• 文献检索
  • 文档翻译
  • 深度研究
  • 学术资讯
  • Suppr Zotero 插件Zotero 插件
  • 邀请有礼
  • 套餐&价格
  • 历史记录
应用&插件
Suppr Zotero 插件Zotero 插件浏览器插件Mac 客户端Windows 客户端微信小程序
定价
高级版会员购买积分包购买API积分包
服务
文献检索文档翻译深度研究API 文档MCP 服务
关于我们
关于 Suppr公司介绍联系我们用户协议隐私条款
关注我们

Suppr 超能文献

核心技术专利:CN118964589B侵权必究
粤ICP备2023148730 号-1Suppr @ 2026

文献检索

告别复杂PubMed语法,用中文像聊天一样搜索,搜遍4000万医学文献。AI智能推荐,让科研检索更轻松。

立即免费搜索

文件翻译

保留排版,准确专业,支持PDF/Word/PPT等文件格式,支持 12+语言互译。

免费翻译文档

深度研究

AI帮你快速写综述,25分钟生成高质量综述,智能提取关键信息,辅助科研写作。

立即免费体验

教育研究:X + Y排班模式对神经科住院医师培训的影响

Education Research: The Effect of an X + Y Schedule Model on Neurology Residency Training.

作者信息

Roy Shuvro, Fu Katherine, Ryan Timothy E, Bordelon Yvette, Flippen Charles C, Keener Adrienne M

机构信息

From the Department of Neurology (S.R.), Johns Hopkins University, Baltimore, MD; Department of Neurology (S.R., K.F., T.E.R., Y.B., C.C.F., A.M.K.), UCLA, Los Angeles, CA; and Department of Neurology (T.E.R.), Cedars Sinai Medical Center, Los Angeles, CA.

出版信息

Neurol Educ. 2022 Nov 18;1(2):e200017. doi: 10.1212/NE9.0000000000200017. eCollection 2022 Dec.

DOI:10.1212/NE9.0000000000200017
PMID:40809508
原文链接:https://pmc.ncbi.nlm.nih.gov/articles/PMC12339223/
Abstract

BACKGROUND AND OBJECTIVES

There is a need for earlier outpatient exposure in neurology training. In 2017, 56% of residents on the American Academy of Neurology (AAN) Graduating Resident Survey reported that they felt that the fellowship process started too early, and 46% felt that they did not have adequate outpatient exposure before making a fellowship decision. In addition, the traditional front-loaded resident schedule may contribute to high rates of burnout due to greater work hours and heavier inpatient load, as was suggested in the findings of a 2016 AAN survey comparing burnout among residents and fellows.

METHODS

We created an X + Y model within the UCLA Neurology Residency Program in the 2020-2021 academic year with the goal of increasing outpatient exposure earlier in training. We used a preintervention/postintervention design assessing measures of resident satisfaction, outpatient clinic exposure, number of inpatient handoffs, resident work hours, and scores on the resident in-training examination (RITE). We hypothesized that outpatient clinic exposure would increase, handoffs would diminish, work hours would be reduced, measures of resident satisfaction with inpatient care, outpatient care, and well-being would improve, and that RITE scores would improve. Work hours, handoffs, and number of clinic days were compared across each year via analysis of the resident schedule. Resident perceptions were obtained via an online survey at the end of their PGY-2 year. RITE scores were compared across a variety of subspecialties.

RESULTS

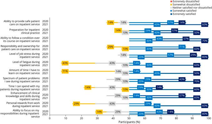
In the postintervention year, handoffs were reduced by 6.13 (95% CI 4.73-7.54) per week. Average clinic half-days increased by 4.51 (95% CI 7.76-0.53). Resident responses regarding their outpatient experience improved from 42% to 93% satisfied and from 60% to 94% satisfied for their inpatient experience. There was no difference in average work hours per week before and after the intervention. Regarding resident well-being, responses improved from 42% satisfied in the traditional model to 96% in the X + Y model. Among the RITE subjects covering primarily outpatient subspecialties, scores improved in each category.

DISCUSSION

After implementation of an X + Y model, we observed an improvement in outpatient exposure, learning and career satisfaction, and resident education on subspecialty topics.

