Suppr超能文献

西罗莫司的人体代谢再探讨。

Human Metabolism of Sirolimus Revisited.

作者信息

Davari Baharak, Shokati Touraj, Ward Alexandra M, Nguyen Vu, Klawitter Jost, Klawitter Jelena, Christians Uwe

机构信息

Department of Pharmaceutical Sciences, Skaggs School of Pharmacy and Pharmaceutical Sciences, University of Colorado Anschutz Medical Campus, Aurora, CO 80045, USA.

iC42 Clinical Research and Development, Department of Anesthesiology, School of Medicine, University of Colorado Anschutz Medical Campus, Aurora, CO 80045, USA.

出版信息

Metabolites. 2025 Jul 20;15(7):489. doi: 10.3390/metabo15070489.

Abstract

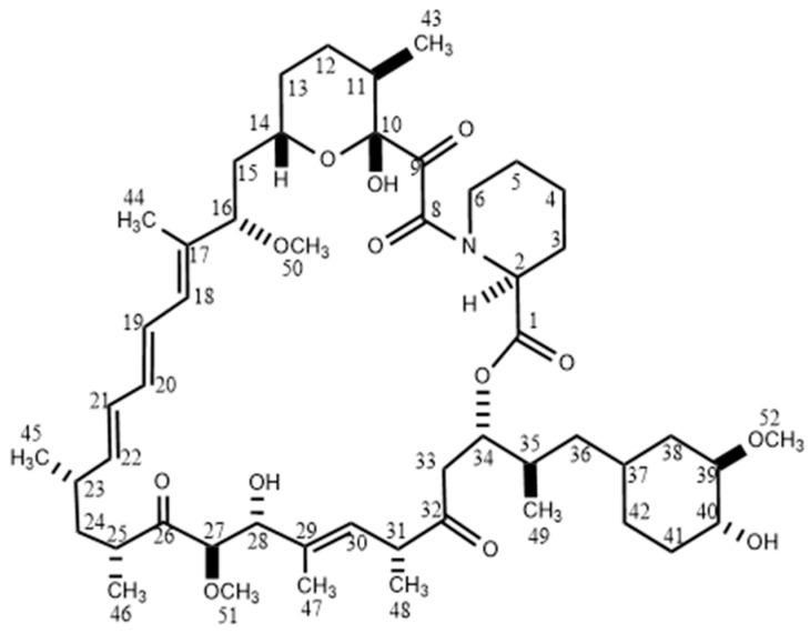
Sirolimus (SRL, rapamycin) is a clinically important mTOR inhibitor used in immunosuppression, oncology, and cardiovascular drug-eluting devices. Despite its long-standing FDA approval, the human metabolic profile of SRL remains incompletely characterized. SRL is primarily metabolized by CYP3A enzymes in the liver and intestine, but the diversity, pharmacokinetics, and biological activity of its metabolites have been poorly explored due to the lack of structurally identified standards. To investigate SRL metabolism, we incubated SRL with pooled human liver microsomes (HLM) and isolated the resulting metabolites. Structural characterization was performed using high-resolution mass spectrometry (HRMS) and ion trap MS. We also applied Density Functional Theory (DFT) calculations to assess the energetic favorability of metabolic transformations and conducted molecular dynamics (MD) simulations to model metabolite interactions within the CYP3A4 active site. We identified 21 unique SRL metabolites, classified into five major structural groups: O-demethylated, hydroxylated, didemethylated, di-hydroxylated, and mixed hydroxylated/demethylated derivatives. DFT analyses indicated that certain demethylation and hydroxylation reactions were energetically preferred, correlating with metabolite abundance. MD simulations further validated these findings by demonstrating the favorable orientation and accessibility of key sites within the CYP3A4 binding pocket. This study provides a comprehensive structural map of SRL metabolism, offering mechanistic insights into the formation of its metabolites. Our integrated approach of experimental and computational analyses lays the groundwork for future investigations into the pharmacodynamic and toxicodynamic effects of SRL metabolites on the mTOR pathway.

摘要

西罗莫司(SRL,雷帕霉素)是一种临床上重要的mTOR抑制剂,用于免疫抑制、肿瘤学和心血管药物洗脱装置。尽管其已获得美国食品药品监督管理局(FDA)的长期批准,但其人体代谢概况仍未完全明确。SRL主要在肝脏和肠道中由CYP3A酶代谢,但由于缺乏结构明确的标准品,其代谢产物的多样性、药代动力学和生物活性尚未得到充分研究。为了研究SRL的代谢,我们将SRL与混合人肝微粒体(HLM)一起孵育,并分离得到的代谢产物。使用高分辨率质谱(HRMS)和离子阱质谱进行结构表征。我们还应用密度泛函理论(DFT)计算来评估代谢转化的能量偏好性,并进行分子动力学(MD)模拟以模拟代谢产物在CYP3A4活性位点内的相互作用。我们鉴定出21种独特的SRL代谢产物,分为五个主要结构组:O-去甲基化、羟基化、双去甲基化、双羟基化和混合羟基化/去甲基化衍生物。DFT分析表明,某些去甲基化和羟基化反应在能量上更有利,这与代谢产物丰度相关。MD模拟通过展示CYP3A4结合口袋内关键位点的有利取向和可及性,进一步验证了这些发现。本研究提供了SRL代谢的全面结构图,为其代谢产物的形成提供了机制性见解。我们的实验和计算分析相结合的方法为未来研究SRL代谢产物对mTOR途径的药效学和毒理学效应奠定了基础。

https://cdn.ncbi.nlm.nih.gov/pmc/blobs/bdd4/12299981/b8708b9d8535/metabolites-15-00489-g001.jpg

文献AI研究员

20分钟写一篇综述,助力文献阅读效率提升50倍。

立即体验

用中文搜PubMed

大模型驱动的PubMed中文搜索引擎

马上搜索

文档翻译

学术文献翻译模型,支持多种主流文档格式。

立即体验