Suppr超能文献

雾化胰岛素可诱导调节性CD8γδ T细胞,预防小鼠胰岛素依赖型糖尿病。

Aerosol insulin induces regulatory CD8 gamma delta T cells that prevent murine insulin-dependent diabetes.

作者信息

Harrison L C, Dempsey-Collier M, Kramer D R, Takahashi K

机构信息

Walter and Eliza Hall Institute of Medical Research, Royal Melbourne Hospital, Parkville, Australia.

出版信息

J Exp Med. 1996 Dec 1;184(6):2167-74. doi: 10.1084/jem.184.6.2167.

Abstract

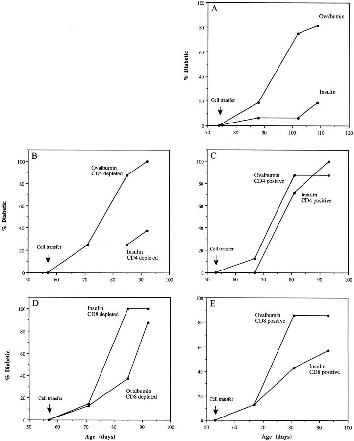
Cellular immune hyporesponsiveness can be induced by the presentation of soluble protein antigens to mucosal surfaces. Most studies of mucosa-mediated tolerance have used the oral route of antigen delivery and few have examined autoantigens in natural models of autoimmune disease. Insulin is an autoantigen in humans and nonobese diabetic (NOD) mice with insulin-dependent diabetes mellitus (IDDM). When we administered insulin aerosol to NOD mice after the onset of subclinical disease, pancreatic islet pathology and diabetes incidence were both significantly reduced. Insulin-treated mice had increased circulating antibodies to insulin, absent splenocyte proliferation to the major epitope, insulin B chain amino acids 9-23, which was associated with increased IL-4 and particularly IL-10 secretion, and reduced proliferation to glutamic acid decarboxylase, another islet autoantigen. The ability of splenocytes from insulin-treated mice to suppress the adoptive transfer of diabetes to nondiabetic mice by T cells of diabetic mice was shown to be caused by small numbers of CD8 gamma delta T cells. These findings reveal a novel mechanism for suppressing cell-mediated autoimmune disease. Induction of regulatory CD8 gamma delta T cells by aerosol insulin is a therapeutic strategy with implications for the prevention of human IDDM.

摘要

可溶性蛋白抗原呈递给黏膜表面可诱导细胞免疫低反应性。大多数关于黏膜介导的耐受性研究采用口服抗原递送途径,很少有研究在自身免疫性疾病的自然模型中检测自身抗原。胰岛素是人类和患有胰岛素依赖型糖尿病(IDDM)的非肥胖糖尿病(NOD)小鼠中的一种自身抗原。当我们在亚临床疾病发作后给NOD小鼠吸入胰岛素时,胰岛病理和糖尿病发病率均显著降低。接受胰岛素治疗的小鼠对胰岛素的循环抗体增加,对主要表位胰岛素B链氨基酸9 - 23的脾细胞增殖缺失,这与IL - 4尤其是IL - 10分泌增加相关,并且对另一种胰岛自身抗原谷氨酸脱羧酶的增殖减少。结果表明,接受胰岛素治疗的小鼠的脾细胞抑制糖尿病小鼠T细胞将糖尿病过继转移给非糖尿病小鼠的能力是由少量CD8γδT细胞引起的。这些发现揭示了一种抑制细胞介导的自身免疫性疾病的新机制。通过吸入胰岛素诱导调节性CD8γδT细胞是一种对预防人类IDDM有意义的治疗策略。

https://cdn.ncbi.nlm.nih.gov/pmc/blobs/085a/2196363/2870594b790e/JEM.harrison3.jpg

文献检索

告别复杂PubMed语法,用中文像聊天一样搜索,搜遍4000万医学文献。AI智能推荐,让科研检索更轻松。

立即免费搜索

文件翻译

保留排版,准确专业,支持PDF/Word/PPT等文件格式,支持 12+语言互译。

免费翻译文档

深度研究

AI帮你快速写综述,25分钟生成高质量综述,智能提取关键信息,辅助科研写作。

立即免费体验