• 文献检索
  • 文档翻译
  • 深度研究
  • 学术资讯
  • Suppr Zotero 插件Zotero 插件
  • 邀请有礼
  • 套餐&价格
  • 历史记录
应用&插件
Suppr Zotero 插件Zotero 插件浏览器插件Mac 客户端Windows 客户端微信小程序
定价
高级版会员购买积分包购买API积分包
服务
文献检索文档翻译深度研究API 文档MCP 服务
关于我们
关于 Suppr公司介绍联系我们用户协议隐私条款
关注我们

Suppr 超能文献

核心技术专利:CN118964589B侵权必究
粤ICP备2023148730 号-1Suppr @ 2026

文献检索

告别复杂PubMed语法,用中文像聊天一样搜索,搜遍4000万医学文献。AI智能推荐,让科研检索更轻松。

立即免费搜索

文件翻译

保留排版,准确专业,支持PDF/Word/PPT等文件格式,支持 12+语言互译。

免费翻译文档

深度研究

AI帮你快速写综述,25分钟生成高质量综述,智能提取关键信息,辅助科研写作。

立即免费体验

经导管主动脉瓣置换术治疗的主动脉瓣狭窄患者主动脉根部的解剖特征:一项观察性研究。

Anatomical features of aortic root in patients with aortic stenosis treated by TAVR: an observational study.

作者信息

Chen Yang, Sun Baihua, Wang Zhongyu, Wang Moyang, Zhang Hongliang, Niu Guannan, Zhao Zhenyan, Feng Dejing, Zhang Pinghai, Jiang Zhibo, Yuan Junhua, Song Junxian, Wu Yongjian

机构信息

Coronary Heart Disease Center, National Center for Cardiovascular Diseases and Fuwai Hospital, Chinese Academy of Medical Sciences and Peking Union Medical College, Beijing, 100037, China.

Department of Cardiology, Peking University People's Hospital, Beijing, 100044, China.

出版信息

BMC Med Imaging. 2025 Aug 12;25(1):326. doi: 10.1186/s12880-025-01867-y.

DOI:10.1186/s12880-025-01867-y
PMID:40796800
原文链接:https://pmc.ncbi.nlm.nih.gov/articles/PMC12341228/
Abstract

OBJECTIVE

Transcatheter aortic valve replacement (TAVR) is a well-established technique for the treatment of aortic stenosis (AS). However, due to the complex anatomical features of the aortic root, the risk of vascular injury caused by operation under the condition of anatomical variations of the aortic root is high, and there is a lack of studies on the anatomical features of the aortic root on CT before TAVR. Therefore, this study will preliminarily summarize anatomical features of aortic root in patients with aortic stenosis treated by TAVR.

METHODS

A retrospective study was conducted at a single center, involving 60 patients with symptomatic severe AS treated TAVR between September 2022 and December 2022. Baseline patient information, CT measurements of aortic root anatomical characteristics, and associated risks were analyzed.

RESULTS

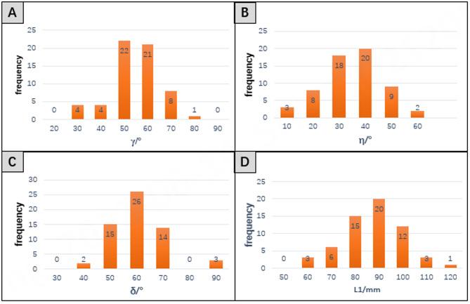
The mean age of the 60 patients was 77.72 ± 4.33 years, with 39 males (65.00%). The left ventricular ejection fraction was 65.46 ± 13.92%. Valve morphology included 38 cases (63.30%) of tricuspid valves and 22 cases (36.70%) of bicuspid valves. Common anatomical risks identified were acute aortic arch (18.33%), a short ascending aorta (10.00%, 8.33%, 16.67%, 15.00%), ascending aortic dilation (3.33%), a transverse heart (28.33%), cardiac anteversion (68.33%), a short left ventricle (5.00%), and a small left ventricle (5.00%).

CONCLUSION

Preoperative cardiac CT scans detect aortic root morphological angle abnormalities in TAVR patients. Angular dimensions of the aortic root show considerable variability among patients, which may have procedural implications for TAVR.

摘要

目的

经导管主动脉瓣置换术(TAVR)是治疗主动脉瓣狭窄(AS)的成熟技术。然而,由于主动脉根部解剖结构复杂,在主动脉根部解剖变异情况下手术导致血管损伤的风险较高,且缺乏TAVR术前CT对主动脉根部解剖特征的研究。因此,本研究将初步总结经TAVR治疗的主动脉瓣狭窄患者主动脉根部的解剖特征。

方法

在单一中心进行回顾性研究,纳入2022年9月至2022年12月期间接受TAVR治疗的60例有症状的重度AS患者。分析患者基线信息、主动脉根部解剖特征的CT测量结果及相关风险。

