Suppr超能文献

研究黄斑组织完整性指数作为地图状萎缩的一种新型生物标志物。

Investigating Macular Tissue Integrity Index as a Novel Biomarker in Geographic Atrophy.

作者信息

Erb Bethany M, Botros Elaine, Saunders Thomas F, Haas Anna-Maria, Voland Rick, Linderman Rachel, Domalpally Amitha, Csaky Karl G

机构信息

Wisconsin Reading Center, Department of Ophthalmology and Visual Sciences, University of Wisconsin-Madison, Madison, Wisconsin.

Karl Landsteiner Institute for Retinal Research and Imaging, Vienna, Austria.

出版信息

Ophthalmol Sci. 2025 Jun 30;5(6):100871. doi: 10.1016/j.xops.2025.100871. eCollection 2025 Nov-Dec.

Abstract

PURPOSE

The rate of geographic atrophy (GA) enlargement is commonly used as an outcome in clinical trials. However, this metric typically lacks specificity for central macular involvement and structure-function relationships. We propose a targeted approach in monitoring GA progression within the central macula, highlighting the limited benefit of including GA expansion beyond the 3-mm perifoveal zone when analyzing visual function. This study evaluates how retinal tissue and photoreceptor integrity within the central 1-mm and 3-mm circles centered on the fovea correlate with visual function.

DESIGN

Retrospective, longitudinal analysis of a GA clinical trial cohort.

SUBJECTS

Forty-three eyes from 43 participants enrolled in GA clinical trials.

METHODS

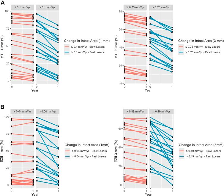
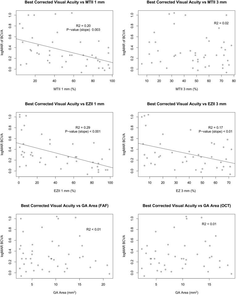
Baseline and 1-year fundus autofluorescence (FAF) and OCT scans were analyzed. The percentages of non-GA areas within the 1-mm and 3-mm circles centered on the fovea were quantified to calculate the Macular Tissue Integrity Index (MTII) using FAF images. The percentages of intact ellipsoid zones within the same circles were used to define the EZ Integrity Index (EZII). Longitudinal changes in MTII and EZII were compared to overall GA area growth and change in visual acuity (VA).

MAIN OUTCOME MEASURES

Correlations between MTII, EZII, GA area, and VA (best-corrected VA [BCVA] and low-luminance VA [LLVA]) were assessed.

RESULTS

Macular Tissue Integrity Index and EZII within the central 1 mm correlated significantly with BCVA (R = 0.20, P = 0.003 and R = 0.29, P < 0.001, respectively), while EZII in the 3-mm zone correlated with both BCVA and LLVA (R = 0.17, P < 0.01 for both). Changes in MTII or EZII over time were not associated with GA area growth or with baseline integrity indices.

CONCLUSIONS

Macular Tissue Integrity Index and EZII are novel biomarkers for macular photoreceptor integrity, with distinct correlations to BCVA and LLVA depending on the measurement zone. These findings support the utility of MTII and EZII in assessing macular integrity and highlight the heterogeneity of GA progression, warranting further validation in larger studies.

摘要

目的

地理性萎缩(GA)扩大率常用于临床试验的结果评估。然而,该指标通常缺乏对黄斑中心区受累情况及结构-功能关系的特异性。我们提出一种针对性方法来监测黄斑中心区内GA的进展,强调在分析视觉功能时纳入GA超出黄斑中心凹周围3毫米区域扩展情况的益处有限。本研究评估以黄斑中心凹为中心的1毫米和3毫米范围内视网膜组织和光感受器完整性与视觉功能之间的相关性。

设计

对GA临床试验队列进行回顾性纵向分析。

研究对象

43名参与GA临床试验的受试者的43只眼睛。

方法

分析基线和1年时的眼底自发荧光(FAF)和光学相干断层扫描(OCT)图像。利用FAF图像对以黄斑中心凹为中心的1毫米和3毫米范围内非GA区域的百分比进行量化,以计算黄斑组织完整性指数(MTII)。用相同范围内完整椭圆体带的百分比来定义EZ完整性指数(EZII)。比较MTII和EZII的纵向变化与GA总面积增长及视力(VA)变化情况。

主要观察指标

评估MTII、EZII、GA面积和VA(最佳矫正视力[BCVA]和低亮度视力[LLVA])之间的相关性。

结果

中心1毫米范围内的黄斑组织完整性指数和EZII与BCVA显著相关(R分别为0.20,P = 0.003和R = 0.29,P < 0.001),而3毫米区域内的EZII与BCVA和LLVA均相关(两者R均为0.17,P < 0.01)。MTII或EZII随时间的变化与GA面积增长或基线完整性指数无关。

结论

黄斑组织完整性指数和EZII是黄斑光感受器完整性的新型生物标志物,根据测量区域不同,与BCVA和LLVA有不同的相关性。这些发现支持MTII和EZII在评估黄斑完整性方面的实用性,并突出了GA进展的异质性,需要在更大规模研究中进一步验证。

https://cdn.ncbi.nlm.nih.gov/pmc/blobs/daa4/12396552/f898cf4a6aa0/gr1.jpg

文献检索

告别复杂PubMed语法,用中文像聊天一样搜索,搜遍4000万医学文献。AI智能推荐,让科研检索更轻松。

立即免费搜索

文件翻译

保留排版,准确专业,支持PDF/Word/PPT等文件格式,支持 12+语言互译。

免费翻译文档

深度研究

AI帮你快速写综述,25分钟生成高质量综述,智能提取关键信息,辅助科研写作。

立即免费体验