• 文献检索
  • 文档翻译
  • 深度研究
  • 学术资讯
  • Suppr Zotero 插件Zotero 插件
  • 邀请有礼
  • 套餐&价格
  • 历史记录
应用&插件
Suppr Zotero 插件Zotero 插件浏览器插件Mac 客户端Windows 客户端微信小程序
定价
高级版会员购买积分包购买API积分包
服务
文献检索文档翻译深度研究API 文档MCP 服务
关于我们
关于 Suppr公司介绍联系我们用户协议隐私条款
关注我们

Suppr 超能文献

核心技术专利:CN118964589B侵权必究
粤ICP备2023148730 号-1Suppr @ 2026

文献检索

告别复杂PubMed语法,用中文像聊天一样搜索,搜遍4000万医学文献。AI智能推荐,让科研检索更轻松。

立即免费搜索

文件翻译

保留排版,准确专业,支持PDF/Word/PPT等文件格式,支持 12+语言互译。

免费翻译文档

深度研究

AI帮你快速写综述,25分钟生成高质量综述,智能提取关键信息,辅助科研写作。

立即免费体验

新型精神活性物质的代谢模式:使用超高效液相色谱-四极杆飞行时间质谱分析法对大鼠体内甲基氯胺酮和2-氧代-1-苯基环丙烷-1-羧酸乙酯的研究

Metabolic patterns of new psychoactive substances: Methyl-ketamine and 2-oxo-PCE in rats using UHPLC-QTOF analysis.

作者信息

Cai Yu-Gang, Wang Yan-Jun, Wu Yong-Fu, Feng Jia-Yi, Mo Yan, Wang Qing-Hong, Dai Yong

机构信息

Luzhou Public Security Bureau Criminal Science and Technology Research Institute, Luzhou, Sichuan, 646000, China.

Sichuan Provincial Public Security Department Criminal Investigation Bureau, Chengdu, Sichuan, 610015, China.

出版信息

Forensic Sci Int Synerg. 2025 Jul 14;11:100623. doi: 10.1016/j.fsisyn.2025.100623. eCollection 2025 Dec.

DOI:10.1016/j.fsisyn.2025.100623
PMID:40697759
原文链接:https://pmc.ncbi.nlm.nih.gov/articles/PMC12281064/
Abstract

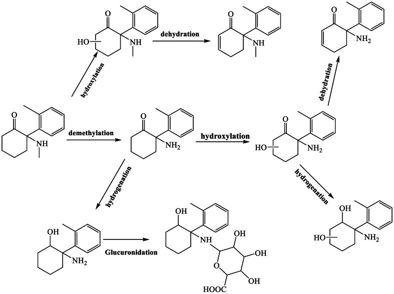
This study investigated the metabolic profiles of two isomeric psychoactive agents, methyl-ketamine [2-(ortho-tolyl)-2-(methylamino)cyclohexanone] and 2-oxo-PCE [2-(phenyl)-2-(ethylamino)cyclohexanone], in rats. Following oral administration, blood, liver, and urine samples were collected at timed intervals and analyzed via ultrahigh performance liquid chromatography quadrupole time-of-flight mass spectrometry (UHPLC-QTOF-MS). Metabolomic comparisons revealed distinct metabolic pathways driven by structural differences. Methyl-ketamine primarily underwent cyclohexanone hydroxylation, dehydration, N-demethylation, cyclohexanone carbonyl hydrogenation, and glucuronidation, with N-dealkylation as the dominant process. In contrast, 2-oxo-PCE metabolism involved carbonyl hydrogenation of cyclohexanone, N-diethylation, deamination, hydroxylation, dehydration, and glucuronidation. Structural variations-specifically the steric hindrance imposed by the methyl group on o-tolyl in methyl-ketamine-were identified as key factors influencing metabolic divergence. This hindered the carbonyl hydrogenation of cyclohexanone observed in 2-oxo-PCE, while promoting hydroxylation/dehydration reactions in methyl-ketamine. Post-N-dealkylation, methyl-ketamine retained cyclohexyl hydroxylation/dehydration, whereas 2-oxo-PCE exhibited deamination and cyclohexanone carbonyl hydrogenation/dehydration. Notably, urinary metabolite profiles in humans were mirrored those in rats, and relevance was shown. It was elucidated how structural isomerism dictating metabolic outcomes and offering insights into the mechanistic basis of new psychoactive substances. The study underscored steric effects as critical determinants of metabolic pathways and provided a foundation for predicting pharmacokinetic behavior in related compounds.

