• 文献检索
  • 文档翻译
  • 深度研究
  • 学术资讯
  • Suppr Zotero 插件Zotero 插件
  • 邀请有礼
  • 套餐&价格
  • 历史记录
应用&插件
Suppr Zotero 插件Zotero 插件浏览器插件Mac 客户端Windows 客户端微信小程序
定价
高级版会员购买积分包购买API积分包
服务
文献检索文档翻译深度研究API 文档MCP 服务
关于我们
关于 Suppr公司介绍联系我们用户协议隐私条款
关注我们

Suppr 超能文献

核心技术专利:CN118964589B侵权必究
粤ICP备2023148730 号-1Suppr @ 2026

文献检索

告别复杂PubMed语法,用中文像聊天一样搜索,搜遍4000万医学文献。AI智能推荐,让科研检索更轻松。

立即免费搜索

文件翻译

保留排版,准确专业,支持PDF/Word/PPT等文件格式,支持 12+语言互译。

免费翻译文档

深度研究

AI帮你快速写综述,25分钟生成高质量综述,智能提取关键信息,辅助科研写作。

立即免费体验

生物人工瓣膜置换用于同时存在的主动脉和二尖瓣位置。

Bioprosthetic valve replacement for concomitant aortic and mitral positions.

作者信息

Kim Hong Rae, Oh Ha Eun, Kim Ho Jin, Kim Seon-Ok, Kim Ye-Jee, Ahn Jung-Min, Kim Joon Bum, Kim Dae-Hee

机构信息

Department of Thoracic and Cardiovascular Surgery, Asan Medical Center, University of Ulsan College of Medicine, Seoul, Republic of Korea.

Division of Cardiology, Asan Medical Center, University of Ulsan College of Medicine, Seoul, Republic of Korea.

出版信息

JTCVS Open. 2025 Apr 23;26:61-74. doi: 10.1016/j.xjon.2025.04.013. eCollection 2025 Aug.

DOI:10.1016/j.xjon.2025.04.013
PMID:40923086
原文链接:https://pmc.ncbi.nlm.nih.gov/articles/PMC12414417/
Abstract

OBJECTIVE

To compare the clinical outcomes of double-valve replacement (DVR) using bovine pericardial and porcine bioprostheses, using a nationwide administrative claims database.

METHODS

Adult patients (age ≥40 years) who underwent bioprosthetic DVR between 2003 and 2018 were identified from the Korean National Health Insurance Service database. The outcomes of interest were all-cause mortality, cardiac mortality, and valve-related events, including the incidences of reoperation, endocarditis, systemic thromboembolism, and major bleeding. Baseline adjustment was performed using propensity score matching. Time-related outcomes were evaluated using a competing risk analysis, with death considered a competing risk.

RESULTS

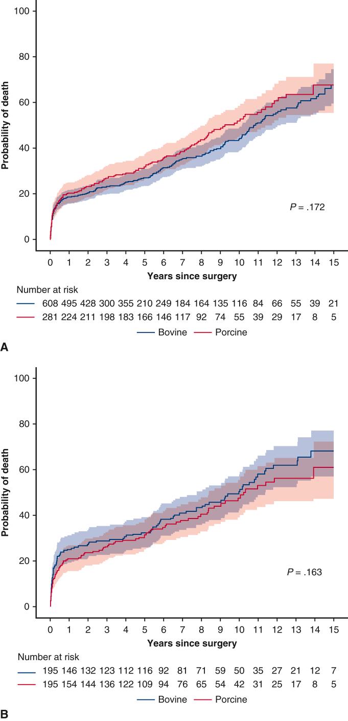
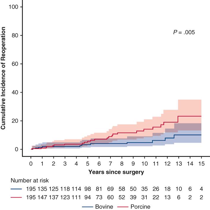
Among the 889 patients who met the inclusion criteria, 608 (68.3%) received a bovine pericardial valve and the other 281 (31.6%) received a porcine valve. After matching 195 pairs of patients, there were no significant differences in cardiovascular mortality, all-cause mortality, thromboembolism, or major bleeding between the bovine and porcine groups; however, patients with porcine valves had a higher risk of reoperation (adjusted hazard ratio, 2.08; 95% confidence interval, 1.10-3.94) in competing risk analyses. An adjusted subgroup analysis showed that patients without diabetes and a lower Charlson Comorbidity Index who received a porcine valve had a higher risk of reoperation.

CONCLUSIONS

This nationwide cohort study on DVR revealed that the choice of bioprosthetic valve type was not associated with the risk of cardiovascular mortality. However, the use of porcine prostheses was significantly associated with a higher risk of reoperation.

