Fu Jingfeng, Yang Minmin, Zheng Qingteng
School of Pharmacy and Medical Technology, Putian University, Putian, China.
Key Laboratory of Pharmaceutical Analysis and Laboratory Medicine, Putian University, Putian, China.
Brain Behav. 2025 Sep;15(9):e70861. doi: 10.1002/brb3.70861.
Recent research has started to uncover an important connection between immune system activity and cognitive abilities. Although correlative associations have been documented, the causal mechanisms connecting specific immune cell subpopulations to cognitive capabilities remain insufficiently characterized. Our research aimed to determine directional relationships between distinct immune cell subtypes and cognitive function, potentially identifying targets for immunomodulatory interventions.
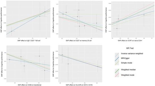
We performed a two-sample Mendelian randomization (MR) analysis using genome-wide association study data from 3757 Sardinian individuals, paired with detailed immunophenotyping. We also incorporated cognitive performance summary statistics from the cohort described by Lee et al. (n = 257,841). Our analytical strategy utilized various MR techniques, with inverse variance weighted analysis serving as the primary method. To confirm result reliability, we conducted sensitivity analyses, including weighted median estimation, mode-based approaches, MR-Egger regression for evaluating pleiotropic effects, MR-PRESSO for outlier identification, and Cochran's Q-statistic to examine heterogeneity. Additionally, to explore possible reverse causation mechanisms, we conducted bidirectional MR analyses.
Post false discovery rate (FDR) correction (P < 0.05), we identified two immune cell phenotypes significantly linked to cognitive performance. IgD CD27 B cells %lymphocyte showed a positive correlation with cognitive outcomes (β = 0.04, 95% confidence interval [CI]: 0.02-0.06, P = 3.02 × 10^), whereas unswitched memory B cells %lymphocyte demonstrated negative association (β = -0.06, 95% CI: -0.09 to -0.03, P = 3.02 × 10^). When applying stricter statistical thresholds (p < 0.005), five distinct immune subpopulations demonstrated significant relationships: among B-lymphocytes (IgD CD27 B cells, CD27 memory B cells, and CD38 transitional B cells), T-lymphocytes (CCR7 naive CD4 T cells), and mononuclear phagocytes (HLA-DR CD14 CD16 cells). These findings reveal distinct immunophenotypic signatures potentially influencing cognitive function through various cellular pathways. Importantly, bidirectional MR analyses revealed no significant causal effects of cognitive performance on these immunophenotypic signatures, strengthening the directionality of our primary findings.
These findings suggest that seven distinct immune cell phenotypes may play a causal role in cognitive functioning. The absence of reverse causality further supports that these immunophenotypes likely influence cognitive outcomes rather than being consequences of cognitive function. The identified causal associations indicate potential immune pathways that could be relevant for modulating cognitive function. These immune signatures may serve as key regulators in cognitive performance-associated inflammatory pathways.
最近的研究已开始揭示免疫系统活动与认知能力之间的重要联系。尽管已记录了相关关联,但将特定免疫细胞亚群与认知能力联系起来的因果机制仍未得到充分表征。我们的研究旨在确定不同免疫细胞亚型与认知功能之间的方向性关联,从而有可能确定免疫调节干预的靶点。
我们使用来自3757名撒丁岛个体的全基因组关联研究数据,并结合详细的免疫表型分析,进行了两样本孟德尔随机化(MR)分析。我们还纳入了Lee等人描述的队列(n = 257,841)的认知表现汇总统计数据。我们的分析策略采用了各种MR技术,以逆方差加权分析作为主要方法。为了确认结果的可靠性,我们进行了敏感性分析,包括加权中位数估计、基于模式的方法、用于评估多效性效应的MR-Egger回归、用于异常值识别的MR-PRESSO以及用于检验异质性的Cochran Q统计量。此外,为了探索可能的反向因果机制,我们进行了双向MR分析。
在进行错误发现率(FDR)校正后(P < 0.05),我们确定了两种与认知表现显著相关的免疫细胞表型。IgD CD27 B细胞占淋巴细胞的百分比与认知结果呈正相关(β = 0.04,95%置信区间[CI]:0.02 - 0.06,P = 3.02×10^),而未转换记忆B细胞占淋巴细胞的百分比呈负相关(β = -0.06,95% CI:-0.09至-0.03,P = 3.02×10^)。当应用更严格的统计阈值(p < 0.005)时,五个不同的免疫亚群显示出显著关系:在B淋巴细胞(IgD CD27 B细胞、CD27记忆B细胞和CD38过渡B细胞)、T淋巴细胞(CCR7幼稚CD4 T细胞)和单核吞噬细胞(HLA-DR CD14 CD16细胞)中。这些发现揭示了可能通过各种细胞途径影响认知功能的独特免疫表型特征。重要的是,双向MR分析显示认知表现对这些免疫表型特征没有显著的因果效应,从而加强了我们主要发现的方向性。
这些发现表明,七种不同的免疫细胞表型可能在认知功能中起因果作用。不存在反向因果关系进一步支持了这些免疫表型可能影响认知结果而不是认知功能的后果。所确定的因果关联表明了可能与调节认知功能相关的潜在免疫途径。这些免疫特征可能是与认知表现相关的炎症途径中的关键调节因子。