Tupper J, Tozer G M, Dachs G U
Tumour Microcirculation Group, Gray Cancer Institute, PO Box 100, Mount Vernon Hospital, Northwood, Middlesex, HA6 2JR, UK.
Br J Cancer. 2004 May 4;90(9):1858-62. doi: 10.1038/sj.bjc.6601780.
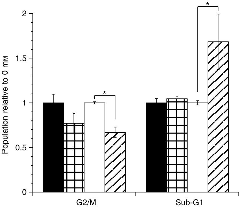
Gene therapy is a potential method of treating cancer with a greater degree of targeting than conventional therapies. In addition, therapy can be directed towards cells within the tumour population that are traditionally resistant to current treatment schedules. Horseradish peroxidase (HRP) can oxidise paracetamol to N-acetyl-p-benzoquinoneimine via a one-electron pathway. Incubation of human cells expressing HRP with 0.5-10 mM paracetamol reduced clonogenic survival, but had little effect on control cells. A small increase in apoptosis was seen and a decrease in the number of cells undergoing mitosis, consistent with reports in hepatocytes using higher paracetamol concentrations. The cytotoxicity was also seen under conditions of severe hypoxia (catalyst induced anoxia), indicating that the HRP/paracetamol combination may be suitable for hypoxia-targeted gene therapy.
基因治疗是一种治疗癌症的潜在方法,与传统疗法相比具有更高的靶向性。此外,该疗法可针对肿瘤群体中传统上对当前治疗方案耐药的细胞。辣根过氧化物酶(HRP)可通过单电子途径将对乙酰氨基酚氧化为N-乙酰-p-苯醌亚胺。将表达HRP的人类细胞与0.5-10 mM对乙酰氨基酚一起孵育会降低克隆形成存活率,但对对照细胞影响很小。观察到凋亡略有增加,进行有丝分裂的细胞数量减少,这与在使用较高对乙酰氨基酚浓度的肝细胞中的报道一致。在严重缺氧(催化剂诱导缺氧)条件下也观察到了细胞毒性,这表明HRP/对乙酰氨基酚组合可能适用于缺氧靶向基因治疗。