Suppr超能文献

认知需求和感知自我效能在调节对失败的情绪和行为反应中的作用。

The role of need for cognition and perceived self-efficacy in modulating emotional and behavioural responses to failure.

作者信息

Reuter Michaela A, Enge Sören, Fleischhauer Monika

机构信息

Department of Psychology, Faculty of Natural Sciences, MSB Medical School Berlin, Berlin, Germany.

出版信息

BMC Psychol. 2025 Sep 17;13(1):1009. doi: 10.1186/s40359-025-03383-8.

Abstract

BACKGROUND

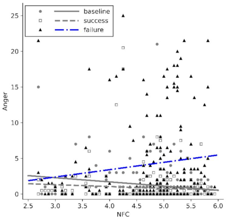
Need for cognition (NFC) measures the enjoyment of and the search for intellectual challenges and is probably the best-known construct for measuring cognitive motivation. Several studies have shown that individuals high in NFC invest more mental effort in complex tasks, process information more deeply and perceive themselves to be effective problem solvers. To date, however, there has been little research investigating the need for cognition in relation of failure in cognitively challenging tasks. Therefore, in this study, we investigated whether NFC influences the extent to which anger is experienced after a failure in cognitively demanding tasks and whether individuals high in NFC are more intended to continue after failure (persistence) than those low in NFC.

METHOD

A total of 194 participants took part in this study. Each participant completed two solvable tasks (one anagram, one tangram; control-condition) and two unsolvable tasks (one anagram, one tangram) to generate the experience of failure. After completing each task, the participants were asked to report their state anger. Furthermore, after each of the two unsolvable tasks, the participants had to decide whether they wanted to solve the tasks again to assess their intention to persist after a failure. Based on studies showing that perceived self-efficacy (PSE) influences emotional responses to failure, PSE was also considered as an independent variable and as a moderator of the relationship between NFC and the experience of failure.

RESULTS

The results demonstrate that NFC positively affects feelings of state anger after failure in cognitively challenging tasks and that this effect was moderated by PSE. Furthermore, state anger positively affected the intention to show persistence in individuals higher in NFC and PSE.

DISCUSSION

Thus, these experimental results support conceptual assumptions of NFC as intrinsic motivation to engage in cognitive endeavors and underline the potentially important role of NFC and PSE in modulating responses to failure.

摘要

背景

认知需求(NFC)衡量对智力挑战的享受程度和寻求程度,可能是测量认知动机最广为人知的指标。多项研究表明,NFC得分高的个体在复杂任务中投入更多的脑力,更深入地处理信息,并认为自己是有效的问题解决者。然而,迄今为止,很少有研究调查认知需求与认知挑战性任务失败之间的关系。因此,在本研究中,我们调查了NFC是否会影响在认知要求高的任务失败后愤怒情绪的体验程度,以及NFC得分高的个体在失败后是否比NFC得分低的个体更倾向于继续尝试(坚持)。

方法

共有194名参与者参与了本研究。每位参与者完成两项可解决的任务(一项字谜游戏,一项七巧板游戏;控制条件)和两项不可解决的任务(一项字谜游戏,一项七巧板游戏)以产生失败体验。完成每项任务后,要求参与者报告他们的状态愤怒程度。此外,在两项不可解决的任务中的每一项之后,参与者必须决定是否想再次解决这些任务,以评估他们在失败后的坚持意愿。基于表明感知自我效能感(PSE)会影响对失败的情绪反应的研究,PSE也被视为一个自变量以及NFC与失败体验之间关系的调节变量。

结果

结果表明,NFC对认知挑战性任务失败后的状态愤怒情绪有积极影响,且这种影响受到PSE的调节。此外,状态愤怒对NFC和PSE得分较高的个体的坚持意愿有积极影响。

讨论

因此,这些实验结果支持了NFC作为参与认知努力的内在动机的概念假设,并强调了NFC和PSE在调节对失败的反应方面可能具有的重要作用。

https://cdn.ncbi.nlm.nih.gov/pmc/blobs/da31/12442296/d0405f1a2865/40359_2025_3383_Fig1_HTML.jpg

相似文献

3
4
The Black Book of Psychotropic Dosing and Monitoring.
Psychopharmacol Bull. 2024 Jul 8;54(3):8-59.
5
Psychological therapies for women who experience intimate partner violence.
Cochrane Database Syst Rev. 2020 Jul 1;7(7):CD013017. doi: 10.1002/14651858.CD013017.pub2.
9
Psychological interventions for adults who have sexually offended or are at risk of offending.
Cochrane Database Syst Rev. 2012 Dec 12;12(12):CD007507. doi: 10.1002/14651858.CD007507.pub2.

本文引用的文献

1
Yes, I Can: The Interplay of Need for Cognition and Task Confidence in Cognitive Task Performance.
J Intell. 2024 Dec 15;12(12):128. doi: 10.3390/jintelligence12120128.
2
The mathematical flexibility of college students: The role of cognitive and affective factors.
Br J Educ Psychol. 2020 Dec;90(4):981-996. doi: 10.1111/bjep.12340. Epub 2020 Jan 30.
3
Thinking in action: Need for Cognition predicts Self-Control together with Action Orientation.
PLoS One. 2019 Aug 1;14(8):e0220282. doi: 10.1371/journal.pone.0220282. eCollection 2019.
4
Cognitive Engagement Mediates the Relationship between Positive Life Events and Positive Emotionality.
Front Psychol. 2017 Oct 20;8:1861. doi: 10.3389/fpsyg.2017.01861. eCollection 2017.
5
Contributions of Cognitive-Motivational Factors to the Sense of Identity.
Curr Psychol. 2017;36(3):468-482. doi: 10.1007/s12144-016-9435-1. Epub 2016 Mar 23.
6
Cognitive Investments in Academic Success: The Role of Need for Cognition at University.
Front Psychol. 2017 May 16;8:790. doi: 10.3389/fpsyg.2017.00790. eCollection 2017.
9
Neuroticism and responsiveness to error feedback: adaptive self-regulation versus affective reactivity.
J Pers. 2010 Oct;78(5):1469-96. doi: 10.1111/j.1467-6494.2010.00658.x. Epub 2010 Jul 20.
10
Same or different? Clarifying the relationship of need for cognition to personality and intelligence.
Pers Soc Psychol Bull. 2010 Jan;36(1):82-96. doi: 10.1177/0146167209351886. Epub 2009 Nov 9.

文献AI研究员

20分钟写一篇综述,助力文献阅读效率提升50倍。

立即体验

用中文搜PubMed

大模型驱动的PubMed中文搜索引擎

马上搜索

文档翻译

学术文献翻译模型,支持多种主流文档格式。

立即体验