• 文献检索
  • 文档翻译
  • 深度研究
  • 学术资讯
  • Suppr Zotero 插件Zotero 插件
  • 邀请有礼
  • 套餐&价格
  • 历史记录
应用&插件
Suppr Zotero 插件Zotero 插件浏览器插件Mac 客户端Windows 客户端微信小程序
定价
高级版会员购买积分包购买API积分包
服务
文献检索文档翻译深度研究API 文档MCP 服务
关于我们
关于 Suppr公司介绍联系我们用户协议隐私条款
关注我们

Suppr 超能文献

核心技术专利:CN118964589B侵权必究
粤ICP备2023148730 号-1Suppr @ 2026

文献检索

告别复杂PubMed语法,用中文像聊天一样搜索,搜遍4000万医学文献。AI智能推荐,让科研检索更轻松。

立即免费搜索

文件翻译

保留排版,准确专业,支持PDF/Word/PPT等文件格式,支持 12+语言互译。

免费翻译文档

深度研究

AI帮你快速写综述,25分钟生成高质量综述,智能提取关键信息,辅助科研写作。

立即免费体验

慢性左束支传导阻滞患者接受右心室起搏时的心肌病特征。

Characteristics of Cardiomyopathy in Patients With Chronic Left Bundle Branch Block Undergoing Right Ventricular Pacing.

作者信息

Abe Temidayo A, Markson Favour, Friedman Daniel J, Jackson Larry R

机构信息

Division of Cardiology, Department of Medicine, Vanderbilt University Medical Center, Nashville, Tennessee, USA.

Division of Cardiology, Department of Medicine, Jefferson Health-Einstein Hospital, Philadelphia, Pennsylvania, USA.

出版信息

Pacing Clin Electrophysiol. 2025 Sep;48(9):973-980. doi: 10.1111/pace.70020. Epub 2025 Aug 8.

DOI:10.1111/pace.70020
PMID:40778514
原文链接:https://pmc.ncbi.nlm.nih.gov/articles/PMC12439233/
Abstract

BACKGROUND

Left bundle branch block (LBBB) and right ventricular pacing (RVP) are associated with abnormal myocardial mechanics and cardiomyopathy. Consequently, chronic LBBB may increase the risk of heart failure and mortality in patients undergoing RVP.

METHODS

Using the TriNetX Analytics Network database, we identified patients who underwent pacemaker implantation between January 1, 2014 and January 1, 2024. Exclusion criteria included a history of heart failure, previous cardiac devices, cardiac resynchronization therapy (CRT) during the index hospitalization, or a left ventricular ejection fraction (LVEF) of less than 50%. The primary outcome incident systolic heart failure and all-cause mortality occurring from the index hospitalization through November 2024.

RESULTS

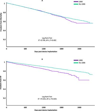
Among 70,526 patients undergoing RVP implantation, 3916 (5.6%) had chronic LBBB prior to the procedure, with a median age of 75 ± 15 years. Over a median follow-up of 2.5 years, 5356 (7.6%) developed incident systolic heart failure, and 9714 (13.7%) experienced all-cause mortality. After propensity score matching, chronic LBBB was associated with a higher risk of systolic heart failure (HR: 1.39; 95% CI: 1.20-1.62) but not all-cause mortality (HR: 0.93; 95% CI: 0.83-1.06). Patients with chronic LBBB who developed systolic heart failure were more likely to present with moderately depressed LVEF and require CRT upgrades during follow-up compared to those without chronic LBBB.

CONCLUSION

Chronic LBBB was associated with a higher risk of systolic heart failure, worse left ventricular function, and greater likelihood of CRT upgrade among patients undergoing RVP.

摘要

背景

左束支传导阻滞(LBBB)和右心室起搏(RVP)与心肌力学异常和心肌病相关。因此,慢性LBBB可能会增加接受RVP患者发生心力衰竭和死亡的风险。

方法

利用TriNetX分析网络数据库,我们确定了在2014年1月1日至2024年1月1日期间接受起搏器植入的患者。排除标准包括心力衰竭病史、既往心脏装置、索引住院期间的心脏再同步治疗(CRT)或左心室射血分数(LVEF)低于50%。主要结局为从索引住院到2024年11月发生的收缩期心力衰竭和全因死亡率。

