Suppr超能文献

手术对多发性硬化症患者的影响:一项全国性队列研究。

Impact of surgery in patients with multiple sclerosis: a nationwide cohort study.

作者信息

Larsson Emma, Iacobaeus Ellen, von Oelreich Erik, Eriksson Jesper, Kåhlin Jessica

机构信息

Department of Physiology and Pharmacology, Karolinska Institutet, Stockholm, Sweden.

Department of Perioperative Medicine and Intensive Care, Karolinska University Hospital Solna, Stockholm, Sweden.

出版信息

Front Neurol. 2025 Jun 26;16:1573349. doi: 10.3389/fneur.2025.1573349. eCollection 2025.

Abstract

BACKGROUND

Surgery is a common exposure. Multiple sclerosis (MS) is a chronic neuroinflammatory demyelinating disease of the central nervous system and a systemic inflammatory activation caused by surgery may result in exacerbation of the disease. It is unknown how surgical procedures affect morbidity and mortality rates in MS.

OBJECTIVES

This study aimed to investigate morbidity associated with surgical interventions in MS patients by assessing disease burden before and after surgery. Non-MS patients were used as controls, allowing for comparisons of disease burden and mortality between the two groups.

METHODS

The cohort study analyzed data from the Swedish Perioperative Register, including 3,022 MS patients among over 1.5 million surgeries performed between January 2019 and March 2023. Disease burden was measured as the number of pre-specified ICD-codes before and after surgery.

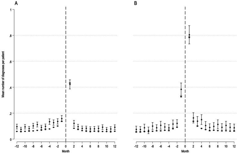
RESULTS

We demonstrated that MS patients exhibited a higher mean number of diagnoses before and after surgery compared to controls. Specifically, the number of diagnoses peaked in the first month post-surgery but returned to baseline within three to 4 months. Notably, there were no significant differences in 30-day or 365-day mortality rates between MS and non-MS patients, highlighting the relative safety of surgical interventions for persons with MS.

CONCLUSION

The findings suggest that surgery is generally safe for patients with MS, indicating that MS should not preclude necessary surgical interventions. Nevertheless, tailored preoperative assessments and postoperative care strategies are essential to address the unique health challenges encountered by MS patients, ensuring optimal surgical outcomes and monitoring for potential complications.

摘要

背景

手术是一种常见的暴露因素。多发性硬化症(MS)是一种中枢神经系统的慢性神经炎性脱髓鞘疾病,手术引起的全身性炎症激活可能导致该疾病恶化。目前尚不清楚手术操作如何影响MS患者的发病率和死亡率。

目的

本研究旨在通过评估手术前后的疾病负担,调查MS患者手术干预相关的发病率。将非MS患者作为对照,以便比较两组之间的疾病负担和死亡率。

方法

队列研究分析了瑞典围手术期登记处的数据,在2019年1月至2023年3月期间进行的超过150万例手术中,纳入了3022例MS患者。疾病负担通过手术前后预先指定的国际疾病分类代码数量来衡量。

结果

我们证明,与对照组相比,MS患者手术前后的平均诊断数量更高。具体而言,诊断数量在术后第一个月达到峰值,但在三到四个月内恢复到基线水平。值得注意的是,MS患者和非MS患者在30天或365天死亡率方面没有显著差异,这突出了手术干预对MS患者的相对安全性。

结论

研究结果表明,手术对MS患者总体上是安全的,这表明MS不应排除必要的手术干预。然而,定制的术前评估和术后护理策略对于应对MS患者遇到的独特健康挑战至关重要,以确保最佳手术结果并监测潜在并发症。

https://cdn.ncbi.nlm.nih.gov/pmc/blobs/eb0e/12240756/5d7101a0a5e2/fneur-16-1573349-g001.jpg

文献检索

告别复杂PubMed语法,用中文像聊天一样搜索,搜遍4000万医学文献。AI智能推荐,让科研检索更轻松。

立即免费搜索

文件翻译

保留排版,准确专业,支持PDF/Word/PPT等文件格式,支持 12+语言互译。

免费翻译文档

深度研究

AI帮你快速写综述,25分钟生成高质量综述,智能提取关键信息,辅助科研写作。

立即免费体验