• 文献检索
  • 文档翻译
  • 深度研究
  • 学术资讯
  • Suppr Zotero 插件Zotero 插件
  • 邀请有礼
  • 套餐&价格
  • 历史记录
应用&插件
Suppr Zotero 插件Zotero 插件浏览器插件Mac 客户端Windows 客户端微信小程序
定价
高级版会员购买积分包购买API积分包
服务
文献检索文档翻译深度研究API 文档MCP 服务
关于我们
关于 Suppr公司介绍联系我们用户协议隐私条款
关注我们

Suppr 超能文献

核心技术专利:CN118964589B侵权必究
粤ICP备2023148730 号-1Suppr @ 2026

文献检索

告别复杂PubMed语法,用中文像聊天一样搜索,搜遍4000万医学文献。AI智能推荐,让科研检索更轻松。

立即免费搜索

文件翻译

保留排版,准确专业,支持PDF/Word/PPT等文件格式,支持 12+语言互译。

免费翻译文档

深度研究

AI帮你快速写综述,25分钟生成高质量综述,智能提取关键信息,辅助科研写作。

立即免费体验

基于核蛋白的通用流感疫苗OVX836与基于季节性血凝素的疫苗Fluarix Tetra联合使用的安全性和免疫原性。

Safety and Immunogenicity of OVX836, a Nucleoprotein-Based Universal Influenza Vaccine, Co-Administered with Fluarix Tetra, a Seasonal Hemagglutinin-Based Vaccine.

作者信息

Groth Nicola, Bruhwyler Jacques, Tourneur Jessika, Piat Emilie, Moris Philippe, Le Vert Alexandre, Nicolas Florence

机构信息

Biometry and Medical Writing, Osivax, 70 Rue Saint-Jean-de-Dieu, 69007 Lyon, France.

出版信息

Vaccines (Basel). 2025 May 23;13(6):558. doi: 10.3390/vaccines13060558.

DOI:10.3390/vaccines13060558
PMID:40573889
原文链接:https://pmc.ncbi.nlm.nih.gov/articles/PMC12197426/
Abstract

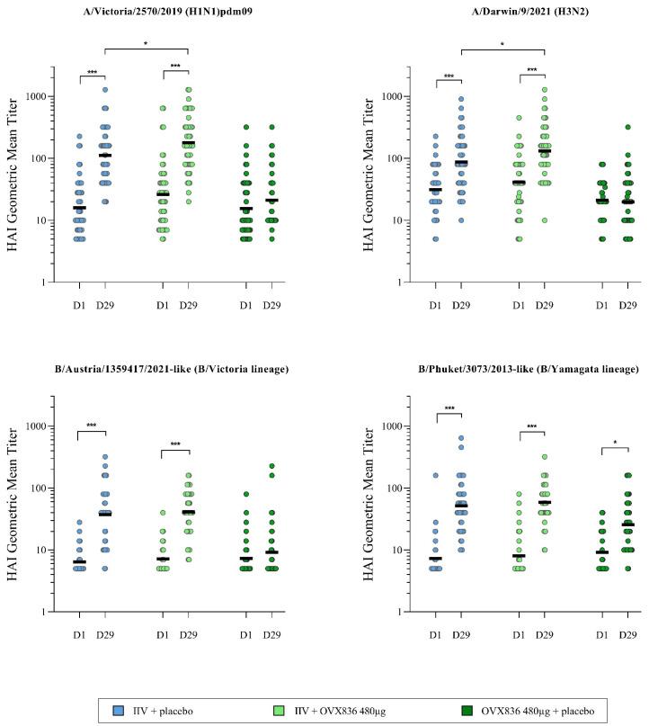
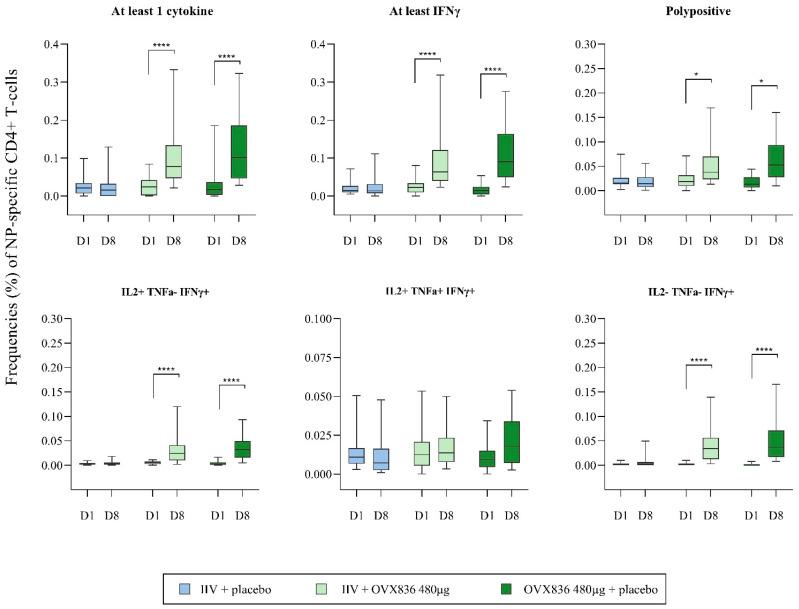
: The combination of a hemagglutinin antigen (HA)-based inactivated influenza vaccine (IIV; Fluarix Tetra; GlaxoSmithKline) with a nucleoprotein (NP)-based vaccine, such as OVX836, should increase the efficacy of influenza vaccines since it leverages two complementary immunological mechanisms: HA antibodies targeting the virus envelope and neutralizing it, and an NP cell-mediated immune (CMI) response destroying infected cells. : This was a randomized, double-blind, Phase 2a study (ClinicalTrials.gov NCT05284799) including three groups of 60 healthy subjects (18-55 years old) receiving either IIV + placebo, IIV + OVX836 (480 µg), or OVX836 + placebo intramuscularly and concomitantly into the same deltoid muscle. The endpoints were reactogenicity, safety, and immunogenicity (hemagglutination inhibition assay [HAI], anti-NP immunoglobulin G [IgG], and NP-specific cell-mediated immunity [CMI]). : The co-administration of IIV + OVX836 was safe and well-tolerated. The HAI response was strong and similar in the two IIV groups with no interference of OVX836. The humoral anti-NP IgG and NP-specific CMI responses to OVX836 were strong in the two OVX836 groups, and no major interference of IIV was observed. : This study supports further clinical development of OVX836 as a combined IIV/OVX836 seasonal vaccine capable of inducing robust and complementary HAI and CMI NP-specific responses.

