Suppr超能文献

使用纤维素和羟基磷灰石纳米复合材料新型吸附剂进行水脱氟的工艺优化与建模研究

Process optimization and modeling research for the defluoridation of water using a novel adsorbent of cellulose and hydroxyapatite nanocomposite.

作者信息

Majamo Samuel Latebo, Amibo Temesgen Abeto, Gebremeskel Bereket Mamo, Konopacka-Łyskawa Donata

机构信息

Department of Chemical Engineering, College of Engineering and Technology, Wachemo University, Hossana, Ethiopia.

Department of Process Engineering and Chemical Technology, Faculty of Chemistry, Gdansk University of Technology, Narutowicza 11/12, Gdansk, 80-233, Poland.

出版信息

Sci Rep. 2025 Aug 6;15(1):28798. doi: 10.1038/s41598-025-13594-z.

Abstract

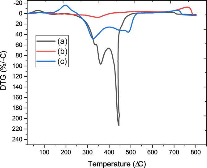
According to world health organization fluoride ion concentration in the drinking water greater than 1.5 mg/L results in humans healthy risks. In this research, a cellulose/hydroxyapatite nanocomposite was produced and used for fluoride ions removal from water by adsorption. To synthesize the nanocomposite, cellulose of African alpine bamboo (Yushuania alpina) and (ii) hydroxyapatite of chicken eggshells were used. The adsorbent characteristics were determined based on dynamic light scattering, Brunauer-Emmett-Teller, scanning electron microscopy, Fourier transform infrared spectroscopy, x-ray diffraction, thermogravimetric analysis and derivative thermogravimetric analysis. Adsorption experiments were designed by the central composite design approach. The influence of an adsorbent dose (0.075-1.75 g/L), pH (5-9), contact time (40-80 min) and initial fluoride ion concentration (20-40 mg/L) were investigated. The highest adsorption capacity of the adsorbent was 23.02 mg/g. The highest removal efficiency of 98.68% was attained by employing dosage of 1.43 g/L for 77 min, at a pH of 5.24, and with an initial concentration of 24.43 mg/L. Thermodynamic analysis shows that the process is spontaneous and endothermic, as confirmed by the positive values of ΔH° and ΔS°, and the negative values of ΔG°. The adsorption process can be described the pseudo-second-order kinetic model and the Langmuir isotherm. The study showed that the cellulose/hydroxyapatite nanocomposite is an environmentally friendly and effective adsorbent for fluoride ion removal.

摘要

根据世界卫生组织的标准,饮用水中氟离子浓度大于1.5毫克/升会给人类健康带来风险。在本研究中,制备了一种纤维素/羟基磷灰石纳米复合材料,并用于通过吸附作用去除水中的氟离子。为了合成该纳米复合材料,使用了非洲高山竹(玉山竹)的纤维素和鸡蛋壳的羟基磷灰石。基于动态光散射、布鲁诺尔-埃米特-泰勒法、扫描电子显微镜、傅里叶变换红外光谱、X射线衍射、热重分析和微商热重分析来确定吸附剂的特性。吸附实验采用中心复合设计方法进行设计。研究了吸附剂剂量(0.075 - 1.75克/升)、pH值(5 - 9)、接触时间(40 - 80分钟)和初始氟离子浓度(20 - 40毫克/升)的影响。吸附剂的最高吸附容量为23.02毫克/克。在pH值为5.24、初始浓度为24.43毫克/升的条件下,采用1.43克/升的剂量吸附77分钟,去除效率最高可达98.68%。热力学分析表明,该过程是自发的且吸热的,这由ΔH°和ΔS°的正值以及ΔG°的负值所证实。吸附过程可以用伪二级动力学模型和朗缪尔等温线来描述。研究表明,纤维素/羟基磷灰石纳米复合材料是一种用于去除氟离子的环保且有效的吸附剂。

https://cdn.ncbi.nlm.nih.gov/pmc/blobs/6a77/12328803/c65bf119d701/41598_2025_13594_Fig1_HTML.jpg

文献AI研究员

20分钟写一篇综述,助力文献阅读效率提升50倍。

立即体验

用中文搜PubMed

大模型驱动的PubMed中文搜索引擎

马上搜索

文档翻译

学术文献翻译模型,支持多种主流文档格式。

立即体验