Schott Daniel H, Collins Ruth N, Bretscher Anthony
Department of Molecular Biology and Genetics, Cornell University, Ithaca, NY 14853, USA.
J Cell Biol. 2002 Jan 7;156(1):35-9. doi: 10.1083/jcb.200110086.
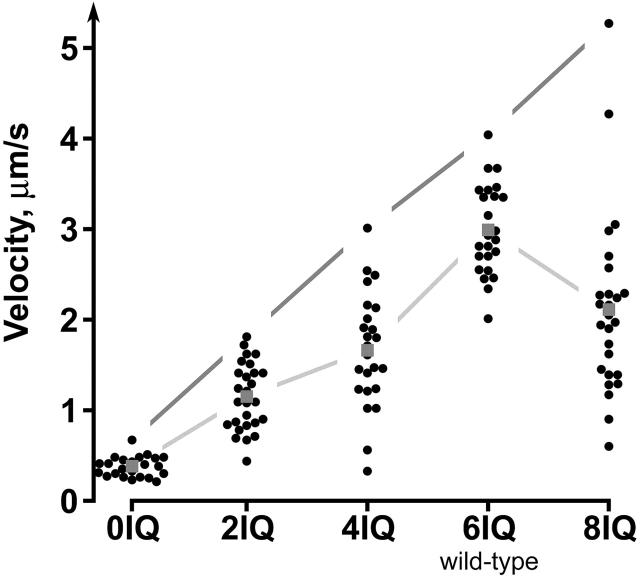
Myosins are molecular motors that exert force against actin filaments. One widely conserved myosin class, the myosin-Vs, recruits organelles to polarized sites in animal and fungal cells. However, it has been unclear whether myosin-Vs actively transport organelles, and whether the recently challenged lever arm model developed for muscle myosin applies to myosin-Vs. Here we demonstrate in living, intact yeast that secretory vesicles move rapidly toward their site of exocytosis. The maximal speed varies linearly over a wide range of lever arm lengths genetically engineered into the myosin-V heavy chain encoded by the MYO2 gene. Thus, secretory vesicle polarization is achieved through active transport by a myosin-V, and the motor mechanism is consistent with the lever arm model.
肌球蛋白是一类对肌动蛋白丝施加作用力的分子马达。一类广泛保守的肌球蛋白,即肌球蛋白-V,可将细胞器招募至动物和真菌细胞中的极化位点。然而,目前尚不清楚肌球蛋白-V是否能主动转运细胞器,以及最近针对肌肉肌球蛋白提出的备受质疑的杠杆臂模型是否适用于肌球蛋白-V。在此,我们在活的完整酵母中证明,分泌囊泡会迅速向其胞吐位点移动。在由MYO2基因编码的肌球蛋白-V重链中,通过基因工程改造出一系列不同长度的杠杆臂,最大速度在很宽的杠杆臂长度范围内呈线性变化。因此,分泌囊泡的极化是通过肌球蛋白-V的主动转运实现的,并且其运动机制与杠杆臂模型一致。