• 文献检索
  • 文档翻译
  • 深度研究
  • 学术资讯
  • Suppr Zotero 插件Zotero 插件
  • 邀请有礼
  • 套餐&价格
  • 历史记录
应用&插件
Suppr Zotero 插件Zotero 插件浏览器插件Mac 客户端Windows 客户端微信小程序
定价
高级版会员购买积分包购买API积分包
服务
文献检索文档翻译深度研究API 文档MCP 服务
关于我们
关于 Suppr公司介绍联系我们用户协议隐私条款
关注我们

Suppr 超能文献

核心技术专利:CN118964589B侵权必究
粤ICP备2023148730 号-1Suppr @ 2026

文献检索

告别复杂PubMed语法,用中文像聊天一样搜索,搜遍4000万医学文献。AI智能推荐,让科研检索更轻松。

立即免费搜索

文件翻译

保留排版,准确专业,支持PDF/Word/PPT等文件格式,支持 12+语言互译。

免费翻译文档

深度研究

AI帮你快速写综述,25分钟生成高质量综述,智能提取关键信息,辅助科研写作。

立即免费体验

老年人群腰围与脂肪肝疾病的关联:乌鲁木齐的一项横断面研究

Association between waist circumference and fatty liver disease in older adult population: a cross-sectional study in Urumqi.

作者信息

Zhang Mingdong, Zhao E, Sun Gaofeng

机构信息

School of Public Health, Xinjiang Medical University, Urumqi, China.

Department of Chronic Non-Communicable Disease Prevention and Control, Urumqi Center for Disease Control and Prevention, Urumqi Municipal Health Supervision Institute, Urumqi, China.

出版信息

Front Public Health. 2025 Jul 8;13:1620261. doi: 10.3389/fpubh.2025.1620261. eCollection 2025.

DOI:10.3389/fpubh.2025.1620261
PMID:40697841
原文链接:https://pmc.ncbi.nlm.nih.gov/articles/PMC12279773/
Abstract

OBJECTIVE

This study aims to explore the correlation between waist circumference and the prevalence of fatty liver disease in the older adult population in Urumqi.

METHODS

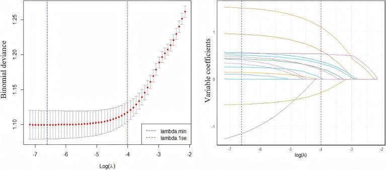
Through cluster random sampling of healthcare institutions within the urban districts of Urumqi, a final cohort of 3,907 participants was enrolled from three institutions. In addition, the informed consent forms of the participants were obtained. Chi-square tests were used for univariate analysis between groups, and the data were divided into a training set and a test set in a 7:3 ratio. Variables were further screened using machine learning models such as random forest classifier and Lasso. Logistic regression and restricted cubic spline models were used to analyze the correlation between waist circumference and fatty liver disease.

RESULTS

The prevalence of fatty liver disease was 32.56%, with 31.54% in men and 33.40% in women. Multivariate logistic regression analysis showed that compared with non-central obesity, the risk of fatty liver disease in central obesity was significantly higher ( = 1.768, 95% : 1.481-2.112). The restricted cubic spline model analysis showed that the risk of fatty liver disease increased with waist circumference in the older adult population. In the total population and the male group, waist circumference and central obesity showed a nonlinear relationship, while in the female group, those below 75 years old, and those 75 and older, a linear relationship was observed.

CONCLUSION

Controlling waist circumference is important for the prevention of fatty liver disease. The older adult population in Urumqi should pay attention to the risks posed by increasing waist circumference.

摘要

目的

本研究旨在探讨乌鲁木齐市老年人群腰围与脂肪肝患病率之间的相关性。

方法

通过对乌鲁木齐市区医疗机构进行整群随机抽样,最终从三家机构招募了3907名参与者。此外,获取了参与者的知情同意书。采用卡方检验进行组间单因素分析,并将数据按7:3的比例分为训练集和测试集。使用随机森林分类器和套索等机器学习模型进一步筛选变量。采用逻辑回归和受限立方样条模型分析腰围与脂肪肝之间的相关性。

结果

脂肪肝患病率为32.56%,男性为31.54%,女性为33.40%。多因素逻辑回归分析显示,与非中心性肥胖相比,中心性肥胖人群患脂肪肝的风险显著更高(β = 1.768,95%CI:1.481 - 2.112)。受限立方样条模型分析表明,老年人群中脂肪肝的风险随腰围增加而升高。在总人群和男性组中,腰围与中心性肥胖呈非线性关系,而在女性组、75岁以下女性组和75岁及以上女性组中,呈线性关系。

