丹的烘焙条件,从而阐明茶氨酸-葡萄糖美拉德体系的形成途径。结合感官评价,结果表明,随着烘焙时间延长,奇丹茶的花香和果香减少,而木香、烤香、烟熏香和药草香增加。动力学模型表明,较高温度有利于苯甲醛的生成,其与加热温度成正比。相比之下,吡嗪表现出零级动力学,受温度和时间的影响。随着温度升高和加热时间延长,呋喃呈现增加趋势。动力学方程有效地描述了与美拉德反应相关的香气化合物的变化,突出了不同烘焙条件下香气化合物生成模式的差异。本研究为优化烘焙参数以提高茶叶品质提供了理论基础。

https://cdn.ncbi.nlm.nih.gov/pmc/blobs/6a19/12191808/008e3111f93c/foods-14-02125-g001.jpg

文献检索

告别复杂PubMed语法,用中文像聊天一样搜索,搜遍4000万医学文献。AI智能推荐,让科研检索更轻松。

立即免费搜索

文件翻译

保留排版,准确专业,支持PDF/Word/PPT等文件格式,支持 12+语言互译。

免费翻译文档

深度研究

AI帮你快速写综述,25分钟生成高质量综述,智能提取关键信息,辅助科研写作。

立即免费体验