
“是不是快来大姨妈了?”
每当女性抱怨头痛欲裂、心情烦躁、工作效率低下时,往往会收到这样一句虽然出于关心、但听起来略显敷衍的问候。在很多人的潜意识里,经期伴随的不适感似乎是“理所当然”的,甚至连不少女性自己都认为:这只是荷尔蒙的周期性波动,忍忍就过去了。
然而,日本庆应义塾大学医学院与辉瑞日本公司的一项最新联合研究,给这种“忍忍就好”的观念泼了一盆冷水。这项发表在《The Journal of Headache and Pain》上的大规模研究显示:和普通偏头痛相比,与月经相关的偏头痛(Menstrual Migraine, MM)不仅痛感更强、持续时间更长,而且对生活和工作的破坏力也更大 [1]。

这不是“矫情”,这是科学事实。今天我们就来拆解这份涉及近万名女性的真实世界数据,看看经期偏头痛究竟是如何“偷走”女性的生活质量的。
为了搞清楚经期偏头痛到底有多特殊,研究人员在日本进行了一次规模庞大的网络调查。他们筛选了超过26万人,最终锁定了 4,592名经期偏头痛患者 和 5,174名非经期偏头痛患者 进行详细对比 [2]。如此大的样本量,足以让我们看清这种疾病的真实面貌。

如果你觉得经期的头痛比平时更难以忍受,那你的感觉完全准确。数据显示,经期偏头痛患者(MM组)在经期前后的疼痛强度显著高于非经期偏头痛患者(non-MM组)。
如图[1]所示,我们可以清晰地看到两条曲线的走势差异。橙色曲线代表经期偏头痛患者,蓝色曲线代表普通偏头痛患者。在非经期阶段(图左侧),两者的疼痛评分差距还算温和;但一旦进入月经周期(图右侧),橙色曲线迅速攀升,并在月经开始的前一天到第一天达到顶峰。
具体来说,在月经开始时,MM组的疼痛评分比non-MM组高出了整整7.7分(95%置信区间)。这意味着,经期偏头痛不是“普通头痛的经期版”,而是一次加强版的疼痛袭击。这种疼痛在月经开始前2天就已经开始蓄力,并在出血首日达到“至暗时刻” [1]。
除了痛得更厉害,“耗得久”也是经期偏头痛的一大特征。研究发现,MM组患者的疼痛持续时间显著长于普通组。普通偏头痛可能睡一觉就好,但经期偏头痛往往像一块甩不掉的牛皮糖,持续折磨患者数天。这种长时间的疼痛暴露,直接导致了患者对止痛药需求的激增。
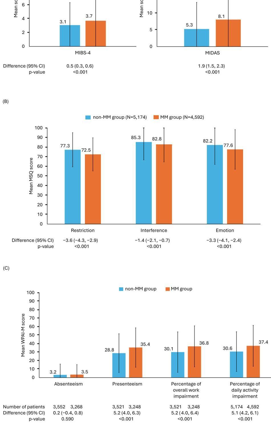
疼痛只是冰山一角,更隐蔽的代价在于它对社会功能的剥夺。很多人认为头痛“不耽误干活”,但数据告诉我们要重新审视这个观点。
研究使用了多种专业量表来评估偏头痛带来的社会负担,结果令人咋舌:

更值得关注的是“隐性缺勤”(Presenteeism)。所谓隐性缺勤,就是人虽然坐在工位上,但魂已经飞了,完全无法产出。
如图[3]中的(C)部分所示,虽然两组人在“绝对缺勤”(Absenteeism,即请病假不来上班)的比例上没有显著差异(都在3%左右),但在“隐性缺勤”(Presenteeism)这一项上,经期偏头痛组高达35.4%,显著高于普通组的28.8%。
这意味着什么? 这意味着大部分经期偏头痛女性并没有选择请假回家躺着,而是强撑着病体在工作。她们忍受着比常人更剧烈的痛苦,却因为“不想被视为软弱”或“工作性质所迫”而坚持出勤,结果却是身心俱疲,且工作效率下降了近四成(总体工作受损率 36.8%)[3]。这种“带病坚持”的职场现状,恰恰是经期偏头痛最容易被忽视的社会成本。
面对如此剧烈且漫长的疼痛,大多数人的第一反应就是“吃药压下去”。但数据显示,经期偏头痛患者正陷入一个越痛越吃、越吃越无奈的恶性循环。
研究发现,在月经期间,高达 54% 的经期偏头痛患者不得不增加药物的使用量,这一比例是普通偏头痛患者(24%)的两倍多。不仅仅是量大,有 13.2% 的患者还不得不尝试更多种类的药物混着吃,试图压制住那顽固的疼痛。
这背后的原因在图[4]中一目了然:如果你看图(B)部分的深绿色柱状条(代表头痛极其频繁),你会发现经期偏头痛组在月经前1天和开始当天,该比例飙升至惊人的水平。为了对抗这种高频率的袭击,患者只能频繁求助于止痛片。

