Suppr超能文献

伴有和不伴有体外膜肺氧合的危重症患者中艾沙康唑谷浓度较低。

Low isavuconazole trough levels in critically ill patients with and without extracorporeal membrane oxygenation.

作者信息

Erlebach Rolf, Buhlmann Alix, Andermatt Rea, Müller Mattia M, Schuepbach Reto, Brugger Silvio D, David Sascha, Hofmaenner Daniel A

机构信息

Institute of Intensive Care Medicine, University Hospital Zurich, Zurich, Switzerland.

Department of Infectious Diseases and Hospital Epidemiology, University Hospital Zurich, University of Zurich, Zurich, Switzerland.

出版信息

Antimicrob Agents Chemother. 2025 Sep 3;69(9):e0057725. doi: 10.1128/aac.00577-25. Epub 2025 Jul 23.

Abstract

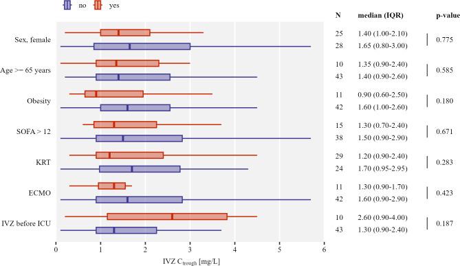
Data on isavuconazole exposure in critically ill patients and particularly during extracorporeal membrane oxygenation (ECMO) are scarce, and therapeutic drug monitoring is not routinely performed. Critically ill patients admitted to a tertiary ECMO referral center from October 2017 to August 2024 with documented isavuconazole trough levels were retrospectively analyzed. First, measured isavuconazole trough blood levels and the occurrence of dose adjustments were analyzed in patients with and without ECMO support. Fifty-three adult patients were included, of whom 11 (21%) patients were on ECMO support at the first isavuconazole trough level measurement. Median isavuconazole trough level was overall 1.4 (interquartile range [IQR] 0.9-2.5) mg/L and did not differ between ECMO (1.3 [IQR 0.9-1.5] mg/L) and non-ECMO patients (1.6 [IQR 0.9-2.8] mg/L, = 0.423). During the entire intensive care unit stay, individual doses were increased in 12 (23%) patients, of whom 5 were on ECMO support, whereas dosage was reduced or interrupted in 2 (4%) patients (both without ECMO support). Dose adjustments occurred irregularly and inconsistently after therapeutic drug monitoring, i.e., only in 6 (11%) patients after the initial therapeutic drug monitoring despite 37 (70%) drug levels being outside the target range of 2-4 mg/L. In conclusion, below targeted isavuconazole trough levels were common in critically ill patients investigated, but ECMO did not seem to have an additional negative influence. Dose adjustments appeared more frequently than previously reported, albeit irregularly performed. Regular therapeutic drug monitoring and protocolized dose adjustments should be investigated in future studies.

摘要

关于危重患者,尤其是体外膜肺氧合(ECMO)期间的艾沙康唑暴露数据稀缺,且未常规进行治疗药物监测。对2017年10月至2024年8月入住三级ECMO转诊中心且有记录的艾沙康唑谷浓度的危重患者进行了回顾性分析。首先,分析了接受和未接受ECMO支持的患者中测得的艾沙康唑血药谷浓度以及剂量调整情况。纳入了53例成年患者,其中11例(21%)患者在首次测量艾沙康唑谷浓度时接受ECMO支持。艾沙康唑谷浓度中位数总体为1.4(四分位间距[IQR]0.9 - 2.5)mg/L,在接受ECMO支持的患者(1.3[IQR 0.9 - 1.5]mg/L)和未接受ECMO支持的患者(1.6[IQR 0.9 - 2.8]mg/L,P = 0.423)之间无差异。在整个重症监护病房住院期间,12例(23%)患者的个体剂量增加,其中5例接受ECMO支持,而2例(4%)患者(均未接受ECMO支持)的剂量减少或中断。治疗药物监测后剂量调整发生不规律且不一致,即尽管37例(70%)药物浓度超出2 - 4mg/L的目标范围,但仅6例(11%)患者在初始治疗药物监测后进行了剂量调整。总之,在所研究的危重患者中,艾沙康唑谷浓度低于目标值很常见,但ECMO似乎没有额外的负面影响。剂量调整出现的频率比之前报道的更高,尽管调整不规律。未来研究应探讨定期治疗药物监测和规范化剂量调整。

https://cdn.ncbi.nlm.nih.gov/pmc/blobs/91f7/12406667/354acc0cd7ca/aac.00577-25.f001.jpg

文献AI研究员

20分钟写一篇综述,助力文献阅读效率提升50倍。

立即体验

用中文搜PubMed

大模型驱动的PubMed中文搜索引擎

马上搜索

文档翻译

学术文献翻译模型,支持多种主流文档格式。

立即体验