摘要

基于血凝素抗原(HA)的灭活流感疫苗(IIV;Fluarix Tetra;葛兰素史克公司)与基于核蛋白(NP)的疫苗(如OVX836)联合使用,应可提高流感疫苗的效力,因为它利用了两种互补的免疫机制:靶向病毒包膜并使其失活的HA抗体,以及破坏受感染细胞的NP细胞介导免疫(CMI)反应。

这是一项随机、双盲、2a期研究(ClinicalTrials.gov标识符:NCT05284799),包括三组60名健康受试者(18至55岁),他们通过肌肉注射同时将IIV + 安慰剂、IIV + OVX836(480微克)或OVX836 + 安慰剂注射到同一三角肌中。研究终点为反应原性、安全性和免疫原性(血凝抑制试验[HAI]、抗NP免疫球蛋白G[IgG]和NP特异性细胞介导免疫[CMI])。

IIV + OVX836联合给药安全且耐受性良好。两个IIV组的HAI反应强烈且相似,未受OVX836干扰。两个OVX836组对OVX836的体液抗NP IgG和NP特异性CMI反应强烈,未观察到IIV的重大干扰。

本研究支持将OVX836进一步开发为一种联合IIV/OVX836季节性疫苗,该疫苗能够诱导强大且互补的HAI和CMI NP特异性反应。

https://cdn.ncbi.nlm.nih.gov/pmc/blobs/be24/12197426/f5e7ef54e26a/vaccines-13-00558-g005.jpg
https://cdn.ncbi.nlm.nih.gov/pmc/blobs/be24/12197426/3b9d82210519/vaccines-13-00558-g001.jpg
https://cdn.ncbi.nlm.nih.gov/pmc/blobs/be24/12197426/c5ba62b87036/vaccines-13-00558-g002.jpg
https://cdn.ncbi.nlm.nih.gov/pmc/blobs/be24/12197426/7b2f6618f41c/vaccines-13-00558-g003.jpg
https://cdn.ncbi.nlm.nih.gov/pmc/blobs/be24/12197426/e4ea69f6ecb7/vaccines-13-00558-g004.jpg
https://cdn.ncbi.nlm.nih.gov/pmc/blobs/be24/12197426/f5e7ef54e26a/vaccines-13-00558-g005.jpg
https://cdn.ncbi.nlm.nih.gov/pmc/blobs/be24/12197426/3b9d82210519/vaccines-13-00558-g001.jpg
https://cdn.ncbi.nlm.nih.gov/pmc/blobs/be24/12197426/c5ba62b87036/vaccines-13-00558-g002.jpg
https://cdn.ncbi.nlm.nih.gov/pmc/blobs/be24/12197426/7b2f6618f41c/vaccines-13-00558-g003.jpg
https://cdn.ncbi.nlm.nih.gov/pmc/blobs/be24/12197426/e4ea69f6ecb7/vaccines-13-00558-g004.jpg
https://cdn.ncbi.nlm.nih.gov/pmc/blobs/be24/12197426/f5e7ef54e26a/vaccines-13-00558-g005.jpg