摘要

本研究调查了两种同分异构的精神活性药物——甲基氯胺酮[2-(邻甲苯基)-2-(甲氨基)环己酮]和2-氧代-PCE[2-(苯基)-2-(乙氨基)环己酮]在大鼠体内的代谢谱。口服给药后,在不同时间间隔采集血液、肝脏和尿液样本,并通过超高效液相色谱四极杆飞行时间质谱(UHPLC-QTOF-MS)进行分析。代谢组学比较揭示了由结构差异驱动的不同代谢途径。甲基氯胺酮主要经历环己酮羟基化、脱水、N-去甲基化、环己酮羰基氢化和葡萄糖醛酸化,其中N-脱烷基化是主要过程。相比之下,2-氧代-PCE代谢涉及环己酮羰基氢化、N-二乙基化、脱氨基、羟基化、脱水和葡萄糖醛酸化。结构变异——特别是甲基氯胺酮中甲基对邻甲苯基产生的空间位阻——被确定为影响代谢差异的关键因素。这阻碍了2-氧代-PCE中观察到的环己酮羰基氢化,同时促进了甲基氯胺酮中的羟基化/脱水反应。N-脱烷基化后,甲基氯胺酮保留环己基羟基化/脱水,而2-氧代-PCE表现出脱氨基和环己酮羰基氢化/脱水。值得注意的是,人类尿液代谢物谱与大鼠相似,并显示出相关性。阐明了结构异构如何决定代谢结果,并为新型精神活性物质的作用机制提供了见解。该研究强调空间效应是代谢途径的关键决定因素,并为预测相关化合物的药代动力学行为提供了基础。

https://cdn.ncbi.nlm.nih.gov/pmc/blobs/4253/12281064/eadc8d704012/gr3.jpg
https://cdn.ncbi.nlm.nih.gov/pmc/blobs/4253/12281064/40577890fb94/gr1.jpg
https://cdn.ncbi.nlm.nih.gov/pmc/blobs/4253/12281064/5fc897749e22/gr2.jpg
https://cdn.ncbi.nlm.nih.gov/pmc/blobs/4253/12281064/eadc8d704012/gr3.jpg
https://cdn.ncbi.nlm.nih.gov/pmc/blobs/4253/12281064/40577890fb94/gr1.jpg
https://cdn.ncbi.nlm.nih.gov/pmc/blobs/4253/12281064/5fc897749e22/gr2.jpg
https://cdn.ncbi.nlm.nih.gov/pmc/blobs/4253/12281064/eadc8d704012/gr3.jpg

相似文献

1
Metabolic patterns of new psychoactive substances: Methyl-ketamine and 2-oxo-PCE in rats using UHPLC-QTOF analysis.新型精神活性物质的代谢模式:使用超高效液相色谱-四极杆飞行时间质谱分析法对大鼠体内甲基氯胺酮和2-氧代-1-苯基环丙烷-1-羧酸乙酯的研究
Forensic Sci Int Synerg. 2025 Jul 14;11:100623. doi: 10.1016/j.fsisyn.2025.100623. eCollection 2025 Dec.
2
Mechanistic exploration of Dahuang Zhechong Pill against hepatic fibrosis via integrated serum pharmacochemistry, UHPLC-ESI-QTOF-MS/MS, network pharmacology, and molecular docking with cellular and zebrafish validation.通过血清药物化学、超高效液相色谱-电喷雾电离-四极杆飞行时间串联质谱、网络药理学以及细胞和斑马鱼验证对大黄蛰虫丸抗肝纤维化的作用机制进行探索
J Ethnopharmacol. 2025 Jul 24;351:120102. doi: 10.1016/j.jep.2025.120102. Epub 2025 Jun 4.
3
In vitro metabolic profiling of methylenedioxy-substituted synthetic cathinones for enhanced detection in urine sample analysis.亚甲二氧基取代合成卡西酮的体外代谢谱分析,以增强尿液样本分析中的检测能力。
J Food Drug Anal. 2025 Jun 13;33(2):132-149. doi: 10.38212/2224-6614.3543.
4
Characterizing the in vitro metabolic features of seven α-pyrrolidinophenone-derived synthetic cathinone-type new psychoactive substances.表征七种α-吡咯烷酮衍生的合成卡西酮类新型精神活性物质的体外代谢特征。
Arch Toxicol. 2025 Jun 19. doi: 10.1007/s00204-025-04097-x.
5
Management of urinary stones by experts in stone disease (ESD 2025).结石病专家对尿路结石的管理(2025年结石病专家共识)
Arch Ital Urol Androl. 2025 Jun 30;97(2):14085. doi: 10.4081/aiua.2025.14085.
6
UHPLC-QTOF-MS-based metabolomics joint high-throughput RNA sequencing transcriptomics approach for the analysis of fecal and liver biological samples and application in a case study for the mechanism of Qing-Kai-Ling oral liquid in treating MASLD.基于超高效液相色谱-四极杆飞行时间质谱的代谢组学联合高通量RNA测序转录组学方法用于分析粪便和肝脏生物样本,并应用于清开灵口服液治疗非酒精性脂肪性肝病的机制案例研究。
Anal Bioanal Chem. 2025 May 1. doi: 10.1007/s00216-025-05892-2.
7
Clinical symptoms, signs and tests for identification of impending and current water-loss dehydration in older people.老年人即将发生和当前失水脱水的识别的临床症状、体征及检查
Cochrane Database Syst Rev. 2015 Apr 30;2015(4):CD009647. doi: 10.1002/14651858.CD009647.pub2.
8
Exploring the mechanism of Carbonized Typhae Pollen in treating blood stasis syndrome through metabolic profiling: the synergistic effect of hemostasis without blood stasis.基于代谢组学探究蒲黄炭治疗血瘀证的作用机制:止血不留瘀的协同效应
J Ethnopharmacol. 2025 Jul 24;351:120124. doi: 10.1016/j.jep.2025.120124. Epub 2025 Jun 11.
9
Ketamine and other glutamate receptor modulators for depression in adults with unipolar major depressive disorder.氯胺酮和其他谷氨酸受体调节剂治疗单相重性抑郁障碍成人患者的抑郁症。
Cochrane Database Syst Rev. 2021 Sep 12;9(9):CD011612. doi: 10.1002/14651858.CD011612.pub3.
10
Proteomic and metabolomic analysis of serum in women infected with COVID-19 during late pregnancy.妊娠晚期感染新型冠状病毒肺炎的女性血清蛋白质组学和代谢组学分析
Front Immunol. 2025 Jun 11;16:1589239. doi: 10.3389/fimmu.2025.1589239. eCollection 2025.

