• 文献检索
  • 文档翻译
  • 深度研究
  • 学术资讯
  • Suppr Zotero 插件Zotero 插件
  • 邀请有礼
  • 套餐&价格
  • 历史记录
应用&插件
Suppr Zotero 插件Zotero 插件浏览器插件Mac 客户端Windows 客户端微信小程序
定价
高级版会员购买积分包购买API积分包
服务
文献检索文档翻译深度研究API 文档MCP 服务
关于我们
关于 Suppr公司介绍联系我们用户协议隐私条款
关注我们

Suppr 超能文献

核心技术专利:CN118964589B侵权必究
粤ICP备2023148730 号-1Suppr @ 2026

文献检索

告别复杂PubMed语法,用中文像聊天一样搜索,搜遍4000万医学文献。AI智能推荐,让科研检索更轻松。

立即免费搜索

文件翻译

保留排版,准确专业,支持PDF/Word/PPT等文件格式,支持 12+语言互译。

免费翻译文档

深度研究

AI帮你快速写综述,25分钟生成高质量综述,智能提取关键信息,辅助科研写作。

立即免费体验

利用表面改性家禽羽毛进行六元多金属水净化:负载重金属生物吸附剂的动力学和热力学行为

Utilizing surface modified poultry feathers for senary multi-metal water purification: kinetic and thermodynamic behavior of heavy metal-laden biosorbent.

作者信息

Irfan Muhammad Faisal, Siddique Tariq, Ullah Aman

机构信息

Department of Renewable Resources, University of Alberta Edmonton AB T6G 2E3 Canada

Department of Agriculture Food and Nutritional Science, University of Alberta Edmonton AB T6G 2P5 Canada

出版信息

RSC Adv. 2025 Jul 17;15(31):25450-25472. doi: 10.1039/d5ra02131f. eCollection 2025 Jul 15.

DOI:10.1039/d5ra02131f
PMID:40677952
原文链接:https://pmc.ncbi.nlm.nih.gov/articles/PMC12269823/
Abstract

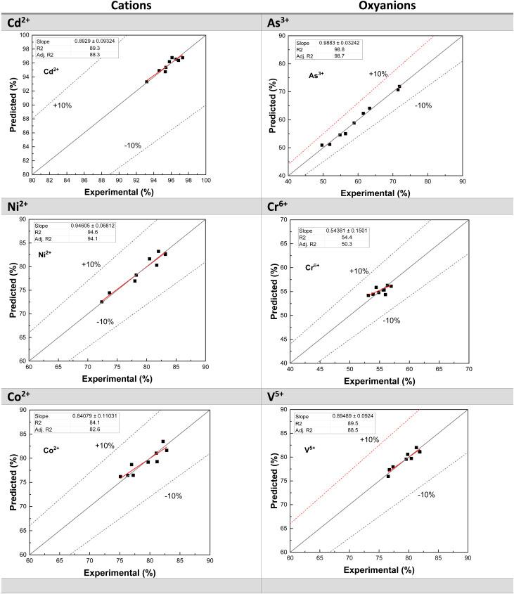
This study optimized poultry feathers (PFs) in two steps to remove six trace metals (Cr, As, V, Co, Ni, Cd) from contaminated water and evaluated the spent biosorbent's thermal and energy potential. PFs were surface-modified with tetrahydrofuran (THF) and optimized response surface methodology. Optimal pre-treatment (30 °C, 47 min, 0.015 g ml) and biosorption (0.17 g, 0.5 h) conditions improved removal of Co (+31.5%), Ni (+19.5%), Cd (+0.6%), and V (+6.1%), but reduced Cr (-24.1%) and As (-1.8%). Thermogravimetric analysis showed higher activation energies for spent biosorbent, with diffusion-controlled degradation confirmed by Coats-Redfern analysis. This dual optimization enhances metal removal and supports scalable bioenergy recovery.

摘要

本研究分两步对家禽羽毛(PFs)进行优化,以去除污染水中的六种痕量金属(铬、砷、钒、钴、镍、镉),并评估用过的生物吸附剂的热潜力和能源潜力。采用四氢呋喃(THF)对PFs进行表面改性,并运用响应面法进行优化。最佳预处理条件(30°C、47分钟、0.015 g/ml)和生物吸附条件(0.17 g、0.5小时)提高了钴(+31.5%)、镍(+19.5%)、镉(+0.6%)和钒(+6.1%)的去除率,但降低了铬(-24.1%)和砷(-1.8%)的去除率。热重分析表明,用过的生物吸附剂具有更高的活化能,通过Coats-Redfern分析证实其降解受扩散控制。这种双重优化提高了金属去除率,并支持可扩展的生物能源回收。

