Suppr超能文献

日本A20单倍体不足的临床特征与治疗策略:一项全国性流行病学调查

Clinical characteristics and treatment strategies for A20 haploinsufficiency in Japan: a national epidemiological survey.

作者信息

Shiraki Mayuka, Kadowaki Saori, Miwa Yuki, Nishimura Kenichi, Maruyama Yuta, Kishida Dai, Imagawa Kazuo, Kobayashi Chie, Takada Hidetoshi, Mitsunaga Kanako, Inoue Yuzaburo, Ebato Takasuke, Miyamoto Takayuki, Hiejima Eitaro, Sato Shuzo, Migita Kiyoshi, Matsubayashi Tadashi, Kobayashi Daisuke, Hasegawa Eriko, Kaneko Utako, Ishikawa Takashi, Onodera Masafumi, Matsushita Kohei, Koike Yuhki, Umebayashi Hiroaki, Kakuta Fumihiko, Abukawa Daiki, Funakoshi Yasutomo, Ishimura Masataka, Otani Yusuke, Nishizawa Takuya, Ishige Takashi, Hatori Reiko, Tanaka Seiji, Kusunoki Shouichirou, Nakamura Kimitoshi, Shirai Harumi, Hatai Yoshiho, Miyaoka Futaba, Kaneko Shuya, Shimbo Asami, Shimizu Masaki, Kanegane Hirokazu, Hashimoto Motomu, Negoro Nobuo, Yoshida Taro, Wada Yasunori, Usami Masaaki, Wada Taizo, Izawa Kazushi, Yasumi Takahiro, Nishikomori Ryuta, Ohnishi Hidenori

机构信息

Department of Pediatrics, Gifu University Graduate School of Medicine, Gifu, Japan.

Department of Early Diagnosis and Preventive Medicine for Rare Intractable Pediatric Diseases, Graduate School of Medicine, Gifu University, Gifu, Japan.

出版信息

Front Immunol. 2025 Jun 12;16:1548042. doi: 10.3389/fimmu.2025.1548042. eCollection 2025.

Abstract

BACKGROUND

The severity of A20 haploinsufficiency (HA20) varies, with no established clinical guidelines for treatment. This study aimed to elucidate the clinical characteristics of, and the efficacy of treatments attempted in, patients with HA20 in Japan.

METHODS

Clinical information on HA20 patients from medical records was retrospectively collected through the attending physicians.

RESULTS

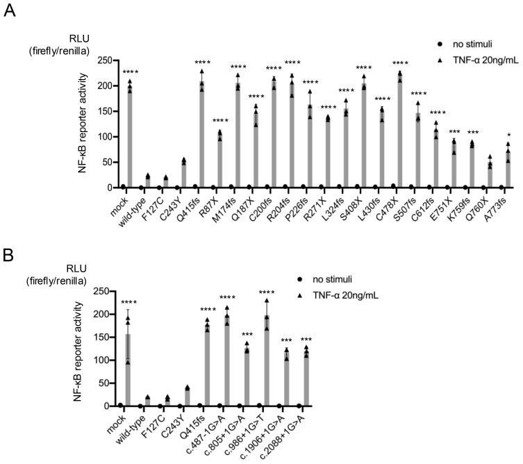
Seventy-two HA20 patients were identified in Japan. And, 54 patients from 37 unrelated families were analyzed in detail. HA20 patients exhibited common features, including recurrent fever, gastrointestinal and musculoskeletal symptoms, and autoimmune disease; various organ disorders (e.g. neurological, liver, and pulmonary diseases) were less common complications. Molecular target drugs (MTDs) were administered in 44.4% of patients, among which anti-tumor necrosis factor (TNF)-α agents showed efficacy in 59.5% of patients. Eleven patients did not experience control of inflammation with initial MTDs, most commonly because of relapse due to secondary failure of MTDs. Anti-drug antibodies were related to the secondary failure of adalimumab in one patient and infusion reactions to infliximab in two patients. In such refractory cases, other treatments (e.g. switching the first MTD to an alternative agent or adding a Janus kinase inhibitor or immunomodulators, or allogeneic hematopoietic cell transplantation [HCT]) were attempted.

CONCLUSIONS

Our survey revealed that anti-TNF-α agents showed high efficacy. However, secondary failure of MTDs was a significant refractory-related factor in HA20 patients in Japan. Although anti-interferon therapies, thalidomide, and HCT might be potential treatment options, the results of this study suggest that further research is necessary to establish suitable treatments for HA20, especially for those with refractory disease.

摘要

背景

A20单倍体不足(HA20)的严重程度各不相同,目前尚无既定的临床治疗指南。本研究旨在阐明日本HA20患者的临床特征及所尝试治疗的疗效。

方法

通过主治医师回顾性收集HA20患者病历中的临床信息。

结果

在日本共识别出72例HA20患者。对来自37个无关家庭的54例患者进行了详细分析。HA20患者表现出一些共同特征,包括反复发热、胃肠道和肌肉骨骼症状以及自身免疫性疾病;各种器官疾病(如神经、肝脏和肺部疾病)是较少见的并发症。44.4%的患者使用了分子靶向药物(MTD),其中抗肿瘤坏死因子(TNF)-α药物在59.5%的患者中显示出疗效。11例患者最初使用MTD未能控制炎症,最常见的原因是MTD继发失效导致病情复发。抗药物抗体与1例患者阿达木单抗的继发失效有关,与2例患者英夫利昔单抗的输注反应有关。在这些难治性病例中,尝试了其他治疗方法(如将第一种MTD换用替代药物或加用Janus激酶抑制剂或免疫调节剂,或进行异基因造血细胞移植[HCT])。

结论

我们的调查显示,抗TNF-α药物显示出高效。然而,MTD的继发失效是日本HA20患者难治性的一个重要相关因素。尽管抗干扰素疗法、沙利度胺和HCT可能是潜在的治疗选择,但本研究结果表明,有必要进一步开展研究以确定适合HA20患者的治疗方法,尤其是针对难治性疾病患者。

https://cdn.ncbi.nlm.nih.gov/pmc/blobs/1aec/12197945/62c646915e59/fimmu-16-1548042-g001.jpg

文献AI研究员

20分钟写一篇综述,助力文献阅读效率提升50倍。

立即体验

用中文搜PubMed

大模型驱动的PubMed中文搜索引擎

马上搜索

文档翻译

学术文献翻译模型,支持多种主流文档格式。

立即体验