• 文献检索
  • 文档翻译
  • 深度研究
  • 学术资讯
  • Suppr Zotero 插件Zotero 插件
  • 邀请有礼
  • 套餐&价格
  • 历史记录
应用&插件
Suppr Zotero 插件Zotero 插件浏览器插件Mac 客户端Windows 客户端微信小程序
定价
高级版会员购买积分包购买API积分包
服务
文献检索文档翻译深度研究API 文档MCP 服务
关于我们
关于 Suppr公司介绍联系我们用户协议隐私条款
关注我们

Suppr 超能文献

核心技术专利:CN118964589B侵权必究
粤ICP备2023148730 号-1Suppr @ 2026

文献检索

告别复杂PubMed语法,用中文像聊天一样搜索,搜遍4000万医学文献。AI智能推荐,让科研检索更轻松。

立即免费搜索

文件翻译

保留排版,准确专业,支持PDF/Word/PPT等文件格式,支持 12+语言互译。

免费翻译文档

深度研究

AI帮你快速写综述,25分钟生成高质量综述,智能提取关键信息,辅助科研写作。

立即免费体验

不同润湿条件下仿生纹理硅橡胶的微动行为

Fretting Behavior of Biomimetic-Textured Silicone Rubber Under Varying Wetting Conditions.

作者信息

Zhang Tengfei, Su Jie, Ke Liaoliang, Bai Sichun, Yu Guojun

机构信息

School of Mechanical Engineering, Tianjin University, Tianjin 300350, China.

National Key Laboratory of Vehicle Power System, Tianjin 300350, China.

出版信息

Materials (Basel). 2025 Aug 18;18(16):3861. doi: 10.3390/ma18163861.

DOI:10.3390/ma18163861
PMID:40870178
原文链接:https://pmc.ncbi.nlm.nih.gov/articles/PMC12387959/
Abstract

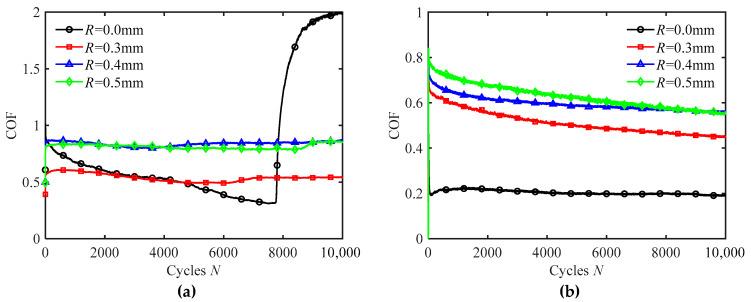
A textured surface can significantly enhance the tribological properties of a robotic soft gripper in wet environments. However, external disturbances such as wind, sound waves, water flow, and mechanical vibrations often lead to fretting contact on the soft gripper's surface. This article imitates the toe pad texture of tree frogs, renowned for their strong climbing abilities, to prepare silicone rubber films with hexagonal textures of different sizes and experimentally studies their fretting behavior under both deionized water and silicone oil wetting conditions. The effects of texture size, normal force, wetting condition, displacement amplitude, and frequency on the fretting behaviors of silicone rubber films are discussed in detail. The results indicate that textured surfaces significantly enhance the coefficient of friction (COF) of silicone rubber under wetting conditions with a small normal force and high frequency. Furthermore, the larger the texture size, the more noticeable the increase in COF.

摘要

有纹理的表面可以显著提高机器人软夹爪在潮湿环境中的摩擦学性能。然而,诸如风、声波、水流和机械振动等外部干扰常常导致软夹爪表面产生微动接触。本文模仿以强大攀爬能力著称的树蛙的趾垫纹理,制备了具有不同尺寸六边形纹理的硅橡胶薄膜,并通过实验研究了它们在去离子水和硅油润湿条件下的微动行为。详细讨论了纹理尺寸、法向力、润湿条件、位移幅值和频率对硅橡胶薄膜微动行为的影响。结果表明,在小法向力和高频的润湿条件下,有纹理的表面显著提高了硅橡胶的摩擦系数(COF)。此外,纹理尺寸越大,COF的增加就越明显。

