• 文献检索
  • 文档翻译
  • 深度研究
  • 学术资讯
  • Suppr Zotero 插件Zotero 插件
  • 邀请有礼
  • 套餐&价格
  • 历史记录
应用&插件
Suppr Zotero 插件Zotero 插件浏览器插件Mac 客户端Windows 客户端微信小程序
定价
高级版会员购买积分包购买API积分包
服务
文献检索文档翻译深度研究API 文档MCP 服务
关于我们
关于 Suppr公司介绍联系我们用户协议隐私条款
关注我们

Suppr 超能文献

核心技术专利:CN118964589B侵权必究
粤ICP备2023148730 号-1Suppr @ 2026

文献检索

告别复杂PubMed语法,用中文像聊天一样搜索,搜遍4000万医学文献。AI智能推荐,让科研检索更轻松。

立即免费搜索

文件翻译

保留排版,准确专业,支持PDF/Word/PPT等文件格式,支持 12+语言互译。

免费翻译文档

深度研究

AI帮你快速写综述,25分钟生成高质量综述,智能提取关键信息,辅助科研写作。

立即免费体验

可溶性肿瘤免疫组学特征预测癌症患者对强化免疫营养的肌肉量反应:一项多中心随机临床试验的亚分析

Soluble Oncoimmunome Signatures Predict Muscle Mass Response to Enriched Immunonutrition in Cancer Patients: Subanalysis of a Multicenter Randomized Clinical Trial.

作者信息

Cuesta-Sancho Sara, Gomez Juan José López, García-Luna Pedro Pablo, Primo David, Martínez-Ortega Antonio J, Izaola Olatz, Casañas Tamara, Calleja Alicia, Bernardo David, de Luis Daniel

机构信息

Mucosal Immunology Lab, Department of Paediatrics and Immunology, University of Valladolid, 47003 Valladolid, Spain.

Health Research Institute of Valladolid (IBioVALL), 47010 Valladolid, Spain.

出版信息

Nutrients. 2025 Jul 24;17(15):2421. doi: 10.3390/nu17152421.

DOI:10.3390/nu17152421
PMID:40806007
原文链接:https://pmc.ncbi.nlm.nih.gov/articles/PMC12348936/
Abstract

BACKGROUND/OBJECTIVES: Enriched oral nutritional supplementation (ONS) has been shown to increase muscle mass in cancer patients. This study aims to identify the immunomodulatory effects and predictive biomarkers associated with this intervention.

METHODS

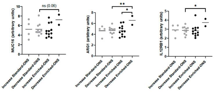
The soluble levels of 92 immune- and oncology-related mediators were determined before and after an intervention (8 weeks) in 28 patients with cancer receiving either a standard (n = 14) or an enriched ONS (n = 14) using the Olink proteomics analysis pipeline (Olink Target 96 Immuno-Oncology panel (Uppsala, Sweden)) Results: Patients receiving enriched ONS experienced an average weight gain of 1.4 kg and a muscle mass increase of 2.2 kg after 8 weeks, both statistically significant ( < 0.05), while no such improvements were observed in the standard ONS group. Inflammatory markers TRAIL and LAMP3 were significantly reduced, along with an increase in Gal-1, suggesting lower inflammation and enhanced myogenic differentiation. However, patients who failed to gain muscle mass with the enriched formula showed a more aggressive inflammatory profile, characterized by higher serum levels of soluble MUC16, ARG, and IL12RB1. Interestingly, muscle mass gain could be predicted before the intervention, as responders had lower baseline levels of PGF, CD28, and IL12RB1. These differences were specific to recipients of the enriched ONS, confirming its immunomodulatory effects.

CONCLUSIONS

Our findings support the use of enriched oral nutritional supplementation (ONS) as an effective strategy not only to enhance caloric and protein intake but also to promote anabolism and preserve muscle mass in cancer patients. The identification of immune profiles suggests that specific biomarkers could be used to predict which patients will benefit most from this type of intervention. This may allow for the implementation of personalized immunonutrition strategies that optimize resource allocation and improve clinical outcomes, particularly in vulnerable populations at risk of cachexia.