本文引用的文献

1
Ketamine triggers a switch in excitatory neuronal activity across neocortex.氯胺酮在新皮层中引发兴奋性神经元活动的转换。
Nat Neurosci. 2023 Jan;26(1):39-52. doi: 10.1038/s41593-022-01203-5. Epub 2022 Nov 24.
2
Metabolite elucidation of 2-fluoro-deschloroketamine (2F-DCK) using molecular networking across three complementary in vitro and in vivo models.运用分子网络技术在三种互补的体外和体内模型中阐明 2-氟去氯氯胺酮(2F-DCK)的代谢产物。
Drug Test Anal. 2022 Jan;14(1):144-153. doi: 10.1002/dta.3162. Epub 2021 Sep 20.
3
Fatal intoxication related to two new arylcyclohexylamine derivatives (2F-DCK and 3-MeO-PCE).
与两种新型芳基环己基胺衍生物(2F-DCK 和 3-MeO-PCE)有关的致命中毒。
Forensic Sci Int. 2021 Jul;324:110852. doi: 10.1016/j.forsciint.2021.110852. Epub 2021 May 23.
4
Emergence of new psychoactive substance 2-fluorodeschloroketamine: Toxicology and urinary analysis in a cluster of patients exposed to ketamine and multiple analogues.新型精神活性物质 2-氟去氯氯胺酮的出现:一组接触氯胺酮和多种类似物的患者的毒理学和尿液分析。
Forensic Sci Int. 2020 Jul;312:110327. doi: 10.1016/j.forsciint.2020.110327. Epub 2020 May 7.
5
Ketamine analogues: Comparative toxicokinetic in vitro-in vivo extrapolation and quantification of 2-fluorodeschloroketamine in forensic blood and hair samples.氟代去甲氯胺酮类似物:体外-体内外推比较毒代动力学及法医血液和毛发样本中 2-氟去甲氯胺酮的定量分析。
J Pharm Biomed Anal. 2020 Feb 20;180:113049. doi: 10.1016/j.jpba.2019.113049. Epub 2019 Dec 18.
6
Synthesis and identification of deschloroketamine metabolites in rats' urine and a quantification method for deschloroketamine and metabolites in rats' serum and brain tissue using liquid chromatography tandem mass spectrometry.大鼠尿液中去氯氯胺酮代谢物的合成与鉴定及液相色谱-串联质谱法同时测定大鼠血清和脑组织中去氯氯胺酮及其代谢物的含量
Drug Test Anal. 2020 Mar;12(3):343-360. doi: 10.1002/dta.2726. Epub 2020 Jan 15.
7
Metabolism and metabolomics of ketamine: a toxicological approach.氯胺酮的代谢与代谢组学:一种毒理学方法。
Forensic Sci Res. 2017 Feb 20;2(1):2-10. doi: 10.1080/20961790.2017.1285219. eCollection 2017.
8
Cluster of acute poisonings associated with an emerging ketamine analogue, 2-oxo-PCE.与一种新型氯胺酮类似物2-氧代-对氯苯环己酮相关的急性中毒聚集事件
Forensic Sci Int. 2018 Sep;290:238-243. doi: 10.1016/j.forsciint.2018.07.014. Epub 2018 Jul 24.
9
Prophylactic ketamine alters nucleotide and neurotransmitter metabolism in brain and plasma following stress.应激后预防性氯胺酮改变大脑和血浆中的核苷酸和神经递质代谢。
Neuropsychopharmacology. 2018 Aug;43(9):1813-1821. doi: 10.1038/s41386-018-0043-7. Epub 2018 Mar 29.
10
Impact of Novel Psychoactive Substances on Clinical and Forensic Toxicology and Global Public Health.新型精神活性物质对临床与法医毒理学及全球公共卫生的影响。
Clin Chem. 2017 Oct;63(10):1564-1569. doi: 10.1373/clinchem.2017.274662. Epub 2017 Jun 30.