摘要

背景与目的

神经病学培训需要更早地让住院医师接触门诊工作。2017年,美国神经病学学会(AAN)毕业住院医师调查中,56%的住院医师表示他们觉得专科培训过程开始得太早,46%的人觉得在做出专科培训决定之前,他们没有足够的门诊工作经历。此外,2016年AAN一项比较住院医师和专科医师职业倦怠情况的调查结果显示,传统的前期负荷较重的住院医师日程安排,可能因工作时间更长、住院患者负担更重,导致职业倦怠率较高。

方法

在2020 - 2021学年,我们在加州大学洛杉矶分校神经病学住院医师培训项目中创建了一个X + Y模式,目标是在培训早期增加门诊工作经历。我们采用干预前/干预后设计,评估住院医师满意度、门诊接触情况、住院患者交接次数、住院医师工作时间以及住院医师培训考试(RITE)成绩等指标。我们假设门诊接触机会将增加,交接次数将减少,工作时间将缩短,住院医师对住院治疗、门诊治疗和幸福感的满意度指标将得到改善,并假设RITE成绩将提高。通过分析住院医师日程安排,比较每年的工作时间、交接次数和门诊天数。住院医师的看法通过他们PGY - 2学年末的在线调查获得。比较了各个亚专科的RITE成绩。

结果

在干预后的年份,每周交接次数减少了6.13次(95%置信区间4.73 - 7.54)。平均门诊半天时间增加了4.51次(95%置信区间7.76 - 0.53)。住院医师对门诊体验的满意度从42%提高到93%,对住院体验的满意度从60%提高到94%。干预前后每周平均工作时间没有差异。关于住院医师的幸福感,满意度从传统模式下的42%提高到X + Y模式下的96%。在主要涵盖门诊亚专科的RITE科目中,每个类别成绩都有所提高。

讨论

实施X + Y模式后,我们观察到门诊接触机会、学习和职业满意度以及住院医师在亚专科主题教育方面都有所改善。

https://cdn.ncbi.nlm.nih.gov/pmc/blobs/ac2f/12339223/b3c764d6dd47/NXE-2022-000023f5.jpg
https://cdn.ncbi.nlm.nih.gov/pmc/blobs/ac2f/12339223/17e08ea9fb06/NXE-2022-000023f1.jpg
https://cdn.ncbi.nlm.nih.gov/pmc/blobs/ac2f/12339223/dab8501a2a55/NXE-2022-000023f2.jpg
https://cdn.ncbi.nlm.nih.gov/pmc/blobs/ac2f/12339223/eeb1f1db2848/NXE-2022-000023f3.jpg
https://cdn.ncbi.nlm.nih.gov/pmc/blobs/ac2f/12339223/7bd38702f109/NXE-2022-000023f4.jpg
https://cdn.ncbi.nlm.nih.gov/pmc/blobs/ac2f/12339223/b3c764d6dd47/NXE-2022-000023f5.jpg
https://cdn.ncbi.nlm.nih.gov/pmc/blobs/ac2f/12339223/17e08ea9fb06/NXE-2022-000023f1.jpg
https://cdn.ncbi.nlm.nih.gov/pmc/blobs/ac2f/12339223/dab8501a2a55/NXE-2022-000023f2.jpg
https://cdn.ncbi.nlm.nih.gov/pmc/blobs/ac2f/12339223/eeb1f1db2848/NXE-2022-000023f3.jpg
https://cdn.ncbi.nlm.nih.gov/pmc/blobs/ac2f/12339223/7bd38702f109/NXE-2022-000023f4.jpg
https://cdn.ncbi.nlm.nih.gov/pmc/blobs/ac2f/12339223/b3c764d6dd47/NXE-2022-000023f5.jpg

