Suppr超能文献

基于响应面法的FGD石膏和水泥稳定黑棉土的性能优化

Performance optimization of black cotton soil stabilized with FGD gypsum and cement via response surface methodology.

作者信息

Linganagoudar Chidananda M, Kumar G Shiva, Ujwal M S, Ullur Varun S, Pandit Poornachandra

机构信息

Department of Civil Engineering, Dayananda Sagar College of Engineering, Bengaluru & Visvesvaraya Technological University, Belagavi, India.

Department of Civil Engineering, Manipal Institute of Technology, Manipal Academy of Higher Education, Manipal, 576 104, India.

出版信息

Sci Rep. 2025 Jul 2;15(1):23580. doi: 10.1038/s41598-025-09159-9.

Abstract

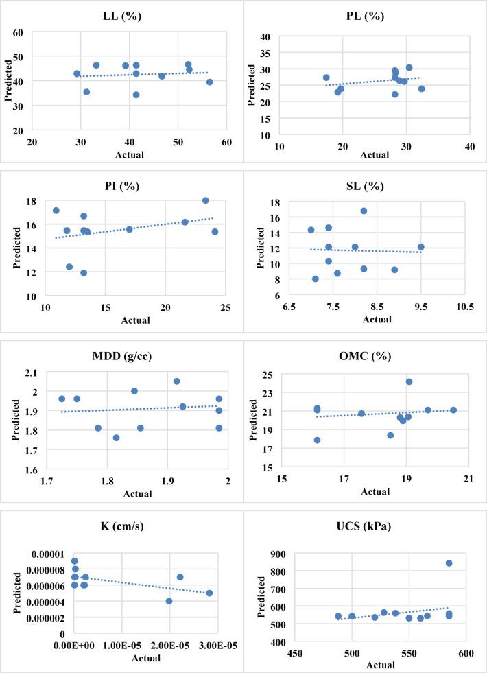
The growing demand for sustainable infrastructure solutions has driven the exploration of alternative materials for soil stabilization, especially for problematic soils such as black cotton (BC) soil. Owing to its high shrink-swell behavior, BC soil poses significant challenges in construction and pavement applications. This study evaluated the potential use of cement (up to 9.24%), flue gas desulfurization (FGD) gypsum (up to 3.41%), and industrial byproducts from thermal power plants as stabilizing agents to enhance the geotechnical properties of BC soil. A central composite design under the framework of response surface methodology (RSM) was employed to optimize the mix proportions and assess the effects on the unconfined compressive strength (UCS), California bearing ratio (CBR), and plasticity index (PI). The findings demonstrated substantial improvements in soil strength and a significant reduction in plasticity. The optimum mixture of 9.24% cement and 3.41% FGD gypsum yielded a desirability score of 71%, indicating an effective balance between strength gain and workability. This study underscores the viability of using FGD gypsum as a sustainable and eco-friendly soil stabilizer, offering an economical and efficient method for improving subgrade performance in flexible pavement systems. The results contribute to advancing green construction practices by utilizing industrial waste in geotechnical applications.

摘要

对可持续基础设施解决方案日益增长的需求推动了对土壤稳定替代材料的探索,特别是对于诸如黑棉土(BC土)等问题土壤。由于其高收缩膨胀特性,BC土在建筑和路面应用中带来了重大挑战。本研究评估了水泥(最高9.24%)、烟气脱硫(FGD)石膏(最高3.41%)以及热电厂工业副产品作为稳定剂来增强BC土岩土工程性质的潜在用途。采用响应面方法(RSM)框架下的中心复合设计来优化混合比例,并评估对无侧限抗压强度(UCS)、加州承载比(CBR)和塑性指数(PI)的影响。研究结果表明土壤强度有显著提高,塑性显著降低。9.24%水泥和3.41% FGD石膏的最佳混合物的可取性得分为71%,表明在强度增长和可加工性之间实现了有效平衡。本研究强调了使用FGD石膏作为可持续且环保的土壤稳定剂的可行性,为改善柔性路面系统路基性能提供了一种经济高效的方法。研究结果通过在岩土工程应用中利用工业废料,有助于推动绿色建筑实践。

https://cdn.ncbi.nlm.nih.gov/pmc/blobs/728f/12223094/d86b8f6005a3/41598_2025_9159_Fig1_HTML.jpg

文献检索

告别复杂PubMed语法,用中文像聊天一样搜索,搜遍4000万医学文献。AI智能推荐,让科研检索更轻松。

立即免费搜索

文件翻译

保留排版,准确专业,支持PDF/Word/PPT等文件格式,支持 12+语言互译。

免费翻译文档

深度研究

AI帮你快速写综述,25分钟生成高质量综述,智能提取关键信息,辅助科研写作。

立即免费体验