Gresham H D, Dale B M, Potter J W, Chang P W, Vines C M, Lowell C A, Lagenaur C F, Willman C L
Research Service, Albuquerque Veterans Administration Medical Center, Albuquerque, New Mexico 87108, USA.
J Exp Med. 2000 Feb 7;191(3):515-28. doi: 10.1084/jem.191.3.515.
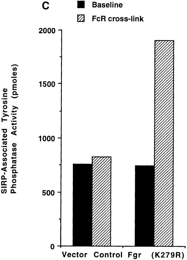
Ingestion of opsonized pathogens by professional phagocytes results in the generation and release of microbicidal products that are essential for normal host defense. Because these products can result in significant tissue injury, phagocytosis must be regulated to limit damage to the host while allowing for optimal clearance and destruction of opsonized pathogens. To pursue negative regulation of phagocytosis, we assessed the effect of the Src kinase family member, Fgr, on opsonin-dependent phagocytosis by mouse macrophages. We chose Fgr because it is present in high concentrations in circulating phagocytes but is not essential for Fcgamma receptor-mediated ingestion by mouse macrophages. Although expression of Fgr both in a macrophage cell line and in primary macrophages significantly attenuates ingestion mediated by Fcgamma receptors and CR3, it does not affect macropinocytosis or receptor-mediated endocytosis. This selective effect of Fgr is independent of its tyrosine kinase function. After Fcgamma receptor cross-linking, Fgr becomes associated with the immunoreceptor tyrosine-based inhibition motif (ITIM)-containing receptor, SIRPalpha (a member of the signal-regulatory protein family, also known as Src homology 2 domain-containing protein tyrosine phosphatase [SHP] substrate 1 [SHPS-1], brain immunoglobulin-like molecule with tyrosine-based activation motifs [BIT], and P84) and potentiates the association of the phosphatase SHP-1 with SIRPalpha. This association is responsible, at least in part, for decreasing positive signaling essential for optimal phagocytosis. These data demonstrate an important negative regulatory role for this Src kinase family member and suggest that this homeostatic function must be overcome for optimal uptake and clearance of opsonized pathogens.
专职吞噬细胞摄取调理过的病原体可导致产生并释放对正常宿主防御至关重要的杀菌产物。由于这些产物可导致显著的组织损伤,因此必须对吞噬作用进行调节,以限制对宿主的损害,同时允许对调理过的病原体进行最佳清除和破坏。为了研究吞噬作用的负调节,我们评估了Src激酶家族成员Fgr对小鼠巨噬细胞调理素依赖性吞噬作用的影响。我们选择Fgr是因为它在循环吞噬细胞中高浓度存在,但对小鼠巨噬细胞通过Fcγ受体介导的摄取并非必不可少。尽管Fgr在巨噬细胞系和原代巨噬细胞中的表达均显著减弱了由Fcγ受体和CR3介导的摄取,但它不影响巨胞饮作用或受体介导的内吞作用。Fgr的这种选择性作用与其酪氨酸激酶功能无关。Fcγ受体交联后,Fgr与含有免疫受体酪氨酸抑制基序(ITIM)的受体SIRPα(信号调节蛋白家族的成员,也称为含Src同源2结构域的蛋白酪氨酸磷酸酶[SHP]底物1[SHPS-1]、具有酪氨酸激活基序的脑免疫球蛋白样分子[BIT]和P84)结合,并增强磷酸酶SHP-1与SIRPα的结合。这种结合至少部分地负责减少对最佳吞噬作用至关重要的正向信号传导。这些数据证明了这个Src激酶家族成员的重要负调节作用,并表明为了对调理过的病原体进行最佳摄取和清除,必须克服这种稳态功能。