结论

控制腰围对预防脂肪肝很重要。乌鲁木齐市老年人群应注意腰围增加带来的风险。

https://cdn.ncbi.nlm.nih.gov/pmc/blobs/ac85/12279773/08146bba34a6/fpubh-13-1620261-g008.jpg
https://cdn.ncbi.nlm.nih.gov/pmc/blobs/ac85/12279773/2376e4e5a1ed/fpubh-13-1620261-g001.jpg
https://cdn.ncbi.nlm.nih.gov/pmc/blobs/ac85/12279773/6b0caaef94d7/fpubh-13-1620261-g002.jpg
https://cdn.ncbi.nlm.nih.gov/pmc/blobs/ac85/12279773/4d40f076035a/fpubh-13-1620261-g003.jpg
https://cdn.ncbi.nlm.nih.gov/pmc/blobs/ac85/12279773/3480f4730988/fpubh-13-1620261-g004.jpg
https://cdn.ncbi.nlm.nih.gov/pmc/blobs/ac85/12279773/602b3a303efb/fpubh-13-1620261-g005.jpg
https://cdn.ncbi.nlm.nih.gov/pmc/blobs/ac85/12279773/7a6c9e1088cf/fpubh-13-1620261-g006.jpg
https://cdn.ncbi.nlm.nih.gov/pmc/blobs/ac85/12279773/5ae5395b1e69/fpubh-13-1620261-g007.jpg
https://cdn.ncbi.nlm.nih.gov/pmc/blobs/ac85/12279773/08146bba34a6/fpubh-13-1620261-g008.jpg
https://cdn.ncbi.nlm.nih.gov/pmc/blobs/ac85/12279773/2376e4e5a1ed/fpubh-13-1620261-g001.jpg
https://cdn.ncbi.nlm.nih.gov/pmc/blobs/ac85/12279773/6b0caaef94d7/fpubh-13-1620261-g002.jpg
https://cdn.ncbi.nlm.nih.gov/pmc/blobs/ac85/12279773/4d40f076035a/fpubh-13-1620261-g003.jpg
https://cdn.ncbi.nlm.nih.gov/pmc/blobs/ac85/12279773/3480f4730988/fpubh-13-1620261-g004.jpg
https://cdn.ncbi.nlm.nih.gov/pmc/blobs/ac85/12279773/602b3a303efb/fpubh-13-1620261-g005.jpg
https://cdn.ncbi.nlm.nih.gov/pmc/blobs/ac85/12279773/7a6c9e1088cf/fpubh-13-1620261-g006.jpg
https://cdn.ncbi.nlm.nih.gov/pmc/blobs/ac85/12279773/5ae5395b1e69/fpubh-13-1620261-g007.jpg
https://cdn.ncbi.nlm.nih.gov/pmc/blobs/ac85/12279773/08146bba34a6/fpubh-13-1620261-g008.jpg

相似文献

1
Association between waist circumference and fatty liver disease in older adult population: a cross-sectional study in Urumqi.老年人群腰围与脂肪肝疾病的关联:乌鲁木齐的一项横断面研究
Front Public Health. 2025 Jul 8;13:1620261. doi: 10.3389/fpubh.2025.1620261. eCollection 2025.
2
[Association between obesity and the risk of microvascular complications in Yinzhou District, Ningbo adults with type 2 diabetes mellitus].[宁波鄞州区2型糖尿病成年患者肥胖与微血管并发症风险的相关性]
Wei Sheng Yan Jiu. 2025 Jul;54(4):608-620. doi: 10.19813/j.cnki.weishengyanjiu.2025.04.012.
3
[Association between DNA methylation clock and obesity-related indicators: A longitudinal twin study].[DNA甲基化时钟与肥胖相关指标之间的关联:一项纵向双胞胎研究]
Beijing Da Xue Xue Bao Yi Xue Ban. 2025 Jun 18;57(3):456-464. doi: 10.19723/j.issn.1671-167X.2025.03.008.
4
Comparative study of triglyceride glucose index and coronary heart disease risk in middle aged and elderly Chinese and British populations.中国和英国中老年人群甘油三酯葡萄糖指数与冠心病风险的比较研究
Sci Rep. 2025 Jul 2;15(1):22637. doi: 10.1038/s41598-025-08133-9.
5
Association between neutrophil percentage-to-albumin ratio and prevalence peripheral artery disease in U.S. adults: a cross-sectional study from the NHANES.美国成年人中性粒细胞百分比与白蛋白比值和外周动脉疾病患病率之间的关联:一项来自美国国家健康与营养检查调查(NHANES)的横断面研究。
BMC Cardiovasc Disord. 2025 Jul 21;25(1):533. doi: 10.1186/s12872-025-05001-2.
6
The association between hearing loss and depression in the China health and retirement longitudinal study.中国健康与养老追踪调查中听力损失与抑郁之间的关联。
Sci Rep. 2025 Jul 1;15(1):20537. doi: 10.1038/s41598-025-05749-9.
7
Exploring the relationship between novel measurements of abdominal obesity and psoriasis: a cross-sectional study from the NHANES database.探索腹部肥胖新测量指标与银屑病之间的关系:一项来自美国国家健康与营养检查调查(NHANES)数据库的横断面研究
Eat Weight Disord. 2025 Jul 5;30(1):50. doi: 10.1007/s40519-025-01762-z.
8
Association between body roundness index and metabolic syndrome in middle-aged and older adults: a prospective cohort study in China.中老年人群体圆度指数与代谢综合征的关联:一项中国的前瞻性队列研究
Front Public Health. 2025 Jul 9;13:1604593. doi: 10.3389/fpubh.2025.1604593. eCollection 2025.
9
Association Between the Serum Creatinine to Cystatin C Ratio and Cardiovascular Disease in Middle-Aged and Older Adults in China: A Nationwide Cohort Study.中国中老年人群血清肌酐与胱抑素C比值与心血管疾病的关联:一项全国性队列研究
J Am Heart Assoc. 2025 May 6;14(9):e040050. doi: 10.1161/JAHA.124.040050. Epub 2025 Apr 25.
10
The association between inflammatory, metabolic, and hepatic fibrosis-related biomarkers and atrial fibrillation in older patients with metabolic dysfunction-associated steatotic liver disease.炎症、代谢及肝纤维化相关生物标志物与老年代谢功能障碍相关脂肪性肝病患者心房颤动之间的关联。
BMC Geriatr. 2025 Jul 2;25(1):459. doi: 10.1186/s12877-025-06120-3.

