Suppr超能文献

基于肝脏和脾脏硬度的无创模型用于预测肝硬化患者的临床失代偿。

Noninvasive model based on liver and spleen stiffness for predicting clinical decompensation in patients with cirrhosis.

作者信息

Yang Long-Bao, Gao Xin, Xu Meng, Li Yong, Dong Lei, Huang Xin-Di, She Xiao, Zhang Dan-Yang, Zhang Qian-Wen, Liu Chen-Yu, Fan Shu-Ting, Wang Yan

机构信息

Department of Gastroenterology, The Second Affiliated Hospital of Xi'an Jiaotong University, Xi'an 710004, Shaanxi Province, China.

Department of General Surgery, The Second Affiliated Hospital of Xi'an Jiaotong University, Xi'an 710004, Shaanxi Province, China.

出版信息

World J Gastroenterol. 2025 Sep 7;31(33):107408. doi: 10.3748/wjg.v31.i33.107408.

Abstract

BACKGROUND

The hepatic venous pressure gradient serves as a crucial parameter for assessing portal hypertension and predicting clinical decompensation in individuals with cirrhosis. However, owing to its invasive nature, there has been growing interest in identifying noninvasive alternatives. Transient elastography offers a promising approach for measuring liver stiffness and spleen stiffness, which can help estimate the likelihood of decompensation in patients with chronic liver disease.

AIM

To investigate the predictive ability of the liver stiffness measurement (LSM) and spleen stiffness measurement (SSM) in conjunction with other noninvasive indicators for clinical decompensation in patients suffering from compensatory cirrhosis and portal hypertension.

METHODS

This study was a retrospective analysis of the clinical data of 200 patients who were diagnosed with viral cirrhosis and who received computed tomography, transient elastography, ultrasound, and endoscopic examinations at The Second Affiliated Hospital of Xi'an Jiaotong University between March 2020 and November 2022. Patient classification was performed in accordance with the Baveno VI consensus. The area under the curve was used to evaluate and compare the predictive accuracy across different patient groups. The diagnostic effectiveness of several models, including the liver stiffness-spleen diameter-platelet ratio, variceal risk index, aspartate aminotransferase-alanine aminotransferase ratio, Baveno VI criteria, and newly developed models, was assessed. Additionally, decision curve analysis was carried out across a range of threshold probabilities to evaluate the clinical utility of these predictive factors.

RESULTS

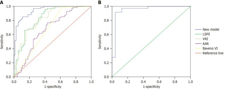
Univariate and multivariate analyses demonstrated that SSM, LSM, and the spleen length diameter (SLD) were linked to clinical decompensation in individuals with viral cirrhosis. On the basis of these findings, a predictive model was developed logistic regression: Ln [P/(1-P)] = -4.969 - 0.279 × SSM + 0.348 × LSM + 0.272 × SLD. The model exhibited strong performance, with an area under the curve of 0.944. At a cutoff value of 0.56, the sensitivity, specificity, positive predictive value, and negative predictive value for predicting clinical decompensation were 85.29%, 88.89%, 87.89%, and 86.47%, respectively. The newly developed model demonstrated enhanced accuracy in forecasting clinical decompensation among patients suffering from viral cirrhosis when compared to four previously established models.

CONCLUSION

Noninvasive models utilizing SSM, LSM, and SLD are effective in predicting clinical decompensation among patients with viral cirrhosis, thereby reducing the need for unnecessary hepatic venous pressure gradient testing.

摘要

背景

肝静脉压力梯度是评估肝硬化患者门静脉高压和预测临床失代偿的关键参数。然而,由于其侵入性,人们越来越关注寻找非侵入性替代方法。瞬时弹性成像为测量肝脏硬度和脾脏硬度提供了一种有前景的方法,有助于估计慢性肝病患者失代偿的可能性。