结果

在70526例接受RVP植入的患者中,3916例(5.6%)在手术前患有慢性LBBB,中位年龄为75±15岁。中位随访2.5年,5356例(7.6%)发生了收缩期心力衰竭,9714例(13.7%)经历了全因死亡。倾向评分匹配后,慢性LBBB与收缩期心力衰竭风险较高相关(HR:1.39;95%CI:1.20-1.62),但与全因死亡率无关(HR:0.93;95%CI:0.83-1.06)。与无慢性LBBB的患者相比,发生收缩期心力衰竭的慢性LBBB患者更有可能出现中度降低的LVEF,并且在随访期间需要升级CRT。

结论

慢性LBBB与接受RVP患者的收缩期心力衰竭风险较高、左心室功能较差以及CRT升级的可能性较大相关。

https://cdn.ncbi.nlm.nih.gov/pmc/blobs/a9d3/12439233/389d8f8be391/PACE-48-973-g003.jpg
https://cdn.ncbi.nlm.nih.gov/pmc/blobs/a9d3/12439233/f77be0e292dd/PACE-48-973-g001.jpg
https://cdn.ncbi.nlm.nih.gov/pmc/blobs/a9d3/12439233/7baa35016dbe/PACE-48-973-g002.jpg
https://cdn.ncbi.nlm.nih.gov/pmc/blobs/a9d3/12439233/389d8f8be391/PACE-48-973-g003.jpg
https://cdn.ncbi.nlm.nih.gov/pmc/blobs/a9d3/12439233/f77be0e292dd/PACE-48-973-g001.jpg
https://cdn.ncbi.nlm.nih.gov/pmc/blobs/a9d3/12439233/7baa35016dbe/PACE-48-973-g002.jpg
https://cdn.ncbi.nlm.nih.gov/pmc/blobs/a9d3/12439233/389d8f8be391/PACE-48-973-g003.jpg

相似文献

1
Characteristics of Cardiomyopathy in Patients With Chronic Left Bundle Branch Block Undergoing Right Ventricular Pacing.慢性左束支传导阻滞患者接受右心室起搏时的心肌病特征。
Pacing Clin Electrophysiol. 2025 Sep;48(9):973-980. doi: 10.1111/pace.70020. Epub 2025 Aug 8.
2
The Association Between Newly Acquired Permanent Left Bundle Branch Block Following Transcatheter Aortic Valve Replacement and New-Onset Cardiomyopathy.经导管主动脉瓣置换术后新获得性永久性左束支传导阻滞与新发心肌病之间的关联
J Cardiovasc Electrophysiol. 2025 Sep;36(9):2196-2204. doi: 10.1111/jce.16782. Epub 2025 Jul 9.
3
Association of Cardiac Resynchronization Therapy With Change in Left Ventricular Ejection Fraction in Patients With Chemotherapy-Induced Cardiomyopathy.心脏再同步治疗与化疗诱导性心肌病患者左心室射血分数变化的关系。
JAMA. 2019 Nov 12;322(18):1799-1805. doi: 10.1001/jama.2019.16658.
4
Clinical significance and prognostic value of right bundle branch block in permanent pacemaker patients.右束支传导阻滞在永久性起搏器患者中的临床意义及预后价值。
J Cardiovasc Med (Hagerstown). 2024 Jul 1;25(7):551-558. doi: 10.2459/JCM.0000000000001641. Epub 2024 May 28.
5
Left ventricular mass as a modulator of ventricular arrhythmia risk and sex differences after CRT for nonischemic cardiomyopathy and LBBB.左心室质量作为非缺血性心肌病和左束支传导阻滞患者CRT后室性心律失常风险及性别差异的调节因素。
Heart Rhythm. 2025 Feb;22(2):339-348. doi: 10.1016/j.hrthm.2024.07.106. Epub 2024 Jul 29.
6
Incidence of Pacing-Induced Cardiomyopathy Among Patients With Leadless Versus Transvenous Ventricular Pacemakers.无导线与经静脉心室起搏器患者中起搏诱导性心肌病的发生率
Circ Arrhythm Electrophysiol. 2025 Aug;18(8):e013800. doi: 10.1161/CIRCEP.125.013800. Epub 2025 Jul 25.
7
Two-year outcomes of left bundle branch area pacing versus traditional right ventricular pacing in middle-aged adults: a registry-based trial.中年成人左束支区域起搏与传统右心室起搏的两年结局:一项基于注册登记的试验。
Europace. 2025 Aug 4;27(8). doi: 10.1093/europace/euaf181.
8
Cardiac resynchronization therapy risk stratified by magnetic resonance imaging and optimized by left bundle branch pacing: Results from long-term follow-up of MADURAI LBBP study.通过磁共振成像进行风险分层并经左束支起搏优化的心脏再同步治疗:马杜赖左束支起搏研究的长期随访结果
Heart Rhythm. 2025 Aug;22(8):2018-2027. doi: 10.1016/j.hrthm.2025.04.040. Epub 2025 Apr 26.
9
Conduction system pacing compared with biventricular pacing for cardiac resynchronization therapy in patients with heart failure and mildly reduced left ventricular ejection fraction: Results from International Collaborative LBBAP Study (I-CLAS) Group.传导系统起搏与双心室起搏用于心力衰竭且左心室射血分数轻度降低患者心脏再同步治疗的比较:国际协作性左束支区域起搏研究(I-CLAS)组的结果
Heart Rhythm. 2024 Sep 27. doi: 10.1016/j.hrthm.2024.09.030.
10
Permanent left bundle branch area pacing improves mitral regurgitation and cardiac function in patients with right bundle branch block.永久性左束支区域起搏改善右束支传导阻滞患者的二尖瓣反流和心功能。
BMC Cardiovasc Disord. 2024 Sep 19;24(1):501. doi: 10.1186/s12872-024-04175-5.

