Suppr超能文献

乳腺癌患者与健康女性血清中碱性成纤维细胞生长因子和血管内皮生长因子水平:可作为诊断工具吗?

Basic fibroblast growth factor and vascular endothelial growth factor serum levels in breast cancer patients and healthy women: useful as diagnostic tools?

作者信息

Granato Anna Maria, Nanni Oriana, Falcini Fabio, Folli Secondo, Mosconi Gabriella, De Paola Franca, Medri Laura, Amadori Dino, Volpi Annalisa

机构信息

Istituto Oncologico Romagnolo, Forlì, Italy.

出版信息

Breast Cancer Res. 2004;6(1):R38-45. doi: 10.1186/bcr745. Epub 2003 Nov 25.

Abstract

INTRODUCTION

The aim of the present study was to analyze the relationship between the expression of vascular endothelial growth factor (VEGF) and basic fibroblast growth factor (bFGF) in breast cancer cells and the corresponding serum levels in individual patients. The study also evaluated the potential of serum levels of the two growth factors as diagnostic markers in a case-control study.

METHODS

VEGF expression and bFGF expression were determined in 62 and 63 tumor samples, respectively. Serum VEGF and bFGF levels were determined in 54 and 65 healthy women and in 69 and 73 breast cancer patients, respectively, using a quantitative sandwich enzyme immunoassay technique.

RESULTS

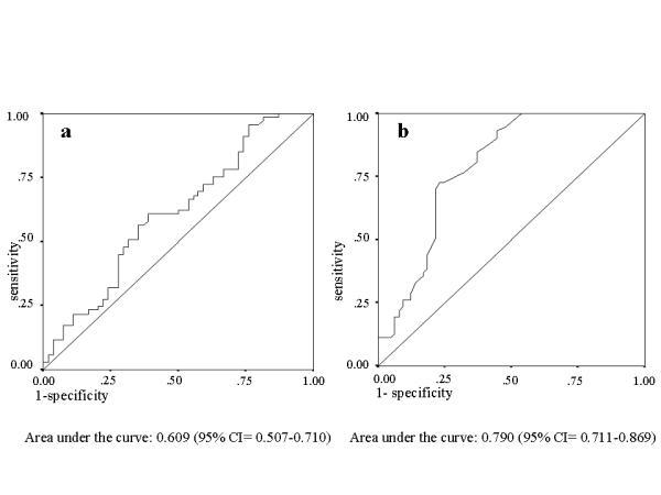
A direct correlation was observed between VEGF expression and bFGF expression in individual tumors (P = 0.001) and between serum levels (P = 0.038) in individual patients, but not between tumor cell expression and the corresponding serum level for either growth factor. Median values of serum levels in healthy women and breast cancer patients were not different for VEGF (P = 0.055), but were significantly different for bFGF (P < 0.001). The receiver operating characteristic curve identified a serum bFGF concentration of 1.0 pg/ml, with 84.9% sensitivity and 63.1% specificity, as the best cut-off value to discriminate between healthy women and breast cancer patients. An age-based subgroup analysis showed that serum values of patients older than 70 years of age mainly contributed to the high accuracy.

CONCLUSIONS

Our data repropose bFGF as a noninvasive diagnostic tool for breast cancer.

摘要

引言

本研究旨在分析乳腺癌细胞中血管内皮生长因子(VEGF)和碱性成纤维细胞生长因子(bFGF)的表达与个体患者相应血清水平之间的关系。该研究还在一项病例对照研究中评估了这两种生长因子的血清水平作为诊断标志物的潜力。

方法

分别在62个和63个肿瘤样本中测定VEGF表达和bFGF表达。使用定量夹心酶免疫测定技术,分别在54名和65名健康女性以及69名和73名乳腺癌患者中测定血清VEGF和bFGF水平。

结果

在个体肿瘤中观察到VEGF表达与bFGF表达之间存在直接相关性(P = 0.001),在个体患者的血清水平之间也存在直接相关性(P = 0.038),但两种生长因子的肿瘤细胞表达与相应血清水平之间均无相关性。健康女性和乳腺癌患者血清水平的中位数在VEGF方面无差异(P = 0.055),但在bFGF方面有显著差异(P < 0.001)。受试者工作特征曲线确定血清bFGF浓度为1.0 pg/ml,灵敏度为84.9%,特异性为63.1%,是区分健康女性和乳腺癌患者的最佳临界值。基于年龄的亚组分析表明,70岁以上患者的血清值对高准确性起主要作用。

结论

我们的数据再次提出bFGF作为乳腺癌的一种非侵入性诊断工具。

https://cdn.ncbi.nlm.nih.gov/pmc/blobs/d1f2/314457/560046c848e5/bcr745-1.jpg

文献AI研究员

20分钟写一篇综述,助力文献阅读效率提升50倍。

立即体验

用中文搜PubMed

大模型驱动的PubMed中文搜索引擎

马上搜索

文档翻译

学术文献翻译模型,支持多种主流文档格式。

立即体验