让人担忧的是,这些患者最常用的药物是非甾体抗炎药(NSAIDs,如布洛芬等),使用率超过51%。虽然这类药物是非处方药,购买方便,但长期、大量服用并非没有代价。频繁使用不仅可能导致胃肠道损伤、心血管风险增加,甚至可能诱发“药物过量性头痛”——即止痛药吃得越多,头痛反而发作得越频繁,最终陷入药物依赖的泥潭。
此外,数据显示经期偏头痛患者使用 Lasmiditan(一种较新的处方药,通常在其他药物无效时使用)的比例更高。这侧面说明,普通的止痛手段往往对她们失效了,她们正在经历一种更难治、更顽固的疾病状态。
这项覆盖全日本的大型研究,用冷冰冰但无可辩驳的数据告诉我们:经期偏头痛,绝不是一句“多喝热水”或者“忍忍就过”能解决的小事。
它是一种具有独特生物学机制、更高致残率、更严重社会负担的偏头痛亚型。那些在工位上扶着额头、脸色苍白的女性,可能正在经历一场不被理解的“隐形风暴”。
如果你发现自己的头痛总是卡着月经的节奏来,且痛感剧烈、普通止痛药效果不佳,请不要继续独自硬抗。这可能不是你“体质弱”,而是一种需要专门治疗的神经系统疾病。
未来的医疗方向,不应仅仅停留在止痛,更在于如何针对女性特有的激素波动进行精准干预。而对于现在的我们,无论是作为患者还是旁观者,打破“经期受罪是宿命”的刻板印象,给予这一群体更多的理解与科学的医疗支持,或许才是解决痛点的第一步。
本文由超能文献“资讯AI智能体”基于4000万篇Pubmed文献自主选题与撰写,并经AI核查及编辑团队二次人工审校。内容仅供学术交流参考,不代表任何医学建议。
分享

一项6年研究发现,血液中乳制品摄入生物标志物(奇数链脂肪酸OCFAs)越高,动脉斑块风险反而降低37%。研究揭示,这可能与肠道菌群(特别是C. R-7菌群)调节胆汁酸代谢有关,颠覆了饱和脂肪的刻板印象。

ECG-CLIP是一款新型医疗AI模型,它通过“阅读”医生诊断报告来理解心电图,实现了“零样本”诊断能力,有望告别百万级人工标注,提高心电图诊断效率和准确性。

H5N1鼻喷疫苗一期临床试验揭示“隐形免疫印记”,初次接种后血清抗体“平平”,但在肌肉注射加强后爆发广谱交叉保护,甚至能对抗当前流行的H5N1变异株,为黏膜疫苗研发和流感大流行应对提供新思路。

本文深入探讨了美国医疗领域生成式AI的普及现状、趋势、潜在影响及隐患。通过分析《JAMA Network Open》的最新研究,揭示了到2025年超半数美国医院将接入AI的预测、AI普及中的“数字鸿沟”现象、医院在AI评估方面的盲区,以及Epic等巨头对AI落地的推动作用。文章强调了AI在提高效率的同时,对安全评估机制提出的挑战。

Nature研究揭示:母亲肥胖通过HIF1α重塑胎儿库普弗细胞,使其在成年后持续分泌致脂肪肝蛋白,即使后代饮食健康也难逃成年脂肪肝的命运。

介绍了一种新型“纳米眼药水”CeO₂@H-151,通过纳米酶技术和STING抑制剂的组合,有效预防和治疗辐射诱发性白内障,有望为眼科疾病治疗开辟新途径。