摘要

目的

利用全国行政索赔数据库比较使用牛心包生物瓣膜和猪生物瓣膜进行双瓣膜置换术(DVR)的临床结果。

方法

从韩国国民健康保险服务数据库中识别出2003年至2018年间接受生物瓣膜DVR的成年患者(年龄≥40岁)。关注的结果包括全因死亡率、心脏死亡率和瓣膜相关事件,包括再次手术、心内膜炎、系统性血栓栓塞和大出血的发生率。使用倾向评分匹配进行基线调整。使用竞争风险分析评估与时间相关的结果,将死亡视为竞争风险。

结果

在符合纳入标准的889例患者中,608例(68.3%)接受了牛心包瓣膜,其余281例(31.6%)接受了猪瓣膜。在匹配195对患者后,牛心包瓣膜组和猪瓣膜组在心血管死亡率、全因死亡率、血栓栓塞或大出血方面无显著差异;然而,在竞争风险分析中,接受猪瓣膜的患者再次手术风险更高(调整后的风险比为2.08;95%置信区间为1.10 - 3.94)。调整后的亚组分析显示,未患糖尿病且Charlson合并症指数较低的患者接受猪瓣膜后再次手术风险更高。

结论

这项关于DVR的全国队列研究表明,生物瓣膜类型的选择与心血管死亡风险无关。然而,使用猪生物瓣膜与再次手术风险显著升高相关。

https://cdn.ncbi.nlm.nih.gov/pmc/blobs/fa33/12414417/61da2af9454e/gr3.jpg
https://cdn.ncbi.nlm.nih.gov/pmc/blobs/fa33/12414417/7b1d118e0941/fx1.jpg
https://cdn.ncbi.nlm.nih.gov/pmc/blobs/fa33/12414417/00231595c873/gr1.jpg
https://cdn.ncbi.nlm.nih.gov/pmc/blobs/fa33/12414417/dc9b86049d18/gr2.jpg
https://cdn.ncbi.nlm.nih.gov/pmc/blobs/fa33/12414417/61da2af9454e/gr3.jpg
https://cdn.ncbi.nlm.nih.gov/pmc/blobs/fa33/12414417/7b1d118e0941/fx1.jpg
https://cdn.ncbi.nlm.nih.gov/pmc/blobs/fa33/12414417/00231595c873/gr1.jpg
https://cdn.ncbi.nlm.nih.gov/pmc/blobs/fa33/12414417/dc9b86049d18/gr2.jpg
https://cdn.ncbi.nlm.nih.gov/pmc/blobs/fa33/12414417/61da2af9454e/gr3.jpg

相似文献

1
Bioprosthetic valve replacement for concomitant aortic and mitral positions.生物人工瓣膜置换用于同时存在的主动脉和二尖瓣位置。
JTCVS Open. 2025 Apr 23;26:61-74. doi: 10.1016/j.xjon.2025.04.013. eCollection 2025 Aug.
2
Long-term outcomes of mitral valve replacement in dialysis patients: evidence from a nationwide database.透析患者二尖瓣置换术的长期结果:来自全国数据库的证据。
Int J Surg. 2023 Dec 1;109(12):3778-3787. doi: 10.1097/JS9.0000000000000684.
3
Bovine pericardial versus porcine bioprosthetic aortic valves: A nationwide population-based cohort study in Korea.牛心包与猪生物瓣主动脉瓣置换:韩国全国人群队列研究。
J Thorac Cardiovasc Surg. 2024 Nov;168(5):1438-1447.e4. doi: 10.1016/j.jtcvs.2023.10.060. Epub 2023 Nov 4.
4
The choice of surgical aortic valve replacement type and mid-term outcomes in 50 to 65-year-olds: results of the AUTHEARTVISIT study.50至65岁人群手术主动脉瓣置换类型的选择及中期结果:AUTHEARTVISIT研究结果
Eur J Cardiothorac Surg. 2025 Jul 1;67(7). doi: 10.1093/ejcts/ezaf200.
5
Age-Based Outcomes After Surgical Aortic Valve Replacement With Bioprosthetic Versus Mechanical Valves.基于生物瓣与机械瓣的主动脉瓣置换术后年龄相关的结局。
Am J Cardiol. 2024 Sep 1;226:72-79. doi: 10.1016/j.amjcard.2024.07.004. Epub 2024 Jul 10.
6
Endovascular repair of abdominal aortic aneurysm.腹主动脉瘤的血管内修复术。
Cochrane Database Syst Rev. 2014 Jan 23;2014(1):CD004178. doi: 10.1002/14651858.CD004178.pub2.
7
Limited versus full sternotomy for aortic valve replacement.主动脉瓣置换术的有限胸骨切开术与全胸骨切开术对比
Cochrane Database Syst Rev. 2017 Apr 10;4(4):CD011793. doi: 10.1002/14651858.CD011793.pub2.
8
Bovine pericardial versus porcine bioprosthetic mitral valves: results from a Korean Nationwide Cohort Study.牛心包与猪生物二尖瓣瓣膜:来自韩国全国队列研究的结果。
Eur J Cardiothorac Surg. 2023 Jun 1;63(6). doi: 10.1093/ejcts/ezad165.
9
Comparative evaluation of biological and mechanical prostheses for aortic valve replacement in a middle-aged population: a population-based cohort study.中年人群主动脉瓣置换生物瓣膜与机械瓣膜的比较评估:一项基于人群的队列研究。
Heart. 2025 Jul 16. doi: 10.1136/heartjnl-2024-325648.
10
Comparison of Two Modern Survival Prediction Tools, SORG-MLA and METSSS, in Patients With Symptomatic Long-bone Metastases Who Underwent Local Treatment With Surgery Followed by Radiotherapy and With Radiotherapy Alone.两种现代生存预测工具 SORG-MLA 和 METSSS 在接受手术联合放疗和单纯放疗治疗有症状长骨转移患者中的比较。
Clin Orthop Relat Res. 2024 Dec 1;482(12):2193-2208. doi: 10.1097/CORR.0000000000003185. Epub 2024 Jul 23.

