Suppr超能文献

优化轻量级神经网络以实现高效移动边缘计算。

Optimizing lightweight neural networks for efficient mobile edge computing.

作者信息

Liu Liu, Xu Zhifei

机构信息

College of Business Administration, Capital University of Economics and Business, Beijing, 100070, China.

School of Science and Engineering, Chinese University of Hong Kong - Shenzhen, Shenzhen, 518172, Guangdong, China.

出版信息

Sci Rep. 2025 Jul 1;15(1):22056. doi: 10.1038/s41598-025-04652-7.

Abstract

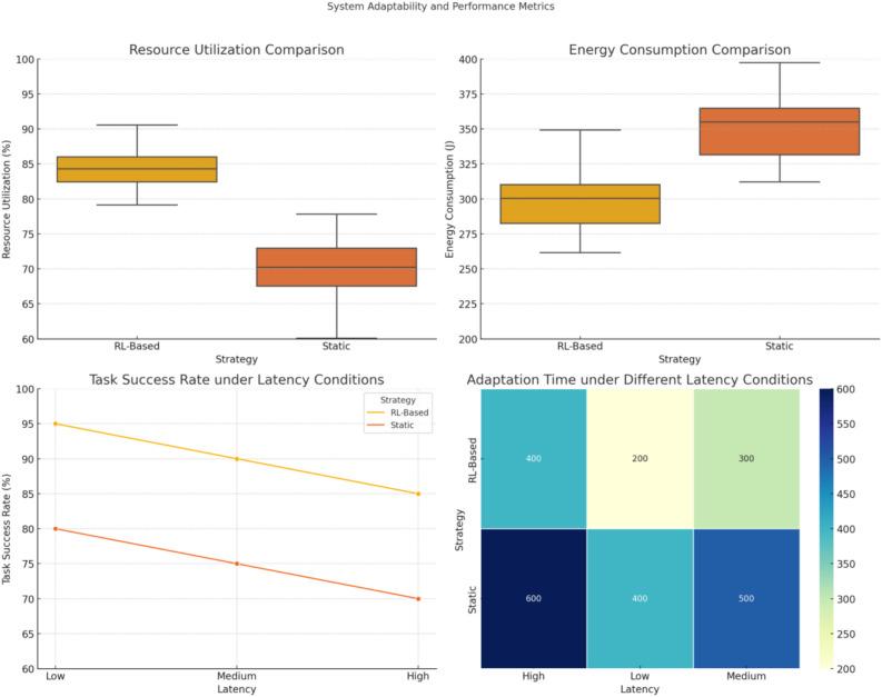
In the era of rapid technological advancement, Mobile Edge Computing (MEC) has become essential for supporting latency-sensitive applications such as internet of things, autonomous driving, and smart cities. However, efficient resource allocation remains a challenge due to the dynamic nature of MEC environments. The primary difficulties stem from fluctuating workloads, varying network conditions, and heterogeneous computational capabilities, which make real-time task offloading and resource management complex. Traditional centralized approaches suffer from high computational overhead and poor scalability, while conventional machine learning-based methods often require extensive labeled data and fail to adapt quickly in dynamic settings. To address these issues, this study proposes an advanced Multi-Agent Reinforcement Learning (MARL) framework combined with a lightweight neural network, LtNet, to optimize task offloading and resource management in MEC. MARL enables decentralized decision-making, allowing each device to learn optimal offloading strategies and adapt dynamically. Compared to prior single-agent or heuristic methods, our approach improves scalability and efficiency while reducing computational complexity. LtNet further enhances performance using H-Swish activation and selective Squeeze-and-Excitation modules, ensuring lower computational overhead. Experimental results demonstrate that the proposed methods achieve a 12-22% reduction in task completion time, a 5-8% decrease in energy consumption, and consistently high resource utilization, making them highly effective in managing dynamic MEC environments.

摘要

在技术快速发展的时代,移动边缘计算(MEC)对于支持对延迟敏感的应用(如物联网、自动驾驶和智慧城市)变得至关重要。然而,由于MEC环境的动态特性,高效的资源分配仍然是一个挑战。主要困难源于波动的工作负载、变化的网络条件和异构的计算能力,这使得实时任务卸载和资源管理变得复杂。传统的集中式方法存在高计算开销和扩展性差的问题,而传统的基于机器学习的方法通常需要大量的标记数据,并且在动态环境中无法快速适应。为了解决这些问题,本研究提出了一种先进的多智能体强化学习(MARL)框架,结合轻量级神经网络LtNet,以优化MEC中的任务卸载和资源管理。MARL实现了分散决策,允许每个设备学习最优的卸载策略并动态适应。与先前的单智能体或启发式方法相比,我们的方法提高了扩展性和效率,同时降低了计算复杂度。LtNet使用H-Swish激活和选择性挤压激励模块进一步提高性能,确保更低的计算开销。实验结果表明,所提出的方法使任务完成时间减少了12%-22%,能耗降低了5%-8%,并始终保持高资源利用率,使其在管理动态MEC环境中非常有效。

https://cdn.ncbi.nlm.nih.gov/pmc/blobs/7728/12218929/75fbc2daf3a5/41598_2025_4652_Fig1_HTML.jpg

文献AI研究员

20分钟写一篇综述,助力文献阅读效率提升50倍。

立即体验

用中文搜PubMed

大模型驱动的PubMed中文搜索引擎

马上搜索

文档翻译

学术文献翻译模型,支持多种主流文档格式。

立即体验