相似文献

1
Education Research: The Effect of an X + Y Schedule Model on Neurology Residency Training.教育研究:X + Y排班模式对神经科住院医师培训的影响
Neurol Educ. 2022 Nov 18;1(2):e200017. doi: 10.1212/NE9.0000000000200017. eCollection 2022 Dec.
2
Prescription of Controlled Substances: Benefits and Risks管制药品的处方:益处与风险
3
Sexual Harassment and Prevention Training性骚扰与预防培训
4
A rapid and systematic review of the clinical effectiveness and cost-effectiveness of paclitaxel, docetaxel, gemcitabine and vinorelbine in non-small-cell lung cancer.对紫杉醇、多西他赛、吉西他滨和长春瑞滨在非小细胞肺癌中的临床疗效和成本效益进行的快速系统评价。
Health Technol Assess. 2001;5(32):1-195. doi: 10.3310/hta5320.
5
Do Women and Minority Orthopaedic Residents Report Experiencing Worse Well-being and More Mistreatment Than Their Peers?女性和少数族裔骨科住院医师报告的幸福感是否比同龄人更差,遭受的不当对待是否更多?
Clin Orthop Relat Res. 2024 Aug 1;482(8):1325-1337. doi: 10.1097/CORR.0000000000003015. Epub 2024 Feb 27.
6
Falls prevention interventions for community-dwelling older adults: systematic review and meta-analysis of benefits, harms, and patient values and preferences.社区居住的老年人跌倒预防干预措施:系统评价和荟萃分析的益处、危害以及患者的价值观和偏好。
Syst Rev. 2024 Nov 26;13(1):289. doi: 10.1186/s13643-024-02681-3.
7
The Black Book of Psychotropic Dosing and Monitoring.《精神药物剂量与监测黑皮书》
Psychopharmacol Bull. 2024 Jul 8;54(3):8-59.
8
How Did Black and Hispanic Orthopaedic Applicants and Residents Compare to General Surgery Between 2015 and 2022?2015 年至 2022 年,黑人和西班牙裔骨科申请人和住院医师与普通外科相比如何?
Clin Orthop Relat Res. 2024 Aug 1;482(8):1361-1370. doi: 10.1097/CORR.0000000000003069. Epub 2024 Apr 4.
9
Resident perception of Obstetrics and Gynecology(OBGYN) residency pelvic anatomy curriculum: a national study.住院医师对妇产科住院医师培训盆腔解剖课程的认知:一项全国性研究。
BMC Med Educ. 2025 Jul 23;25(1):1100. doi: 10.1186/s12909-025-07485-0.
10
Is Program Director Gender Associated With Gender Diversity Among Orthopaedic Surgery Residency Programs?项目主任的性别是否与骨科住院医师培训项目中的性别多样性有关?
Clin Orthop Relat Res. 2024 Aug 1;482(8):1351-1357. doi: 10.1097/CORR.0000000000003070. Epub 2024 Apr 16.

本文引用的文献

1
The status of neurology fellowships in the United States: clinical needs, educational barriers, and future outlooks.美国神经病学研究员职位的现状:临床需求、教育障碍和未来展望。
BMC Med Educ. 2021 Feb 17;21(1):108. doi: 10.1186/s12909-021-02536-8.
2
Promoting Well-being Among Neurology Residents: A Data-Driven Approach.提升神经科住院医师的幸福感:一种数据驱动的方法。
Mayo Clin Proc Innov Qual Outcomes. 2020 Oct 6;4(5):469-474. doi: 10.1016/j.mayocpiqo.2020.06.008. eCollection 2020 Oct.
3
X + Y Scheduling in Pediatric Residency: Continuity, Handoffs, and Trainee Experience.
儿科住院医师排班:连续性、交接班和学员体验。
Acad Pediatr. 2019 Jul;19(5):489-494. doi: 10.1016/j.acap.2019.05.001. Epub 2019 May 9.
4
A National Survey of Internal Medicine Primary Care Residency Program Directors.内科初级保健住院医师培训项目主任的全国调查。
J Gen Intern Med. 2019 Jul;34(7):1207-1212. doi: 10.1007/s11606-019-04984-x. Epub 2019 Apr 8.
5
Neurology residency training in 2017: A survey of preparation, perspectives, and plans.2017 年神经病学住院医师培训:准备情况、观点和计划调查。
Neurology. 2019 Jan 8;92(2):76-83. doi: 10.1212/WNL.0000000000006739. Epub 2018 Dec 5.
6
2017 Program Director Survey: Feedback from your adult neurology residency leadership.2017 年项目主任调查:成人神经学住院医师领导的反馈。
Neurology. 2018 Oct 9;91(15):e1448-e1454. doi: 10.1212/WNL.0000000000006315. Epub 2018 Sep 7.
7
Factors Affecting Resident Satisfaction in Continuity Clinic-a Systematic Review.影响连续性临床住院医师满意度的因素——系统评价。
J Gen Intern Med. 2018 Aug;33(8):1386-1393. doi: 10.1007/s11606-018-4469-8. Epub 2018 May 7.
8
Burnout, career satisfaction, and well-being among US neurology residents and fellows in 2016.2016 年美国神经科住院医师和研究员的职业倦怠、职业满意度和幸福感。
Neurology. 2017 Aug 1;89(5):492-501. doi: 10.1212/WNL.0000000000004135. Epub 2017 Jun 30.
9
Well-Being in Graduate Medical Education: A Call for Action.研究生医学教育中的幸福感:行动呼吁。
Acad Med. 2017 Jul;92(7):914-917. doi: 10.1097/ACM.0000000000001735.
10
Promotion of Wellness and Mental Health Awareness Among Physicians in Training: Perspective of a National, Multispecialty Panel of Residents and Fellows.提升住院医师的健康意识与心理健康认知:全国多专业住院医师和研究员小组的观点
J Grad Med Educ. 2015 Mar;7(1):143-7. doi: 10.4300/JGME-07-01-42.