Suppr超能文献

预测成人淋巴结瘘管型气管支气管结核患者肺不张的列线图的开发与验证

Development and validation of a nomogram to predict atelectasis in adult lymph node fistula tracheobronchial tuberculosis patients.

作者信息

Yin Quhua, Ou Guojian, Zhou Yi, Wen Xiaojian, Huang Heping, Ling Jie, Luo Li

机构信息

Department of Radiology, Hunan Chest Hospital, Changsha, China.

Endoscopy Center, Hunan Chest Hospital, Changsha, China.

出版信息

Front Med (Lausanne). 2025 Aug 7;12:1637007. doi: 10.3389/fmed.2025.1637007. eCollection 2025.

Abstract

BACKGROUND

Lymph node fistula tracheobronchial tuberculosis (TBTB) is a severe respiratory condition that can result in complications such as airway stenosis and atelectasis, posing significant clinical challenges, particularly in adults. Currently, no standardized assessment tools are available to predict the risk of atelectasis in these patients, highlighting the need to develop an effective predictive model to guide early clinical intervention and personalized treatment.

METHODS

A retrospective study was conducted involving 547 adult patients diagnosed with lymph node fistula TBTB at our hospital between January 2017 and December 2023. Diagnoses were confirmed by chest computed tomography, bronchoscopy, and combined etiological or pathological examinations. After applying the inclusion and exclusion criteria, 301 cases were included in the final analysis. Patients were randomly assigned to a development group ( = 211, 70%) and a validation group. Following univariate and multivariable logistic regression to identify significant predictors, we developed a nomogram. Model validation included assessment of discriminatory ability [receiver operator characteristic (ROC) analysis], calibration accuracy, and clinical utility (DCA).

RESULTS

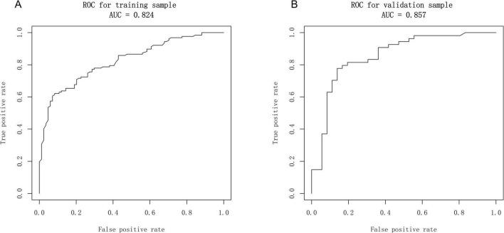
Among the 301 patients with lymph node fistula TBTB, the incidence of atelectasis was 60.13% (181/301). Of those, 72.93% (132/181) had right lung involvement, and 50.28% (91/181) specifically had atelectasis in the right middle lobe. Independent predictors identified by multivariable logistic regression included age, occupation as a farmer, mediastinal lymphadenopathy with ring enhancement, and right middle lobe bronchial involvement. A risk nomogram was developed using these predictors. The area under the curve (AUC) of the nomogram was 0.824 (95% CI: 0.685-0.806) in the development group and 0.857 (95% CI: 0.702-0.877) in the validation group. Calibration plots based on 500 bootstrap resamples showed good agreement between predicted and observed probabilities across both groups. DCA revealed that the model provided a net clinical benefit within threshold probability ranges of 0.2-0.9 for the development group and 0.15-0.85 for the validation group.

CONCLUSION

The predictive model and associated nomogram developed in this study can accurately estimate the risk of atelectasis in adult patients with lymph node fistula TBTB. This tool may assist clinicians in developing individualized intervention strategies.

摘要

背景

淋巴结瘘管型气管支气管结核(TBTB)是一种严重的呼吸系统疾病,可导致气道狭窄和肺不张等并发症,给临床带来重大挑战,尤其是在成人患者中。目前,尚无标准化的评估工具来预测这些患者发生肺不张的风险,这凸显了开发一种有效的预测模型以指导早期临床干预和个性化治疗的必要性。

方法

进行了一项回顾性研究,纳入了2017年1月至2023年12月期间在我院诊断为淋巴结瘘管型TBTB的547例成年患者。通过胸部计算机断层扫描、支气管镜检查以及病因或病理联合检查确诊。应用纳入和排除标准后,最终分析纳入301例病例。患者被随机分配到开发组(n = 211,70%)和验证组。在进行单变量和多变量逻辑回归以确定显著预测因素后,我们构建了一个列线图。模型验证包括评估区分能力[受试者操作特征(ROC)分析]、校准准确性和临床实用性(决策曲线分析)。

结果

在301例淋巴结瘘管型TBTB患者中,肺不张的发生率为60.13%(181/301)。其中,72.93%(132/181)累及右肺,50.28%(91/181) specifically累及右中叶。多变量逻辑回归确定的独立预测因素包括年龄、农民职业、环形强化的纵隔淋巴结肿大以及右中叶支气管受累。使用这些预测因素构建了风险列线图。列线图在开发组中的曲线下面积(AUC)为0.824(95%CI:0.685 - 0.806),在验证组中为0.857(95%CI:0.702 - 0.877)。基于500次自助重采样的校准图显示两组预测概率与观察概率之间具有良好的一致性。决策曲线分析表明,该模型在开发组的阈值概率范围为0.2 - 0.9,在验证组为0.15 - 0.85时提供了净临床益处。

结论

本研究中开发的预测模型和相关列线图能够准确估计成年淋巴结瘘管型TBTB患者发生肺不张的风险。该工具可能有助于临床医生制定个体化的干预策略。

https://cdn.ncbi.nlm.nih.gov/pmc/blobs/f4fb/12367512/52ad67e3eb60/fmed-12-1637007-g001.jpg

文献检索

告别复杂PubMed语法,用中文像聊天一样搜索,搜遍4000万医学文献。AI智能推荐,让科研检索更轻松。

立即免费搜索

文件翻译

保留排版,准确专业,支持PDF/Word/PPT等文件格式,支持 12+语言互译。

免费翻译文档

深度研究

AI帮你快速写综述,25分钟生成高质量综述,智能提取关键信息,辅助科研写作。

立即免费体验