摘要

背景/目的:强化口服营养补充剂(ONS)已被证明可增加癌症患者的肌肉量。本研究旨在确定与该干预措施相关的免疫调节作用和预测生物标志物。

方法

使用Olink蛋白质组学分析流程(Olink Target 96免疫肿瘤学检测板(瑞典乌普萨拉)),测定了28例接受标准ONS(n = 14)或强化ONS(n = 14)的癌症患者在干预(8周)前后92种免疫和肿瘤相关介质的可溶性水平。结果:接受强化ONS的患者在8周后平均体重增加1.4kg,肌肉量增加2.2kg,两者均具有统计学意义(P < 0.05),而标准ONS组未观察到此类改善。炎症标志物TRAIL和LAMP3显著降低,同时Gal-1增加,提示炎症减轻和肌源性分化增强。然而,使用强化配方未能增加肌肉量的患者表现出更具侵袭性的炎症特征,其特点是血清可溶性MUC16、ARG和IL12RB1水平较高。有趣的是,在干预前就可以预测肌肉量的增加,因为反应者的PGF、CD28和IL12RB1基线水平较低。这些差异是强化ONS接受者所特有的,证实了其免疫调节作用。

结论

我们的研究结果支持使用强化口服营养补充剂(ONS)作为一种有效策略,不仅可以增加热量和蛋白质摄入,还可以促进合成代谢并维持癌症患者的肌肉量。免疫谱的确定表明,特定的生物标志物可用于预测哪些患者将从这类干预措施中获益最多。这可能有助于实施个性化免疫营养策略,优化资源分配并改善临床结果,特别是在有恶病质风险的脆弱人群中。

https://cdn.ncbi.nlm.nih.gov/pmc/blobs/1790/12348936/eefe36d85639/nutrients-17-02421-g003.jpg
https://cdn.ncbi.nlm.nih.gov/pmc/blobs/1790/12348936/eefe36d85639/nutrients-17-02421-g003.jpg
https://cdn.ncbi.nlm.nih.gov/pmc/blobs/1790/12348936/eefe36d85639/nutrients-17-02421-g003.jpg

相似文献

1
Soluble Oncoimmunome Signatures Predict Muscle Mass Response to Enriched Immunonutrition in Cancer Patients: Subanalysis of a Multicenter Randomized Clinical Trial.可溶性肿瘤免疫组学特征预测癌症患者对强化免疫营养的肌肉量反应:一项多中心随机临床试验的亚分析
Nutrients. 2025 Jul 24;17(15):2421. doi: 10.3390/nu17152421.
2
Prescription of Controlled Substances: Benefits and Risks管制药品的处方:益处与风险
3
The Black Book of Psychotropic Dosing and Monitoring.《精神药物剂量与监测黑皮书》
Psychopharmacol Bull. 2024 Jul 8;54(3):8-59.
4
Dietary advice with or without oral nutritional supplements for disease-related malnutrition in adults.膳食建议,包括或不包括口服营养补充剂,用于治疗成人相关营养不良。
Cochrane Database Syst Rev. 2021 Dec 21;12(12):CD002008. doi: 10.1002/14651858.CD002008.pub5.
5
Sertindole for schizophrenia.用于治疗精神分裂症的舍吲哚。
Cochrane Database Syst Rev. 2005 Jul 20;2005(3):CD001715. doi: 10.1002/14651858.CD001715.pub2.
6
Specially formulated foods for treating children with moderate acute malnutrition in low- and middle-income countries.专门为治疗低收入和中等收入国家中度急性营养不良儿童而配制的食品。
Cochrane Database Syst Rev. 2013 Jun 21(6):CD009584. doi: 10.1002/14651858.CD009584.pub2.
7
Nutritional interventions for survivors of childhood cancer.儿童癌症幸存者的营养干预措施。
Cochrane Database Syst Rev. 2016 Aug 22;2016(8):CD009678. doi: 10.1002/14651858.CD009678.pub2.
8
Interventions for preventing weight gain after smoking cessation.戒烟后预防体重增加的干预措施。
Cochrane Database Syst Rev. 2012 Jan 18;1:CD006219. doi: 10.1002/14651858.CD006219.pub3.
9
Intravenous magnesium sulphate and sotalol for prevention of atrial fibrillation after coronary artery bypass surgery: a systematic review and economic evaluation.静脉注射硫酸镁和索他洛尔预防冠状动脉搭桥术后房颤:系统评价与经济学评估
Health Technol Assess. 2008 Jun;12(28):iii-iv, ix-95. doi: 10.3310/hta12280.
10
Comparison of Two Modern Survival Prediction Tools, SORG-MLA and METSSS, in Patients With Symptomatic Long-bone Metastases Who Underwent Local Treatment With Surgery Followed by Radiotherapy and With Radiotherapy Alone.两种现代生存预测工具 SORG-MLA 和 METSSS 在接受手术联合放疗和单纯放疗治疗有症状长骨转移患者中的比较。
Clin Orthop Relat Res. 2024 Dec 1;482(12):2193-2208. doi: 10.1097/CORR.0000000000003185. Epub 2024 Jul 23.