结果

60例患者的平均年龄为77.72±4.33岁,男性39例(65.00%)。左心室射血分数为65.46±13.92%。瓣膜形态包括三尖瓣38例(63.30%)和二尖瓣22例(36.70%)。确定的常见解剖风险有急性主动脉弓(18.33%)、升主动脉短(10.00%、8.33%、16.67%、15.00%)、升主动脉扩张(3.33%)、横位心(28.33%)、心脏前倾(68.33%)、左心室短(5.00%)和左心室小(5.00%)。

结论

术前心脏CT扫描可检测TAVR患者主动脉根部形态角度异常。主动脉根部的角度尺寸在患者之间存在相当大的变异性,这可能对TAVR手术有影响。

https://cdn.ncbi.nlm.nih.gov/pmc/blobs/c9c1/12341228/a298127d1ea0/12880_2025_1867_Fig5_HTML.jpg
https://cdn.ncbi.nlm.nih.gov/pmc/blobs/c9c1/12341228/b887b383f65d/12880_2025_1867_Fig1_HTML.jpg
https://cdn.ncbi.nlm.nih.gov/pmc/blobs/c9c1/12341228/86ce8eecb0cb/12880_2025_1867_Fig2_HTML.jpg
https://cdn.ncbi.nlm.nih.gov/pmc/blobs/c9c1/12341228/8e61df87ff56/12880_2025_1867_Fig3_HTML.jpg
https://cdn.ncbi.nlm.nih.gov/pmc/blobs/c9c1/12341228/990cb772dcfa/12880_2025_1867_Fig4_HTML.jpg
https://cdn.ncbi.nlm.nih.gov/pmc/blobs/c9c1/12341228/a298127d1ea0/12880_2025_1867_Fig5_HTML.jpg
https://cdn.ncbi.nlm.nih.gov/pmc/blobs/c9c1/12341228/b887b383f65d/12880_2025_1867_Fig1_HTML.jpg
https://cdn.ncbi.nlm.nih.gov/pmc/blobs/c9c1/12341228/86ce8eecb0cb/12880_2025_1867_Fig2_HTML.jpg
https://cdn.ncbi.nlm.nih.gov/pmc/blobs/c9c1/12341228/8e61df87ff56/12880_2025_1867_Fig3_HTML.jpg
https://cdn.ncbi.nlm.nih.gov/pmc/blobs/c9c1/12341228/990cb772dcfa/12880_2025_1867_Fig4_HTML.jpg
https://cdn.ncbi.nlm.nih.gov/pmc/blobs/c9c1/12341228/a298127d1ea0/12880_2025_1867_Fig5_HTML.jpg

相似文献

1
Anatomical features of aortic root in patients with aortic stenosis treated by TAVR: an observational study.经导管主动脉瓣置换术治疗的主动脉瓣狭窄患者主动脉根部的解剖特征:一项观察性研究。
BMC Med Imaging. 2025 Aug 12;25(1):326. doi: 10.1186/s12880-025-01867-y.
2
Age and sex-related outcomes in cardiovascular magnetic resonance versus computed tomography-guided transcatheter aortic valve replacement: a secondary analysis of a randomized clinical trial.心血管磁共振成像与计算机断层扫描引导下经导管主动脉瓣置换术的年龄和性别相关结局:一项随机临床试验的二次分析
J Cardiovasc Magn Reson. 2025;27(1):101882. doi: 10.1016/j.jocmr.2025.101882. Epub 2025 Mar 13.
3
Valve-in-Valve TAVR for Degenerated Surgical Valves in Patients With Small Aortic Annuli: A Report From a Japanese Nationwide Registry.小主动脉瓣环患者退行性外科瓣膜的瓣中瓣经导管主动脉瓣置换术:来自日本全国性注册研究的报告
Circ Cardiovasc Interv. 2025 Jul;18(7):e015087. doi: 10.1161/CIRCINTERVENTIONS.124.015087. Epub 2025 May 20.
4
Long-Term Outcomes of BAV-0 Patients Compared With BAV-1 and TAV Patients After TAVR.经导管主动脉瓣置换术(TAVR)后,BAV-0患者与BAV-1和TAV患者的长期结局比较。
JACC Cardiovasc Interv. 2025 Aug 11;18(15):1881-1892. doi: 10.1016/j.jcin.2025.05.045. Epub 2025 Jul 23.
5
Impact of Calcified Raphe on TAVR in Bicuspid Patients: Predicting Redo-TAVR Feasibility and Virtual Planning Implications.钙化中隔对二叶式患者经导管主动脉瓣置换术的影响:预测再次经导管主动脉瓣置换术的可行性及虚拟规划的意义
Circ Cardiovasc Interv. 2025 Jun;18(6):e014802. doi: 10.1161/CIRCINTERVENTIONS.124.014802. Epub 2025 Apr 22.
6
Meta-analysis of longitudinal comparison of transcatheter versus surgical aortic valve replacement in patients at low to intermediate surgical risk.低至中度手术风险患者经导管主动脉瓣置换术与外科主动脉瓣置换术纵向比较的荟萃分析。
Int J Surg. 2024 Dec 1;110(12):8097-8106. doi: 10.1097/JS9.0000000000002158.
7
Elevated myocardial extracellular volume fraction is associated with the development of conduction pathway defects following transcatheter aortic valve replacement.经导管主动脉瓣置换术后心肌细胞外体积分数升高与传导通路缺陷的发展有关。
Catheter Cardiovasc Interv. 2024 Nov;104(5):1119-1128. doi: 10.1002/ccd.31136. Epub 2024 Jul 2.
8
Clinical Characteristics and Outcomes of Patients Undergoing 3 Aortic Valve Interventions: The THIRD Multicenter Registry.接受3种主动脉瓣干预治疗患者的临床特征与结局:THIRD多中心注册研究
JACC Cardiovasc Interv. 2025 Jan 13;18(1):103-115. doi: 10.1016/j.jcin.2024.10.037.
9
Transcatheter bicuspid versus tricuspid aortic valve replacement in patients with a small aortic annulus: an observational study.小主动脉瓣环患者经导管二尖瓣与三尖瓣主动脉瓣置换术的观察性研究
Open Heart. 2025 Jun 13;12(1):e003357. doi: 10.1136/openhrt-2025-003357.
10
5-Year Echocardiographic Results of Transcatheter Versus Surgical Aortic Valve Replacement in Low-Risk Patients.低风险患者经导管与外科主动脉瓣置换术的5年超声心动图结果
JACC Cardiovasc Imaging. 2025 Jun;18(6):625-640. doi: 10.1016/j.jcmg.2025.01.015. Epub 2025 Apr 16.