https://cdn.ncbi.nlm.nih.gov/pmc/blobs/36c2/12269823/49660e7e39a6/d5ra02131f-f8.jpg
https://cdn.ncbi.nlm.nih.gov/pmc/blobs/36c2/12269823/2a3394cf303c/d5ra02131f-s1.jpg
https://cdn.ncbi.nlm.nih.gov/pmc/blobs/36c2/12269823/322bbf4c0dac/d5ra02131f-f1.jpg
https://cdn.ncbi.nlm.nih.gov/pmc/blobs/36c2/12269823/c7f39381e4f1/d5ra02131f-f2.jpg
https://cdn.ncbi.nlm.nih.gov/pmc/blobs/36c2/12269823/18a6c12bd3eb/d5ra02131f-f3.jpg
https://cdn.ncbi.nlm.nih.gov/pmc/blobs/36c2/12269823/aa9c96946176/d5ra02131f-f4.jpg
https://cdn.ncbi.nlm.nih.gov/pmc/blobs/36c2/12269823/7443c4b54c07/d5ra02131f-f5.jpg
https://cdn.ncbi.nlm.nih.gov/pmc/blobs/36c2/12269823/f43884a1fe80/d5ra02131f-f6.jpg
https://cdn.ncbi.nlm.nih.gov/pmc/blobs/36c2/12269823/fafd2bc9cd7b/d5ra02131f-f7.jpg
https://cdn.ncbi.nlm.nih.gov/pmc/blobs/36c2/12269823/49660e7e39a6/d5ra02131f-f8.jpg
https://cdn.ncbi.nlm.nih.gov/pmc/blobs/36c2/12269823/2a3394cf303c/d5ra02131f-s1.jpg
https://cdn.ncbi.nlm.nih.gov/pmc/blobs/36c2/12269823/322bbf4c0dac/d5ra02131f-f1.jpg
https://cdn.ncbi.nlm.nih.gov/pmc/blobs/36c2/12269823/c7f39381e4f1/d5ra02131f-f2.jpg
https://cdn.ncbi.nlm.nih.gov/pmc/blobs/36c2/12269823/18a6c12bd3eb/d5ra02131f-f3.jpg
https://cdn.ncbi.nlm.nih.gov/pmc/blobs/36c2/12269823/aa9c96946176/d5ra02131f-f4.jpg
https://cdn.ncbi.nlm.nih.gov/pmc/blobs/36c2/12269823/7443c4b54c07/d5ra02131f-f5.jpg
https://cdn.ncbi.nlm.nih.gov/pmc/blobs/36c2/12269823/f43884a1fe80/d5ra02131f-f6.jpg
https://cdn.ncbi.nlm.nih.gov/pmc/blobs/36c2/12269823/fafd2bc9cd7b/d5ra02131f-f7.jpg
https://cdn.ncbi.nlm.nih.gov/pmc/blobs/36c2/12269823/49660e7e39a6/d5ra02131f-f8.jpg

相似文献

1
Utilizing surface modified poultry feathers for senary multi-metal water purification: kinetic and thermodynamic behavior of heavy metal-laden biosorbent.利用表面改性家禽羽毛进行六元多金属水净化:负载重金属生物吸附剂的动力学和热力学行为
RSC Adv. 2025 Jul 17;15(31):25450-25472. doi: 10.1039/d5ra02131f. eCollection 2025 Jul 15.
2
Study on demetallization of heavy crude oil using different zeolitic materials.使用不同沸石材料对重质原油进行脱金属研究。
Sci Rep. 2025 Jun 20;15(1):20121. doi: 10.1038/s41598-025-04348-y.
3
Utilization of Tommy Atkins Mango Peel as a Sustainable Biosorbent for the Removal of Pb(II) Ions in Water.利用汤米·阿特金斯芒果皮作为可持续生物吸附剂去除水中的铅(II)离子。
Chem Biodivers. 2025 Jul;22(7):e202403209. doi: 10.1002/cbdv.202403209. Epub 2025 Apr 15.
4
Adsorptive removal of lead from wastewater using pressmud with evaluation of kinetics and adsorption isotherms.利用滤泥对废水中铅的吸附去除及其动力学和吸附等温线评估
Sci Rep. 2025 Jul 2;15(1):22823. doi: 10.1038/s41598-025-05169-9.
5
Adsorptive performance of sustainable biosorbent from shell powder for toxic methylene blue dye removal: desirability functions and dye uptake mechanism.用于去除有毒亚甲基蓝染料的贝壳粉可持续生物吸附剂的吸附性能:可取性函数及染料吸附机制
Int J Phytoremediation. 2025;27(9):1287-1302. doi: 10.1080/15226514.2025.2494697. Epub 2025 Apr 25.
6
Concentration and Potential Non-Carcinogenic and Carcinogenic Health Risk Assessment of Metals in Locally Grown Vegetables.本地种植蔬菜中金属元素的浓度及潜在非致癌和致癌健康风险评估
Foods. 2025 Jun 26;14(13):2264. doi: 10.3390/foods14132264.
7
The association of exposure to multiple metals with the risk of idiopathic oligoasthenoteratozoospermia: The mediating role of sperm chromatin.多种金属暴露与特发性少弱畸精子症风险的关联:精子染色质的中介作用
Ecotoxicol Environ Saf. 2025 Jun 27;302:118543. doi: 10.1016/j.ecoenv.2025.118543.
8
Enhanced and efficient capture of Cd(II) through functionalized metal-organic frameworks embedded in a biopolymer (carboxymethyl cellulose/polyethylenimine): Thermodynamics, kinetics, and optimization via Box-Behnken methodology.通过嵌入生物聚合物(羧甲基纤维素/聚乙烯亚胺)中的功能化金属有机框架增强并高效捕获Cd(II):热力学、动力学及基于Box-Behnken方法的优化
Int J Biol Macromol. 2025 Jul;318(Pt 1):144903. doi: 10.1016/j.ijbiomac.2025.144903. Epub 2025 Jun 4.
9
Progesterone or progestogen-releasing intrauterine systems for heavy menstrual bleeding.用于治疗月经过多的孕激素或释放孕激素的宫内节育系统。
Cochrane Database Syst Rev. 2015 Apr 30(4):CD002126. doi: 10.1002/14651858.CD002126.pub3.
10
Effectiveness of acidic deep eutectic solvents in recovery of hazardous base metals from waste printed circuit boards.酸性低共熔溶剂从废旧印刷电路板中回收有害贱金属的有效性
Environ Sci Pollut Res Int. 2025 Jun;32(27):16361-16379. doi: 10.1007/s11356-025-36685-w. Epub 2025 Jun 26.