本文引用的文献

1
Features, functions, and associated diseases of visceral and ectopic fat: a comprehensive review.内脏脂肪和异位脂肪的特征、功能及相关疾病:综述
Obesity (Silver Spring). 2025 May;33(5):825-838. doi: 10.1002/oby.24239. Epub 2025 Mar 12.
2
Steatotic Liver Disease Prevalence in China: A Population-Based Study and Meta-Analysis of 17.4 Million Individuals.中国脂肪性肝病患病率:一项基于1740万人的人群研究和荟萃分析
Aliment Pharmacol Ther. 2025 Apr;61(7):1110-1122. doi: 10.1111/apt.70051. Epub 2025 Feb 27.
3
The Link between Abdominal Obesity Indices and the Progression of Liver Fibrosis: Insights from a Population-Based Study.
腹部肥胖指数与肝纤维化进展的关系:基于人群的研究洞察。
Nutrients. 2024 May 23;16(11):1586. doi: 10.3390/nu16111586.
4
Hypercaloric low-carbohydrate high-fat diet protects against the development of nonalcoholic fatty liver disease in obese mice in contrast to isocaloric Western diet.与等热量的西方饮食相比,高热量低碳水化合物高脂肪饮食可预防肥胖小鼠非酒精性脂肪性肝病的发生。
Front Nutr. 2024 Mar 20;11:1366883. doi: 10.3389/fnut.2024.1366883. eCollection 2024.
5
Insulin resistance and central obesity determine hepatic steatosis and explain cardiovascular risk in steatotic liver disease.胰岛素抵抗和中心性肥胖决定肝脂肪变性,并解释脂肪性肝病患者的心血管风险。
Front Endocrinol (Lausanne). 2023 Sep 29;14:1244405. doi: 10.3389/fendo.2023.1244405. eCollection 2023.
6
The Roles of Lipid Metabolism in the Pathogenesis of Chronic Diseases in the Elderly.脂质代谢在老年慢性病发病机制中的作用。
Nutrients. 2023 Aug 3;15(15):3433. doi: 10.3390/nu15153433.
7
Gender Differences in the Risk for Incident Non-Alcoholic Fatty Liver Disease According to the Transition of Abdominal Obesity Status: A 16-Year Cohort Study.性别差异在非酒精性脂肪性肝病发病风险中的作用:一项 16 年的队列研究。
Nutrients. 2023 Jun 25;15(13):2880. doi: 10.3390/nu15132880.
8
Prevalence of Liver Steatosis and Fibrosis in the General Population and Various High-Risk Populations: A Nationwide Study With 5.7 Million Adults in China.中国普通人群及各类高危人群中肝脂肪变性和肝纤维化的患病率:一项针对570万成年人的全国性研究。
Gastroenterology. 2023 Oct;165(4):1025-1040. doi: 10.1053/j.gastro.2023.05.053. Epub 2023 Jun 26.
9
Estimation of fatty liver disease clinical role on glucose metabolic remodelling phenotypes and T2DM onset.评估脂肪肝疾病在糖代谢重塑表型和 T2DM 发病中的临床作用。
Eur J Clin Invest. 2023 Oct;53(10):e14036. doi: 10.1111/eci.14036. Epub 2023 Jun 11.
10
Molecular tracking of insulin resistance and inflammation development on visceral adipose tissue.胰岛素抵抗和炎症发展在内脏脂肪组织的分子追踪。
Front Immunol. 2023 Mar 21;14:1014778. doi: 10.3389/fimmu.2023.1014778. eCollection 2023.