目的

探讨肝脏硬度测量(LSM)和脾脏硬度测量(SSM)联合其他非侵入性指标对代偿期肝硬化和门静脉高压患者临床失代偿的预测能力。

方法

本研究对2020年3月至2022年11月在西安交通大学第二附属医院被诊断为病毒性肝硬化并接受计算机断层扫描、瞬时弹性成像、超声和内镜检查的200例患者的临床资料进行回顾性分析。根据巴韦诺VI共识进行患者分类。采用曲线下面积评估和比较不同患者组的预测准确性。评估了包括肝脏硬度-脾脏直径-血小板比值、静脉曲张风险指数、天冬氨酸转氨酶-丙氨酸转氨酶比值、巴韦诺VI标准和新开发模型在内的几种模型的诊断效能。此外,在一系列阈值概率范围内进行决策曲线分析,以评估这些预测因素的临床实用性。

结果

单因素和多因素分析表明,SSM、LSM和脾脏长径(SLD)与病毒性肝硬化患者的临床失代偿有关。基于这些发现,建立了一个预测模型——逻辑回归:Ln[P/(1-P)]=-4.969-0.279×SSM+0.348×LSM+0.272×SLD。该模型表现出色,曲线下面积为0.944。在临界值为0.56时,预测临床失代偿的敏感性、特异性、阳性预测值和阴性预测值分别为85.29%、88.89%、87.89%和86.47%。与之前建立的四个模型相比,新开发的模型在预测病毒性肝硬化患者临床失代偿方面表现出更高的准确性。

结论

利用SSM、LSM和SLD的非侵入性模型可有效预测病毒性肝硬化患者的临床失代偿,从而减少不必要的肝静脉压力梯度检测需求。

https://cdn.ncbi.nlm.nih.gov/pmc/blobs/262e/12418019/d648775f96ea/wjg-31-33-107408-g001.jpg

相似文献

1
Noninvasive model based on liver and spleen stiffness for predicting clinical decompensation in patients with cirrhosis.
World J Gastroenterol. 2025 Sep 7;31(33):107408. doi: 10.3748/wjg.v31.i33.107408.
3
Baveno VI-SSM stratifies the risk of portal hypertensionrelated events in patients with HBV-related cirrhosis.
Clin Mol Hepatol. 2025 Jul;31(3):866-880. doi: 10.3350/cmh.2024.0609. Epub 2025 Feb 5.
5
Evaluation of liver and splenic stiffness by acoustic radiation force impulse for assessment of esophageal varices.
Indian J Gastroenterol. 2025 Apr;44(2):163-170. doi: 10.1007/s12664-023-01456-3. Epub 2023 Nov 6.
7
Prognostic performance of non-invasive tests for portal hypertension is comparable to that of hepatic venous pressure gradient.
J Hepatol. 2024 May;80(5):744-752. doi: 10.1016/j.jhep.2023.12.028. Epub 2024 Jan 11.
9
Transient elastography for diagnosis of stages of hepatic fibrosis and cirrhosis in people with alcoholic liver disease.
Cochrane Database Syst Rev. 2015 Jan 22;1(1):CD010542. doi: 10.1002/14651858.CD010542.pub2.
10
Accuracy of spleen stiffness measurement in detection of esophageal varices in patients with chronic liver disease: systematic review and meta-analysis.
Clin Gastroenterol Hepatol. 2014 Jun;12(6):935-45.e4. doi: 10.1016/j.cgh.2013.09.013. Epub 2013 Sep 18.

本文引用的文献

4
Validation of the albumin-bilirubin score for identifying decompensation risk in patients with compensated cirrhosis.
World J Gastroenterol. 2023 Aug 28;29(32):4873-4882. doi: 10.3748/wjg.v29.i32.4873.
8
Non-invasive tests-based risk stratification: Baveno VII and beyond.
Clin Mol Hepatol. 2023 Jan;29(1):105-109. doi: 10.3350/cmh.2022.0361. Epub 2022 Nov 23.
9
Baveno VII algorithm outperformed other models in ruling out high-risk varices in individuals with HBV-related cirrhosis.
J Hepatol. 2023 Mar;78(3):574-583. doi: 10.1016/j.jhep.2022.10.030. Epub 2022 Nov 7.

文献AI研究员

20分钟写一篇综述,助力文献阅读效率提升50倍。

立即体验

用中文搜PubMed

大模型驱动的PubMed中文搜索引擎

马上搜索

文档翻译

学术文献翻译模型,支持多种主流文档格式。

立即体验