本文引用的文献

1
Development and validation of a deep learning-based fully automated algorithm for pre-TAVR CT assessment of the aortic valvular complex and detection of anatomical risk factors: a retrospective, multicentre study.基于深度学习的主动脉瓣环复合体 TAVR 术前 CT 评估及解剖学危险因素检测全自动算法的开发与验证:一项回顾性、多中心研究。
EBioMedicine. 2023 Oct;96:104794. doi: 10.1016/j.ebiom.2023.104794. Epub 2023 Sep 9.
2
Computed tomography anatomical characteristics based on transcatheter aortic valve replacement in aortic regurgitation.基于经导管主动脉瓣置换术治疗主动脉瓣反流的计算机断层扫描解剖学特征
Int J Cardiovasc Imaging. 2023 Oct;39(10):2063-2071. doi: 10.1007/s10554-023-02908-9. Epub 2023 Jul 8.
3
Can Measuring the 'Dual Anchors of Aorta' Enhance the Success Rate of TAVR?-A Single-Center Experience.
测量“主动脉双锚定”能否提高经导管主动脉瓣置换术(TAVR)的成功率?——单中心经验
J Clin Med. 2023 Feb 1;12(3):1157. doi: 10.3390/jcm12031157.
4
A novel anatomic classification to guide transcatheter aortic valve replacement for pure aortic regurgitation.一种用于指导经导管主动脉瓣置换术治疗单纯主动脉瓣反流的新型解剖学分类。
Echocardiography. 2022 Dec;39(12):1571-1580. doi: 10.1111/echo.15490. Epub 2022 Nov 14.
5
Evolving Devices and Material in Transcatheter Aortic Valve Replacement: What to Use and for Whom.经导管主动脉瓣置换术中不断发展的器械和材料:用什么以及适用于谁。
J Clin Med. 2022 Jul 30;11(15):4445. doi: 10.3390/jcm11154445.
6
Coronary protection for the small left coronary sinus during transcatheter aortic valve replacement: a case report.经导管主动脉瓣置换术中对小左冠状动脉窦的冠状动脉保护:一例报告
Eur Heart J Case Rep. 2022 Jan 24;6(1):ytac011. doi: 10.1093/ehjcr/ytac011. eCollection 2022 Jan.
7
Description of the Step-by-Step Technique With Snare Catheter for TAVR in Horizontal Aorta.水平主动脉经导管主动脉瓣置换术(TAVR)圈套导管分步技术描述
JACC Case Rep. 2021 Dec 1;3(17):1811-1815. doi: 10.1016/j.jaccas.2021.09.006.
8
2021 ESC/EACTS Guidelines for the management of valvular heart disease.2021年欧洲心脏病学会/欧洲心胸外科学会瓣膜性心脏病管理指南。
Eur Heart J. 2022 Feb 12;43(7):561-632. doi: 10.1093/eurheartj/ehab395.
9
The incidence and impact of cardiac conduction disturbances after transcatheter aortic valve replacement.经导管主动脉瓣置换术后心脏传导障碍的发生率及影响
Ann Cardiothorac Surg. 2020 Nov;9(6):452-467. doi: 10.21037/acs-2020-av-23.
10
Transcatheter Aortic Valve Replacement in Low-risk Patients With Bicuspid Aortic Valve Stenosis.经导管主动脉瓣置换术治疗二叶式主动脉瓣狭窄的低危患者。
JAMA Cardiol. 2021 Jan 1;6(1):50-57. doi: 10.1001/jamacardio.2020.4738.