本文引用的文献

1
Bovine pericardial versus porcine bioprosthetic aortic valves: A nationwide population-based cohort study in Korea.牛心包与猪生物瓣主动脉瓣置换:韩国全国人群队列研究。
J Thorac Cardiovasc Surg. 2024 Nov;168(5):1438-1447.e4. doi: 10.1016/j.jtcvs.2023.10.060. Epub 2023 Nov 4.
2
Commentary on bovine pericardial versus porcine bioprosthetic mitral valves: results from a Korean Nationwide Cohort Study.牛心包生物瓣膜与猪生物瓣膜二尖瓣的评论:韩国全国队列研究结果
Eur J Cardiothorac Surg. 2023 Jun 1;63(6). doi: 10.1093/ejcts/ezad210.
3
Bovine pericardial versus porcine bioprosthetic mitral valves: results from a Korean Nationwide Cohort Study.
牛心包与猪生物二尖瓣瓣膜:来自韩国全国队列研究的结果。
Eur J Cardiothorac Surg. 2023 Jun 1;63(6). doi: 10.1093/ejcts/ezad165.
4
Long-term results of a stented bioprosthetic valve in the aortic position: structural valve deterioration and valve haemodynamic deterioration of bovine pericardial and porcine valves.主动脉位带支架生物瓣膜的长期结果:牛心包瓣和猪瓣膜的结构性瓣膜退变及瓣膜血流动力学恶化
Eur J Cardiothorac Surg. 2023 Feb 3;63(2). doi: 10.1093/ejcts/ezac506.
5
2021 ESC/EACTS Guidelines for the management of valvular heart disease.2021年欧洲心脏病学会/欧洲心胸外科学会瓣膜性心脏病管理指南。
Eur Heart J. 2022 Feb 12;43(7):561-632. doi: 10.1093/eurheartj/ehab395.
6
2020 ACC/AHA Guideline for the Management of Patients With Valvular Heart Disease: Executive Summary: A Report of the American College of Cardiology/American Heart Association Joint Committee on Clinical Practice Guidelines.2020 ACC/AHA 瓣膜性心脏病患者管理指南:执行摘要:美国心脏病学会/美国心脏协会联合临床实践指南委员会的报告。
Circulation. 2021 Feb 2;143(5):e35-e71. doi: 10.1161/CIR.0000000000000932. Epub 2020 Dec 17.
7
Porcine vs Bovine Bioprosthetic Aortic Valves: Long-Term Clinical Results.猪与牛生物瓣主动脉瓣膜:长期临床结果。
Ann Thorac Surg. 2021 Feb;111(2):529-535. doi: 10.1016/j.athoracsur.2020.05.126. Epub 2020 Jul 18.
8
Multiple and Mixed Valvular Heart Diseases.多种及混合性心脏瓣膜病
Circ Cardiovasc Imaging. 2018 Aug;11(8):e007862. doi: 10.1161/CIRCIMAGING.118.007862.
9
Data Resource Profile: The National Health Information Database of the National Health Insurance Service in South Korea.数据资源简介:韩国国民健康保险服务的国家健康信息数据库
Int J Epidemiol. 2017 Jun 1;46(3):799-800. doi: 10.1093/ije/dyw253.
10
A comparison of outcomes between bovine pericardial and porcine valves in 38,040 patients in England and Wales over 10 years.对英格兰和威尔士38040名患者在10年间使用牛心包瓣膜和猪瓣膜的结果进行比较。
Eur J Cardiothorac Surg. 2015 Jun;47(6):1067-74. doi: 10.1093/ejcts/ezu307. Epub 2014 Sep 4.