https://cdn.ncbi.nlm.nih.gov/pmc/blobs/84f7/12387959/99b2550c420f/materials-18-03861-g012.jpg
https://cdn.ncbi.nlm.nih.gov/pmc/blobs/84f7/12387959/f54a694afa83/materials-18-03861-g001.jpg
https://cdn.ncbi.nlm.nih.gov/pmc/blobs/84f7/12387959/9bc2b8567528/materials-18-03861-g002.jpg
https://cdn.ncbi.nlm.nih.gov/pmc/blobs/84f7/12387959/53af17f58b4d/materials-18-03861-g003.jpg
https://cdn.ncbi.nlm.nih.gov/pmc/blobs/84f7/12387959/e6d7554c468f/materials-18-03861-g004.jpg
https://cdn.ncbi.nlm.nih.gov/pmc/blobs/84f7/12387959/8ed8c67505b2/materials-18-03861-g005.jpg
https://cdn.ncbi.nlm.nih.gov/pmc/blobs/84f7/12387959/9c2f855529e8/materials-18-03861-g006.jpg
https://cdn.ncbi.nlm.nih.gov/pmc/blobs/84f7/12387959/dc8e178fff40/materials-18-03861-g007.jpg
https://cdn.ncbi.nlm.nih.gov/pmc/blobs/84f7/12387959/f4c333c7b19b/materials-18-03861-g008.jpg
https://cdn.ncbi.nlm.nih.gov/pmc/blobs/84f7/12387959/e9ed69ee7069/materials-18-03861-g009.jpg
https://cdn.ncbi.nlm.nih.gov/pmc/blobs/84f7/12387959/401fc9f2febe/materials-18-03861-g010.jpg
https://cdn.ncbi.nlm.nih.gov/pmc/blobs/84f7/12387959/5f621c01f648/materials-18-03861-g011.jpg
https://cdn.ncbi.nlm.nih.gov/pmc/blobs/84f7/12387959/99b2550c420f/materials-18-03861-g012.jpg
https://cdn.ncbi.nlm.nih.gov/pmc/blobs/84f7/12387959/f54a694afa83/materials-18-03861-g001.jpg
https://cdn.ncbi.nlm.nih.gov/pmc/blobs/84f7/12387959/9bc2b8567528/materials-18-03861-g002.jpg
https://cdn.ncbi.nlm.nih.gov/pmc/blobs/84f7/12387959/53af17f58b4d/materials-18-03861-g003.jpg
https://cdn.ncbi.nlm.nih.gov/pmc/blobs/84f7/12387959/e6d7554c468f/materials-18-03861-g004.jpg
https://cdn.ncbi.nlm.nih.gov/pmc/blobs/84f7/12387959/8ed8c67505b2/materials-18-03861-g005.jpg
https://cdn.ncbi.nlm.nih.gov/pmc/blobs/84f7/12387959/9c2f855529e8/materials-18-03861-g006.jpg
https://cdn.ncbi.nlm.nih.gov/pmc/blobs/84f7/12387959/dc8e178fff40/materials-18-03861-g007.jpg
https://cdn.ncbi.nlm.nih.gov/pmc/blobs/84f7/12387959/f4c333c7b19b/materials-18-03861-g008.jpg
https://cdn.ncbi.nlm.nih.gov/pmc/blobs/84f7/12387959/e9ed69ee7069/materials-18-03861-g009.jpg
https://cdn.ncbi.nlm.nih.gov/pmc/blobs/84f7/12387959/401fc9f2febe/materials-18-03861-g010.jpg
https://cdn.ncbi.nlm.nih.gov/pmc/blobs/84f7/12387959/5f621c01f648/materials-18-03861-g011.jpg
https://cdn.ncbi.nlm.nih.gov/pmc/blobs/84f7/12387959/99b2550c420f/materials-18-03861-g012.jpg

