Suppr超能文献

坦桑尼亚东北部不同恶性疟原虫传播强度村庄居民中的疟疾发病率与免疫力

Malaria morbidity and immunity among residents of villages with different Plasmodium falciparum transmission intensity in North-Eastern Tanzania.

作者信息

Lusingu John P A, Vestergaard Lasse S, Mmbando Bruno P, Drakeley Chris J, Jones Caroline, Akida Juma, Savaeli Zacharia X, Kitua Andrew Y, Lemnge Martha M, Theander Thor G

机构信息

National Institute for Medical Research, Amani Medical Research Centre, Amani & NIMR Headquarters, Dar es Salaam, Tanzania.

出版信息

Malar J. 2004 Jul 28;3:26. doi: 10.1186/1475-2875-3-26.

Abstract

BACKGROUND

The relationship between the burden of uncomplicated malaria and transmission intensity is unclear and a better understanding of this relationship is important for the implementation of intervention programmes.

METHODS

A 6-month longitudinal study monitoring risk factors for anaemia and febrile malaria episodes was conducted among individuals aged below 20 years, residing in three villages of different altitude in areas of high, moderate and low malaria transmission intensity in North-Eastern Tanzania.

RESULTS

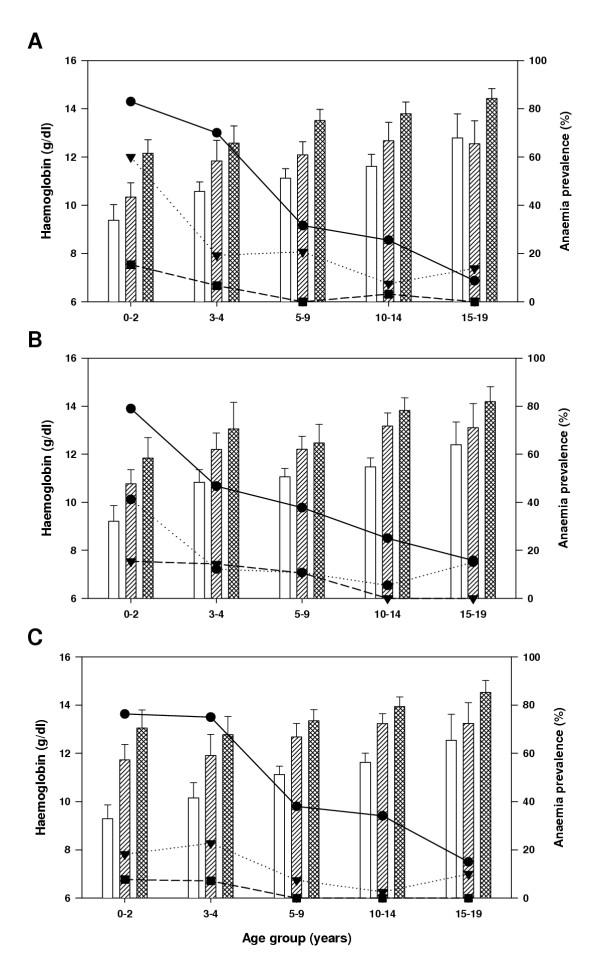
The burden of anaemia and malarial fever fell mainly on the youngest children and was highest in the village with high transmission intensity. Although a considerable percentage of individuals in all villages carried intestinal worms, logistic regression models indicated that Plasmodium falciparum was the only significant parasitic determinant of anaemia. Interestingly, children who carried low-density parasitaemia at the start of the study had a lower risk of contracting a febrile malaria episode but a higher risk of anaemia during the study period, than children who were slide negative at this point in time.

CONCLUSION

Young children living in the high transmission village carried a very high anaemia burden, which could be attributed to malaria. The overall incidence of febrile malaria was also highest in the high transmission village particularly among those under five years of age. These data suggest that in rolling back malaria, available resources in prevention programmes should primarily be focussed on young children, particularly those residing in areas of high malaria transmission.

摘要

背景

单纯性疟疾负担与传播强度之间的关系尚不清楚,更好地理解这种关系对于实施干预计划很重要。

方法

在坦桑尼亚东北部疟疾传播强度高、中、低的地区,对居住在三个不同海拔村庄的20岁以下个体进行了一项为期6个月的纵向研究,监测贫血和发热性疟疾发作的危险因素。

结果

贫血和疟疾发热负担主要落在最小的儿童身上,在传播强度高的村庄中最高。尽管所有村庄中相当大比例的个体携带肠道蠕虫,但逻辑回归模型表明,恶性疟原虫是贫血的唯一重要寄生虫决定因素。有趣的是,在研究开始时携带低密度疟原虫血症的儿童,与此时血涂片阴性的儿童相比,在研究期间患发热性疟疾发作的风险较低,但患贫血的风险较高。

结论

生活在高传播村庄的幼儿贫血负担非常高,这可能归因于疟疾。发热性疟疾的总体发病率在高传播村庄也最高,尤其是在五岁以下儿童中。这些数据表明,在抗击疟疾的过程中,预防计划中的可用资源应主要集中在幼儿身上,特别是那些居住在疟疾高传播地区的幼儿。

https://cdn.ncbi.nlm.nih.gov/pmc/blobs/d760/514496/19332c86ab19/1475-2875-3-26-1.jpg

文献AI研究员

20分钟写一篇综述,助力文献阅读效率提升50倍。

立即体验

用中文搜PubMed

大模型驱动的PubMed中文搜索引擎

马上搜索

文档翻译

学术文献翻译模型,支持多种主流文档格式。

立即体验