Suppr超能文献

一种采用超表面和缝隙图案化接地的增强型圆极化纺织天线,用于体外通信。

An Enhanced Circularly Polarized Textile Antenna Using a Metasurface and Slot-Patterned Ground for Off-Body Communications.

作者信息

Kim Yong-Deok, Le Tu Tuan, Yun Tae-Yeoul

机构信息

Department of Electronic Engineering, Hanyang University, Seoul 04763, Republic of Korea.

出版信息

Micromachines (Basel). 2025 Jul 9;16(7):799. doi: 10.3390/mi16070799.

Abstract

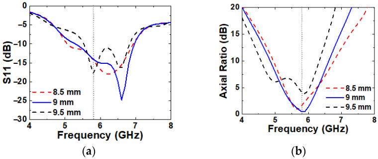
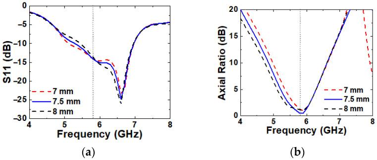
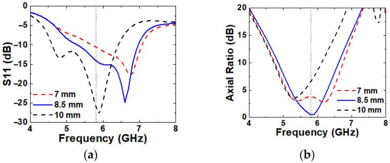
This paper presents an enhanced circularly polarized (CP) all-textile antenna using a metasurface (MS) and slot-patterned ground (SPG) for 5.8 GHz industry, scientific, and medical (ISM)-band applications in off-body communications. The 3 × 3 MS, capable of converting the incident wave into an orthogonal direction with equal magnitude and a 90° phase difference, converts the linearly polarized (LP) wave, radiated from the fundamental radiator with a corner-truncated slot square-patch configuration, into being CP. The SPG, consisting of periodic slots with two different sizes of corner-truncated slots, redistributes the surface current on the ground plane, enhancing the axial ratio bandwidth (ARBW) of the proposed antenna. The novel combination of MS and SPG not only enables the generation and enhancement of CP characteristics but also significantly improves the impedance bandwidth (IBW), gain, and radiation efficiency by introducing additional surface wave resonances. The proposed antenna is composed of a conductive textile and a felt substrate, offering comfort and flexibility for applications where the antenna is placed in close proximity to the human body. The proposed antenna is simulated under bending in various directions, showing exceptionally similar characteristics to a flat condition. The proposed antenna is fabricated and is then verified by measurements in both free space and a human body environment. The measured IBW is 36.3%, while the ARBW is 18%. The measured gain and radiation efficiency are 6.39 dBic and 64.7%, respectively. The specific absorption rate (SAR) is simulated, and the results satisfy both US and EU safety standards.

摘要

本文提出了一种用于5.8 GHz工业、科学和医疗(ISM)频段体外通信应用的增强型圆极化(CP)全纺织天线,该天线采用了超表面(MS)和缝隙图案化接地(SPG)。3×3的超表面能够将入射波转换为幅度相等且相位差为90°的正交方向,它将从具有角截断缝隙方形贴片结构的基本辐射器辐射出的线极化(LP)波转换为圆极化波。由具有两种不同尺寸角截断缝隙的周期性缝隙组成的缝隙图案化接地,重新分布了接地平面上的表面电流,增强了所提天线的轴比带宽(ARBW)。超表面和缝隙图案化接地的新颖组合不仅能够产生和增强圆极化特性,还通过引入额外的表面波共振显著提高了阻抗带宽(IBW)、增益和辐射效率。所提天线由导电纺织品和毛毡基板组成,为天线靠近人体放置的应用提供了舒适性和灵活性。所提天线在各个方向弯曲的情况下进行了仿真,结果显示与平面状态下的特性异常相似。所提天线进行了制作,然后在自由空间和人体环境中通过测量进行了验证。测量得到的阻抗带宽为36.3%,轴比带宽为18%。测量得到的增益和辐射效率分别为6.39 dBic和64.7%。对比吸收率(SAR)进行了仿真,结果满足美国和欧盟的安全标准。

https://cdn.ncbi.nlm.nih.gov/pmc/blobs/9b81/12301038/81b7e9340f42/micromachines-16-00799-g001.jpg

文献AI研究员

20分钟写一篇综述,助力文献阅读效率提升50倍。

立即体验

用中文搜PubMed

大模型驱动的PubMed中文搜索引擎

马上搜索

文档翻译

学术文献翻译模型,支持多种主流文档格式。

立即体验