Suppr超能文献

在存在单一重排的T细胞受体β链的情况下,由单个主要组织相容性复合体-肽配体塑造的高度受限的T细胞库。

Highly restricted T cell repertoire shaped by a single major histocompatibility complex-peptide ligand in the presence of a single rearranged T cell receptor beta chain.

作者信息

Fukui Y, Hashimoto O, Inayoshi A, Gyotoku T, Sano T, Koga T, Gushima T, Sasazuki T

机构信息

Department of Genetics, Medical Institute of Bioregulation, Kyushu University, Fukuoka, Japan.

出版信息

J Exp Med. 1998 Sep 7;188(5):897-907. doi: 10.1084/jem.188.5.897.

Abstract

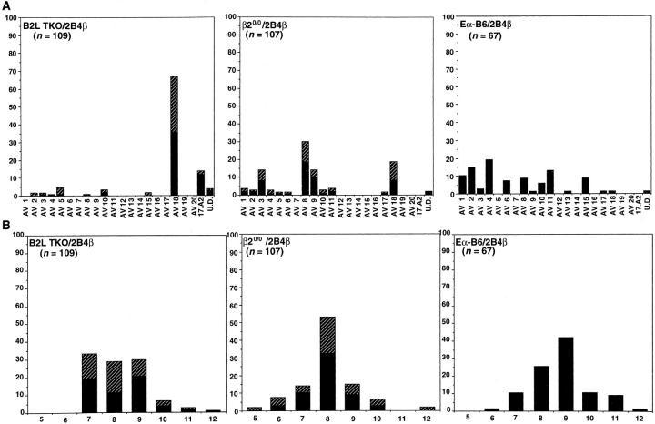
The T cell repertoire is shaped by positive and negative selection of thymocytes through the interaction of alpha/beta-T cell receptors (TCR) with self-peptides bound to self-major histocompatibility complex (MHC) molecules. However, the involvement of specific TCR-peptide contacts in positive selection remains unclear. By fixing TCR-beta chains with a single rearranged TCR-beta irrelevant to the selecting ligand, we show here that T cells selected to mature on a single MHC-peptide complex express highly restricted TCR-alpha chains in terms of Valpha usage and amino acid residue of their CDR3 loops, whereas such restriction was not observed with those selected by the same MHC with diverse sets of self-peptides including this peptide. Thus, we visualized the TCR structure required to survive positive selection directed by this single ligand. Our findings provide definitive evidence that specific recognition of self-peptides by TCR could be involved in positive selection of thymocytes.

摘要

T细胞库是通过胸腺细胞的阳性和阴性选择形成的,这一过程是通过α/β-T细胞受体(TCR)与结合到自身主要组织相容性复合体(MHC)分子上的自身肽相互作用实现的。然而,特定TCR-肽接触在阳性选择中的作用仍不清楚。通过用与选择配体无关的单一重排TCR-β链固定TCR-β链,我们在此表明,在单一MHC-肽复合物上被选择成熟的T细胞,在Vα使用及其CDR3环的氨基酸残基方面表达高度受限的TCR-α链,而在由相同MHC与包括该肽在内的多种自身肽集合选择的T细胞中未观察到这种限制。因此,我们可视化了由该单一配体引导的阳性选择中存活所需的TCR结构。我们的发现提供了确凿的证据,证明TCR对自身肽的特异性识别可能参与胸腺细胞的阳性选择。

https://cdn.ncbi.nlm.nih.gov/pmc/blobs/25c2/2213398/e2efd3bc132c/JEM980657.f1.jpg

文献检索

告别复杂PubMed语法,用中文像聊天一样搜索,搜遍4000万医学文献。AI智能推荐,让科研检索更轻松。

立即免费搜索

文件翻译

保留排版,准确专业,支持PDF/Word/PPT等文件格式,支持 12+语言互译。

免费翻译文档

深度研究

AI帮你快速写综述,25分钟生成高质量综述,智能提取关键信息,辅助科研写作。

立即免费体验