本文引用的文献

1
Incidence and Predictors of Pacing-Induced Right Ventricular Cardiomyopathy.
Circ Arrhythm Electrophysiol. 2024 Oct;17(10):e013070. doi: 10.1161/CIRCEP.124.013070. Epub 2024 Sep 26.
2
A Revised Definition of Left Bundle Branch Block Using Time to Notch in Lead I.应用 I 导联切迹时间对左束支传导阻滞的重新定义。
JAMA Cardiol. 2024 May 1;9(5):449-456. doi: 10.1001/jamacardio.2024.0265.
3
Beyond conduction impairment: Unveiling the profound myocardial injury in left bundle branch block.超越传导障碍:揭示左束支传导阻滞中的深刻心肌损伤。
Heart Rhythm. 2024 Aug;21(8):1370-1379. doi: 10.1016/j.hrthm.2024.03.012. Epub 2024 Mar 13.
4
Leadless Pacemakers: Current Achievements and Future Perspectives.无导线起搏器:当前成果与未来展望
Eur Cardiol. 2023 Aug 18;18:e49. doi: 10.15420/ecr.2022.32. eCollection 2023.
5
Cardiac Conduction System Pacing: A Comprehensive Update.心脏传导系统起搏:全面更新。
JACC Clin Electrophysiol. 2023 Nov;9(11):2358-2387. doi: 10.1016/j.jacep.2023.06.005. Epub 2023 Aug 16.
6
2023 HRS/APHRS/LAHRS guideline on cardiac physiologic pacing for the avoidance and mitigation of heart failure.2023 年 HRS/APHRS/LAHRS 心脏生理起搏指南:预防和减轻心力衰竭。
Heart Rhythm. 2023 Sep;20(9):e17-e91. doi: 10.1016/j.hrthm.2023.03.1538. Epub 2023 May 20.
7
A global federated real-world data and analytics platform for research.一个用于研究的全球联合真实世界数据与分析平台。
JAMIA Open. 2023 May 13;6(2):ooad035. doi: 10.1093/jamiaopen/ooad035. eCollection 2023 Jul.
8
Abnormal Conduction-Induced Cardiomyopathy: JACC Review Topic of the Week.异常传导所致心肌病:美国心脏病学会评论专题之周更
J Am Coll Cardiol. 2023 Mar 28;81(12):1192-1200. doi: 10.1016/j.jacc.2023.01.040.
9
Left Bundle Branch Block-Induced Cardiomyopathy: Insights From Left Bundle Branch Pacing.左束支传导阻滞相关性心肌病:左束支起搏的启示。
JACC Clin Electrophysiol. 2021 Sep;7(9):1155-1165. doi: 10.1016/j.jacep.2021.02.004. Epub 2021 Mar 31.
10
Pre-implant global longitudinal strain as an early sign of pacing-induced cardiomyopathy in patients with complete atrioventricular block.起搏诱导性心肌病患者的植入前整体纵向应变作为早期迹象。
Echocardiography. 2021 Feb;38(2):175-182. doi: 10.1111/echo.14942. Epub 2021 Jan 6.