Suppr超能文献

Sysmex新型高敏肌钙蛋白T检测方法的分析性能

Analytical Performance of the New Sysmex High-Sensitivity Troponin T Assay.

作者信息

Lau Chin Shern, Asavapuriyothin Napthathorn, Low Chee Hoe, Phua Soon Kieng, Liang Yali, Aw Tar Choon

机构信息

Department of Laboratory Medicine, Changi General Hospital, Singapore 529889, Singapore.

Sysmex Asia-Pacific, Singapore 528735, Singapore.

出版信息

Diagnostics (Basel). 2025 Jul 22;15(15):1838. doi: 10.3390/diagnostics15151838.

Abstract

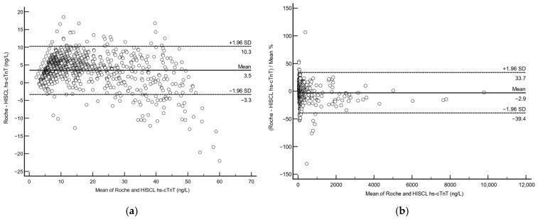
We evaluated the Sysmex Highly Integrated Single-Cartridge Luminescence Immunoassay System (HISCL) hs-cTnT assay, and compared its performance to the Roche assay, with derivation of 99th-percentile upper reference limits (99% URLs) for healthy subjects. We assessed the effect of increasing age/decreasing eGFR on the HISCL hs-cTnT. We verified assay limits of blank/detection, precision and the functional sensitivity. Samples were analyzed on both the Sysmex HISCL and Roche Elecsys analyzers for method comparison. The HISCL assay limit of blank/detection was 1.3/1.9 ng/L, and concentrations corresponding to 20/10% CVs were 1.8/3.3 ng/L. Assay precision of kit controls at 3253 ng/L was 2.2% and at 106 ng/L was 2.5%. Linear regression analysis ( = 2151) showed good agreement (r = 0.95) with the Roche hs-cTnT. Bland-Altman (Roche/HISCL) analysis for samples with hs-cTnT ≤ 52 ng/L showed a mean absolute difference of 3.5 ng/L; for hs-cTnT > 52 ng/L, the mean difference was 2.8%. In a cardio-renal healthy population ( = 1004), the 99% URLs were 14.4/17.0/13.9 ng/L for overall/male/female, respectively; assay CV% was below 10% at these levels. More than 50% of the hs-cTnT in the healthy male and female subjects were measurable above the limit of detection. Hs-cTnT increased with increasing age and decreasing eGFR. In conclusion, the Sysmex HISCL hs-cTnT fulfils the criteria for a high-sensitivity assay, with specific 99th URLs for males and females. Expectedly, the baseline Sysmex hs-cTnT increases with age and decreasing eGFR.

摘要

我们评估了Sysmex高度集成单试剂盒发光免疫分析系统(HISCL)高敏肌钙蛋白T(hs-cTnT)检测方法,并将其性能与罗氏检测方法进行比较,同时推导了健康受试者的第99百分位上限参考值(99%URL)。我们评估了年龄增长/估算肾小球滤过率(eGFR)降低对HISCL hs-cTnT的影响。我们验证了空白/检测限、精密度和功能灵敏度。在Sysmex HISCL和罗氏Elecsys分析仪上对样本进行分析以进行方法比较。HISCL空白/检测限为1.3/1.9 ng/L,对应20/10%变异系数(CV)的浓度为1.8/3.3 ng/L。试剂盒对照品在3253 ng/L时的检测精密度为2.2%,在106 ng/L时为2.5%。线性回归分析(n = 2151)显示与罗氏hs-cTnT具有良好的一致性(r = 0.95)。对hs-cTnT≤52 ng/L的样本进行Bland-Altman(罗氏/HISCL)分析,平均绝对差值为3.

https://cdn.ncbi.nlm.nih.gov/pmc/blobs/5141/12346695/f7b05967e81c/diagnostics-15-01838-g001.jpg

文献检索

告别复杂PubMed语法,用中文像聊天一样搜索,搜遍4000万医学文献。AI智能推荐,让科研检索更轻松。

立即免费搜索

文件翻译

保留排版,准确专业,支持PDF/Word/PPT等文件格式,支持 12+语言互译。

免费翻译文档

深度研究

AI帮你快速写综述,25分钟生成高质量综述,智能提取关键信息,辅助科研写作。

立即免费体验