Suppr超能文献

噬菌体鸡尾酒在环境中的应用可减少家禽粪便中的抗生素耐药性,且不会破坏肠道微生物群。

Environmental Application of a Bacteriophage Cocktail Reduces Antibiotic-Resistant in Poultry Litter Without Disrupting Gut Microbiota.

作者信息

Kuźmińska-Bajor Marta, Kuczkowski Maciej, Konkol Damian, Korczyński Mariusz, Rakicka-Pustułka Magdalena, Kozioł Sylwia, Tomaszewska-Hetman Ludwika, Rywińska Anita

机构信息

Department of Biotechnology and Food Microbiology, Wroclaw University of Environmental and Life Sciences, 37 Chełmońskiego St., 51-630 Wroclaw, Poland.

Department of Epizootiology and Clinic of Birds and Exotic Animals, Wroclaw University of Environmental and Life Sciences, 45 Grunwaldzki Sq., 50-366 Wroclaw, Poland.

出版信息

Animals (Basel). 2025 Aug 27;15(17):2525. doi: 10.3390/ani15172525.

Abstract

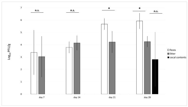
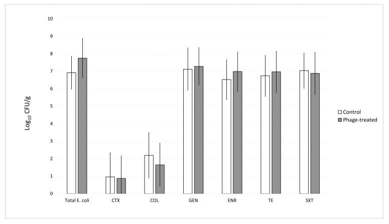
The increasing demand for poultry meat calls for sustainable production methods that address animal welfare and combat antimicrobial resistance (AMR). Commensal serve as reservoirs of resistance genes that may transfer to pathogens, facilitating AMR spread in agriculture. This study evaluated the efficacy of a bacteriophage cocktail, UPWr_E, applied as a litter spray to reduce total and antibiotic-resistant in broiler chicken rearing. The cocktail, containing four lytically active phages, was administered for four weeks. Microbiological analyses of litter, feces, and cecal contents showed a significant reduction in total by 3.2 log CFU/g in litter and a decrease in resistant strains to gentamicin, enrofloxacin, tetracycline, and sulfamethoxazole-trimethoprim, compared to controls. No significant changes occurred in loads in feces or cecal contents, indicating limited impact on the number of commensal in cecal contents. Phages remained detectable and stable in litter and feces throughout the study. These findings demonstrate the potential of phage therapy as a targeted, environmentally friendly approach to control AMR reservoirs in poultry farming. Incorporating phage-based treatments into AMR management strategies could improve food safety and promote sustainable animal production.

摘要

对禽肉日益增长的需求要求采用可持续的生产方法,以解决动物福利问题并对抗抗菌药物耐药性(AMR)。共生菌是耐药基因的储存库,这些基因可能转移到病原体中,促进抗菌药物耐药性在农业中的传播。本研究评估了一种噬菌体混合物UPWr_E作为垫料喷雾剂在减少肉鸡饲养中总细菌数和抗生素耐药菌方面的效果。该混合物含有四种具有裂解活性的噬菌体,施用了四周。对垫料、粪便和盲肠内容物的微生物学分析表明,与对照组相比,垫料中的总细菌数显著减少了3.2 log CFU/g,对庆大霉素、恩诺沙星、四环素和磺胺甲恶唑-甲氧苄啶的耐药菌株数量也有所减少。粪便或盲肠内容物中的细菌载量没有显著变化,表明对盲肠内容物中共生菌数量的影响有限。在整个研究过程中,噬菌体在垫料和粪便中仍可检测到且保持稳定。这些发现证明了噬菌体疗法作为一种有针对性的、环境友好的方法来控制家禽养殖中抗菌药物耐药性储存库的潜力。将基于噬菌体的治疗方法纳入抗菌药物耐药性管理策略可以提高食品安全并促进可持续动物生产。

https://cdn.ncbi.nlm.nih.gov/pmc/blobs/2844/12427302/03cebd7d948f/animals-15-02525-g001.jpg

文献AI研究员

20分钟写一篇综述,助力文献阅读效率提升50倍。

立即体验

用中文搜PubMed

大模型驱动的PubMed中文搜索引擎

马上搜索

文档翻译

学术文献翻译模型,支持多种主流文档格式。

立即体验