本文引用的文献

1
Impact of the COVID-19 Pandemic on Lifestyle Behavior and Clinical Care Pathway Management in Type 2 Diabetes: A Retrospective Cross-Sectional Study.COVID-19 大流行对 2 型糖尿病患者生活方式行为和临床护理路径管理的影响:一项回顾性横断面研究。
Medicina (Kaunas). 2024 Oct 4;60(10):1624. doi: 10.3390/medicina60101624.
2
COVID-19, Nutrients and Lifestyle Eating Behaviors: A Narrative Review.2019冠状病毒病、营养与生活方式饮食行为:一篇叙述性综述
Diseases. 2024 Aug 22;12(8):193. doi: 10.3390/diseases12080193.
3
Pre-Operative Immunonutrition Enhances Postoperative Outcomes and Elevates Tumor-Infiltrating Lymphocyte Counts in Colorectal Cancer Patients: A Meta-Analysis of Randomized Controlled Trials.
术前免疫营养增强结直肠癌患者术后结局并提高肿瘤浸润淋巴细胞计数:一项随机对照试验的荟萃分析。
Nutr Cancer. 2024;76(6):499-512. doi: 10.1080/01635581.2024.2344250. Epub 2024 Apr 24.
4
Adherence and impact of an oral nutritional supplement enriched in leucine, EVOO, EPA and DHA, and beta-glucans on the coverage of energy and protein requirements in patients with cancer and malnutrition: Alisenoc study.富含亮氨酸、EVOO、EPA 和 DHA 以及β-葡聚糖的口服营养补充剂对满足癌症和营养不良患者能量和蛋白质需求的覆盖情况的影响和依从性:Alisenoc 研究。
Nutrition. 2024 Apr;120:112355. doi: 10.1016/j.nut.2024.112355. Epub 2024 Jan 10.
5
sCD163, sCD28, sCD80, and sCTLA-4 as soluble marker candidates for detecting immunosenescence.可溶性细胞因子 sCD163、sCD28、sCD80 和 sCTLA-4 作为检测免疫衰老的可溶性标志物候选物。
Immun Ageing. 2024 Jan 20;21(1):9. doi: 10.1186/s12979-023-00405-0.
6
The protective effect of IL-12/23 neutralizing antibody in sarcopenia associated with dextran sulfate sodium-induced experimental colitis.白细胞介素-12/23 中和抗体对葡聚糖硫酸钠诱导的实验性结肠炎相关的肌肉减少症的保护作用。
J Cachexia Sarcopenia Muscle. 2023 Apr;14(2):1096-1106. doi: 10.1002/jcsm.13208. Epub 2023 Mar 5.
7
Arginase-1 inhibition reduces migration ability and metastatic colonization of colon cancer cells.精氨酸酶-1抑制作用可降低结肠癌细胞的迁移能力和转移定植能力。
Cancer Metab. 2023 Jan 13;11(1):1. doi: 10.1186/s40170-022-00301-z.
8
Serum TRAIL predicts severity and prognosis in patients with community-acquired pneumonia: a prospective cohort study.血清 TRAIL 预测社区获得性肺炎患者的严重程度和预后:一项前瞻性队列研究。
Intern Emerg Med. 2022 Nov;17(8):2279-2290. doi: 10.1007/s11739-022-03086-7. Epub 2022 Oct 14.
9
Arginase: An emerging and promising therapeutic target for cancer treatment.精氨酸酶:癌症治疗中一个新兴且有前景的治疗靶点。
Biomed Pharmacother. 2022 May;149:112840. doi: 10.1016/j.biopha.2022.112840. Epub 2022 Mar 19.
10
Role of autophagy in muscle disease.自噬在肌肉疾病中的作用。
Mol Aspects Med. 2021 Dec;82:101041. doi: 10.1016/j.mam.2021.101041. Epub 2021 Oct 6.