Suppr超能文献

表皮生长因子受体突变(EGFRm)的晚期或转移性非小细胞肺癌(NSCLC)患者的人群特征、治疗模式及预后:一项来自波尔图 IPO 的回顾性队列研究

Characterization of the Population, Treatment Patterns, and Outcomes of Patients with Advanced or Metastatic Non-Small-Cell Lung Cancer (NSCLC) with Epidermal Growth Factor Receptor Mutation (EGFRm): A Retrospective Cohort Study from IPO Porto.

作者信息

Rodrigues Ana, Pina Marta, Calisto Rita, Leite-Silva Pedro, Medeiros Pedro, Silva Catarina, Silva Ana Sofia, Redondo Patrícia, Ramalho-Carvalho João, Santos Susana Ferreira, Bento Maria José

机构信息

Medical Oncology Department, Portuguese Oncology Institute of Porto, 4200-072 Porto, Portugal.

Outcomes Research Lab, Portuguese Oncology Institute of Porto, 4200-072 Porto, Portugal.

出版信息

Curr Oncol. 2025 Jul 24;32(8):414. doi: 10.3390/curroncol32080414.

Abstract

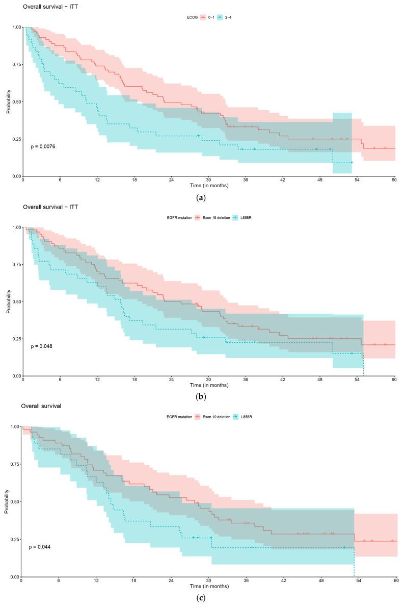
Most patients with non-small-cell lung cancer (NSCLC) present with advanced/metastatic disease at diagnosis, and molecular profiling is critical in guiding treatment decisions. This retrospective cohort study aimed to characterize EGFR mutations (EGFRm) in advanced/metastatic NSCLC patients, treatment patterns, and real-world outcomes. Adults diagnosed between 2018 and 2021 and treated at a Comprehensive Care Center were included. Time-to-event outcomes were analyzed using the Kaplan-Meier method. A total of 110 patients were included, with a median age of 69.0 years (range, 37-93), 76.4% female, and 83.2% non-smokers. About 97.3% had adenocarcinomas, with 93.6% at stage IV, 40.9% with ≥ three metastatic sites (brain metastases in 24.5%), 33.6% ECOG 2-4, and 58.2% with an EGFR exon-19 deletion. A minority started supportive care or curative-intent treatment, and 81.8% underwent first-line palliative systemic therapy (TKIs, 91.1%; chemotherapy, 8.9%). Median real-world overall survival (rwOS) was 18.9 months (95% CI, 13.8-28.1). Worse rwOS was observed in patients with ECOG 2-4 versus ECOG 0-1 (10.3 vs. 22.8 months; HR 1.82, 95% CI 1.17-2.85; = 0.008) and in patients with exon-21 L858R versus exon 19 deletions (15.8 vs. 24.2 months; HR 1.59, 95% CI 1.00-2.54; = 0.048). In patients treated with palliative systemic treatment, median progression-free survival was 10.9 months (95% CI, 8.8-13.6). This study provides important insights regarding real-world characteristics, treatment patterns, and outcomes from a cohort of EGFRm advanced/metastatic NSCLC patients.

摘要

大多数非小细胞肺癌(NSCLC)患者在诊断时已处于晚期/转移性疾病阶段,分子特征分析对于指导治疗决策至关重要。这项回顾性队列研究旨在描述晚期/转移性NSCLC患者的表皮生长因子受体(EGFR)突变(EGFRm)、治疗模式及实际治疗效果。纳入了2018年至2021年间在一家综合护理中心诊断并接受治疗的成年患者。采用Kaplan-Meier方法分析事件发生时间结局。共纳入110例患者,中位年龄69.0岁(范围37 - 93岁),女性占76.4%,非吸烟者占83.2%。约97.3%为腺癌,93.6%处于IV期,40.9%有≥3个转移部位(脑转移占24.5%),33.6%东部肿瘤协作组(ECOG)评分为2 - 4分,58.2%存在EGFR外显子19缺失。少数患者开始接受支持治疗或根治性治疗,81.8%接受一线姑息性全身治疗(酪氨酸激酶抑制剂[TKIs]占91.1%;化疗占8.9%)。实际总生存期(rwOS)的中位数为18.9个月(95%置信区间[CI],13.8 - 28.1)。ECOG评分为2 - 4分的患者与ECOG评分为0 - 1分的患者相比,rwOS更差(10.3个月对22.8个月;风险比[HR] 1.82,95% CI 1.17 - 2.85;P = 0.008),外显子21 L858R突变患者与外显子19缺失患者相比rwOS也更差(15.8个月对24.2个月;HR 1.59,95% CI 1.00 - 2.54;P = 0.048)。在接受姑息性全身治疗的患者中,无进展生存期的中位数为10.9个月(95% CI,8.8 - 13.6)。本研究为一组EGFRm晚期/转移性NSCLC患者的实际特征、治疗模式及治疗效果提供了重要见解。

https://cdn.ncbi.nlm.nih.gov/pmc/blobs/0293/12384510/629c42a160d5/curroncol-32-00414-g001.jpg

文献检索

告别复杂PubMed语法,用中文像聊天一样搜索,搜遍4000万医学文献。AI智能推荐,让科研检索更轻松。

立即免费搜索

文件翻译

保留排版,准确专业,支持PDF/Word/PPT等文件格式,支持 12+语言互译。

免费翻译文档

深度研究

AI帮你快速写综述,25分钟生成高质量综述,智能提取关键信息,辅助科研写作。

立即免费体验