相似文献

1
Safety and Immunogenicity of OVX836, a Nucleoprotein-Based Universal Influenza Vaccine, Co-Administered with Fluarix Tetra, a Seasonal Hemagglutinin-Based Vaccine.基于核蛋白的通用流感疫苗OVX836与基于季节性血凝素的疫苗Fluarix Tetra联合使用的安全性和免疫原性。
Vaccines (Basel). 2025 May 23;13(6):558. doi: 10.3390/vaccines13060558.
2
Randomized, Double-Blind, Reference-Controlled, Phase 2a Study Evaluating the Immunogenicity and Safety of OVX836, A Nucleoprotein-Based Influenza Vaccine.一项评估基于核蛋白的流感疫苗 OVX836 的免疫原性和安全性的随机、双盲、对照、2a 期研究
Front Immunol. 2022 Apr 7;13:852904. doi: 10.3389/fimmu.2022.852904. eCollection 2022.
3
Immunogenicity, safety, and preliminary efficacy evaluation of OVX836, a nucleoprotein-based universal influenza A vaccine candidate: a randomised, double-blind, placebo-controlled, phase 2a trial.基于核蛋白的通用流感 A 疫苗候选物 OVX836 的免疫原性、安全性和初步疗效评估:一项随机、双盲、安慰剂对照、2a 期临床试验。
Lancet Infect Dis. 2023 Dec;23(12):1360-1369. doi: 10.1016/S1473-3099(23)00351-1. Epub 2023 Jul 27.
4
Recombinant quadrivalent influenza vaccine (RIV) induces robust cell-mediated and HA-specific B cell humoral immune responses among healthcare personnel.重组四价流感疫苗(RIV)在医护人员中诱导出强大的细胞介导免疫反应和HA特异性B细胞体液免疫反应。
Vaccine. 2025 Jun 19;61:127361. doi: 10.1016/j.vaccine.2025.127361.
5
Immunogenicity and seroefficacy of pneumococcal conjugate vaccines: a systematic review and network meta-analysis.肺炎球菌结合疫苗的免疫原性和血清效力:系统评价和网络荟萃分析。
Health Technol Assess. 2024 Jul;28(34):1-109. doi: 10.3310/YWHA3079.
6
Safety and Immunogenicity of an Adjuvanted Clostridioides difficile Vaccine Candidate in Healthy Adults: A Randomized Placebo-Controlled Phase 1 Study.一种含佐剂的艰难梭菌候选疫苗在健康成年人中的安全性和免疫原性:一项随机安慰剂对照1期研究。
J Infect Dis. 2025 Mar 17;231(3):e511-e520. doi: 10.1093/infdis/jiae466.
7
Phase 1 Randomized, Placebo-Controlled, Dose-Escalating Study to Evaluate OVX836, a Nucleoprotein-Based Influenza Vaccine: Intramuscular Results.1 期随机、安慰剂对照、剂量递增研究评估基于核蛋白的流感疫苗 OVX836:肌肉内结果。
J Infect Dis. 2022 Aug 12;226(1):119-127. doi: 10.1093/infdis/jiab532.
8
Safety, immunogenicity, and optimal dosing of a modified vaccinia Ankara-based vaccine against MERS-CoV in healthy adults: a phase 1b, double-blind, randomised placebo-controlled clinical trial.基于安卡拉痘苗病毒的中东呼吸综合征冠状病毒疫苗在健康成年人中的安全性、免疫原性及最佳剂量:一项1b期双盲随机安慰剂对照临床试验
Lancet Infect Dis. 2025 Feb;25(2):231-242. doi: 10.1016/S1473-3099(24)00423-7. Epub 2024 Oct 7.
9
Immunogenicity, safety, and efficacy of the vaccine H56:IC31 in reducing the rate of tuberculosis disease recurrence in HIV-negative adults successfully treated for drug-susceptible pulmonary tuberculosis: a double-blind, randomised, placebo-controlled, phase 2b trial.疫苗H56:IC31在降低成功治疗药物敏感型肺结核的HIV阴性成人结核病复发率方面的免疫原性、安全性和疗效:一项双盲、随机、安慰剂对照的2b期试验。
Lancet Infect Dis. 2025 Jul;25(7):751-763. doi: 10.1016/S1473-3099(24)00814-4. Epub 2025 Mar 5.
10
Safety and immunogenicity of a pentavalent meningococcal conjugate vaccine versus a quadrivalent meningococcal conjugate vaccine in adults in India: an observer-blind, randomised, active-controlled, phase 2/3 study.在印度成年人中,五价脑膜炎球菌结合疫苗与四价脑膜炎球菌结合疫苗的安全性和免疫原性:一项观察者盲法、随机、活性对照、2/3期研究。
Lancet Infect Dis. 2025 Apr;25(4):399-410. doi: 10.1016/S1473-3099(24)00576-0. Epub 2024 Nov 6.