相似文献

1
Fretting Behavior of Biomimetic-Textured Silicone Rubber Under Varying Wetting Conditions.不同润湿条件下仿生纹理硅橡胶的微动行为
Materials (Basel). 2025 Aug 18;18(16):3861. doi: 10.3390/ma18163861.
2
Prescription of Controlled Substances: Benefits and Risks管制药品的处方:益处与风险
3
Elbow Fractures Overview肘部骨折概述
4
Fretting Wear Behaviors of Silicone Rubber under Dry Friction and Different Lubrication Conditions.硅橡胶在干摩擦及不同润滑条件下的微动磨损行为
Materials (Basel). 2024 May 28;17(11):2598. doi: 10.3390/ma17112598.
5
Atomistic Insights into Interfacial Optimization Mechanism for Achieving Ultralow-Friction Amorphous Carbon Films under Solid-Liquid Composite Conditions.固体-液体复合条件下实现超低摩擦非晶碳膜界面优化机制的原子尺度洞察
ACS Appl Mater Interfaces. 2023 Nov 3. doi: 10.1021/acsami.3c12838.
6
Sexual Harassment and Prevention Training性骚扰与预防培训
7
Different types of implants for reconstructive breast surgery.用于乳房重建手术的不同类型植入物。
Cochrane Database Syst Rev. 2016 May 16;2016(5):CD010895. doi: 10.1002/14651858.CD010895.pub2.
8
Wetting and spreading characteristics of oil droplet impact on textured surfaces.
Nanoscale. 2025 Jul 16;17(28):16713-16724. doi: 10.1039/d5nr00673b.
9
SURFACE TEXTURING TO IMPROVE HYDROPHOBICITY AND MOISTURE RESISTANCE OF POLYMERS.表面纹理化以提高聚合物的疏水性和防潮性。
Polym Eng Sci. 2025 Jul 4. doi: 10.1002/pen.70040.
10
AcousTac: Tactile Sensing with Acoustic Resonance for Electronics-Free Soft Skin.声学触觉:用于无电子元件软皮肤的声学共振触觉传感
Soft Robot. 2025 Feb;12(1):109-123. doi: 10.1089/soro.2023.0082. Epub 2024 Aug 2.

本文引用的文献

1
Fretting Wear Behaviors of Silicone Rubber under Dry Friction and Different Lubrication Conditions.硅橡胶在干摩擦及不同润滑条件下的微动磨损行为
Materials (Basel). 2024 May 28;17(11):2598. doi: 10.3390/ma17112598.
2
Experimental Studies on Fretting Wear Behavior of PVDF Piezoelectric Thin Films.聚偏氟乙烯压电薄膜微动磨损行为的实验研究
Materials (Basel). 2021 Feb 4;14(4):734. doi: 10.3390/ma14040734.
3
Physical mechanisms behind the wet adhesion: From amphibian toe-pad to biomimetics.湿附背后的物理机制:从蛙趾垫到仿生学。
Colloids Surf B Biointerfaces. 2021 Mar;199:111531. doi: 10.1016/j.colsurfb.2020.111531. Epub 2020 Dec 13.
4
Micro-Nano Hierarchical Structure Enhanced Strong Wet Friction Surface Inspired by Tree Frogs.受树蛙启发的微纳分级结构增强强湿摩擦表面
Adv Sci (Weinh). 2020 Aug 9;7(20):2001125. doi: 10.1002/advs.202001125. eCollection 2020 Oct.
5
Bioinspired, peg-studded hexagonal patterns for wetting and friction.受生物启发的、带有钉状聚乙二醇的六边形图案用于湿润和摩擦。
Biointerphases. 2015 Sep 4;10(3):031008. doi: 10.1116/1.4930176.
6
Bioinspired Surface for Surgical Graspers Based on the Strong Wet Friction of Tree Frog Toe Pads.基于树蛙趾垫强湿摩擦力的手术抓钳仿生表面
ACS Appl Mater Interfaces. 2015 Jul 1;7(25):13987-95. doi: 10.1021/acsami.5b03039. Epub 2015 Jun 18.
7
Smoothing and differentiation of data by simplified least square procedure.用简化最小二乘法对数据进行平滑和求导。
Anal Chem. 1972 Sep 1;44(11):1906-9. doi: 10.1021/ac60319a045.
8
Mechanisms of adhesion in geckos.壁虎的粘附机制。
Integr Comp Biol. 2002 Dec;42(6):1081-90. doi: 10.1093/icb/42.6.1081.
9
Wet but not slippery: Boundary friction in tree frog adhesive toe pads.湿而不滑:树蛙粘性趾垫中的边界摩擦
J R Soc Interface. 2006 Oct 22;3(10):689-97. doi: 10.1098/rsif.2006.0135.