本文引用的文献

1
Analysis of thermal decomposition kinetics of chicken feather fiber reinforced Poly-lactic acid composites filament.鸡毛纤维增强聚乳酸复合材料长丝的热分解动力学分析
Heliyon. 2024 Jan 6;10(2):e24245. doi: 10.1016/j.heliyon.2024.e24245. eCollection 2024 Jan 30.
2
Removal of divalent cations and oxyanions by keratin-derived sorbents: Influence of process parameters and mechanistic studies.角蛋白衍生吸附剂去除二价阳离子和含氧阴离子:工艺参数的影响及机理研究。
Sci Total Environ. 2023 Sep 15;891:164288. doi: 10.1016/j.scitotenv.2023.164288. Epub 2023 May 20.
3
Synergistic interactions between sewage sludge, polypropylene, and high-density polyethylene during co-pyrolysis: An investigation based on iso-conversional model-free methods and master plot analysis.
污水污泥、聚丙烯和高密度聚乙烯在共热解过程中的协同相互作用:基于等转化率无模型方法和主图分析的研究。
J Hazard Mater. 2023 Aug 5;455:131600. doi: 10.1016/j.jhazmat.2023.131600. Epub 2023 May 9.
4
Rapid adsorptive removal of chromium from wastewater using walnut-derived biosorbents.利用核桃壳生物吸附剂快速吸附去除废水中的铬。
Sci Rep. 2023 Apr 26;13(1):6859. doi: 10.1038/s41598-023-33843-3.
5
A review on algal biosorbents for heavy metal remediation with different adsorption isotherm models.基于不同吸附等温线模型的藻类生物吸附剂用于重金属修复的综述。
Environ Sci Pollut Res Int. 2023 Mar;30(14):39474-39493. doi: 10.1007/s11356-023-25710-5. Epub 2023 Feb 13.
6
Optimization and mechanisms of rapid adsorptive removal of chromium (VI) from wastewater using industrial waste derived nanoparticles.利用工业废料制备纳米颗粒对废水中六价铬的快速吸附去除及其机制优化。
Sci Rep. 2022 Aug 19;12(1):14174. doi: 10.1038/s41598-022-18494-0.
7
Thermal decomposition behavior and kinetics for pyrolysis and catalytic pyrolysis of Douglas fir.花旗松热解及催化热解的热分解行为与动力学
RSC Adv. 2018 Jan 9;8(4):2196-2202. doi: 10.1039/c7ra12187c. eCollection 2018 Jan 5.
8
Thermogravimetric pyrolysis of onion skins: Determination of kinetic and thermodynamic parameters for devolatilization stages using the combinations of isoconversional and master plot methods.洋葱皮的热重分析:利用等转化率和主图组合法确定挥发分阶段的动力学和热力学参数。
Bioresour Technol. 2021 Dec;342:125936. doi: 10.1016/j.biortech.2021.125936. Epub 2021 Sep 15.
9
Use and treatment of chicken feathers as a natural adsorbent for the removal of copper in aqueous solution.将鸡毛用作天然吸附剂去除水溶液中铜的应用与处理
J Environ Health Sci Eng. 2021 Apr 14;19(1):707-720. doi: 10.1007/s40201-021-00639-4. eCollection 2021 Jun.
10
Coal Fly Ash Decorated with Graphene Oxide-Tungsten Oxide Nanocomposite for Rapid Removal of Pb Ions and Reuse of Spent Adsorbent for Photocatalytic Degradation of Acetaminophen.负载氧化石墨烯-氧化钨纳米复合材料的粉煤灰用于快速去除铅离子及废吸附剂光催化降解对乙酰氨基酚的再利用
ACS Omega. 2021 Apr 22;6(17):11155-11172. doi: 10.1021/acsomega.0c04194. eCollection 2021 May 4.