本文引用的文献

1
Evaluation of Safety, Immunogenicity and Cross-Reactive Immunity of OVX836, a Nucleoprotein-Based Universal Influenza Vaccine, in Older Adults.基于核蛋白的通用流感疫苗OVX836在老年人中的安全性、免疫原性和交叉反应性免疫评估。
Vaccines (Basel). 2024 Dec 11;12(12):1391. doi: 10.3390/vaccines12121391.
2
Opportunities and challenges for T cell-based influenza vaccines.基于T细胞的流感疫苗的机遇与挑战。
Nat Rev Immunol. 2024 Oct;24(10):736-752. doi: 10.1038/s41577-024-01030-8. Epub 2024 May 2.
3
Nucleoprotein as a Promising Antigen for Broadly Protective Influenza Vaccines.
核蛋白作为一种有潜力的广泛保护性流感疫苗抗原。
Vaccines (Basel). 2023 Nov 23;11(12):1747. doi: 10.3390/vaccines11121747.
4
Immunogenicity, safety, and preliminary efficacy evaluation of OVX836, a nucleoprotein-based universal influenza A vaccine candidate: a randomised, double-blind, placebo-controlled, phase 2a trial.基于核蛋白的通用流感 A 疫苗候选物 OVX836 的免疫原性、安全性和初步疗效评估:一项随机、双盲、安慰剂对照、2a 期临床试验。
Lancet Infect Dis. 2023 Dec;23(12):1360-1369. doi: 10.1016/S1473-3099(23)00351-1. Epub 2023 Jul 27.
5
The role of cell-mediated immunity against influenza and its implications for vaccine evaluation.细胞介导免疫对流感的作用及其对疫苗评估的影响。
Front Immunol. 2022 Aug 16;13:959379. doi: 10.3389/fimmu.2022.959379. eCollection 2022.
6
Randomized, Double-Blind, Reference-Controlled, Phase 2a Study Evaluating the Immunogenicity and Safety of OVX836, A Nucleoprotein-Based Influenza Vaccine.一项评估基于核蛋白的流感疫苗 OVX836 的免疫原性和安全性的随机、双盲、对照、2a 期研究
Front Immunol. 2022 Apr 7;13:852904. doi: 10.3389/fimmu.2022.852904. eCollection 2022.
7
Considering Needle Phobia among Adult Patients During Mass COVID-19 Vaccinations.考虑到在大规模 COVID-19 疫苗接种期间成年患者对针头的恐惧。
J Prim Care Community Health. 2021 Jan-Dec;12:21501327211007393. doi: 10.1177/21501327211007393.
8
Global burden of influenza-associated lower respiratory tract infections and hospitalizations among adults: A systematic review and meta-analysis.全球成人流感相关下呼吸道感染和住院负担:系统评价和荟萃分析。
PLoS Med. 2021 Mar 1;18(3):e1003550. doi: 10.1371/journal.pmed.1003550. eCollection 2021 Mar.
9
Call for a paradigm shift in the design of universal influenza vaccines by harnessing multiple correlates of protection.呼吁通过利用多种保护相关因素,在通用流感疫苗的设计中进行范式转变。
Expert Opin Drug Discov. 2020 Dec;15(12):1441-1455. doi: 10.1080/17460441.2020.1801629. Epub 2020 Aug 12.
10
Vaccine Efficacy Needed for a COVID-19 Coronavirus Vaccine to Prevent or Stop an Epidemic as the Sole Intervention.新冠病毒疫苗要成为预防或阻止疫情流行的唯一干预手段,必须有疫苗效力。
Am J Prev Med. 2020 Oct;59(4):493-503. doi: 10.1016/j.amepre.2020.06.011. Epub 2020 Jul 15.