Suppr超能文献

内皮素B(ETB)受体激动剂IRL 1620在两种同基因大鼠肿瘤模型中具有很强的血管收缩作用:具有选择性改变肿瘤血流的潜力。

The endothelin B (ETB) receptor agonist IRL 1620 is highly vasoconstrictive in two syngeneic rat tumour lines: potential for selective tumour blood flow modification.

作者信息

Cemazar M, Wilson I, Prise V E, Bell K M, Hill S A, Tozer G M

机构信息

Gray Cancer Institute, Mount Vernon Hospital, PO Box 100, Northwood, Middlesex HA6 2JR, UK.

出版信息

Br J Cancer. 2005 Jul 11;93(1):98-106. doi: 10.1038/sj.bjc.6602672.

Abstract

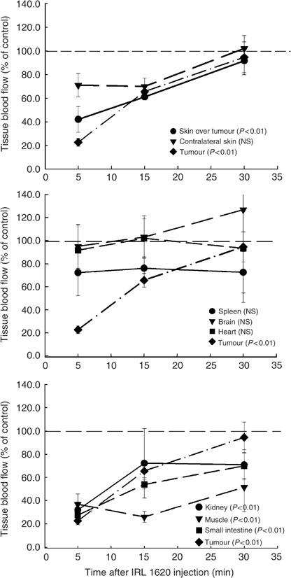
The vascular effects of the endothelin B (ET(B)) receptor agonist IRL 1620 were investigated in the rat P22 carcinosarcoma and a range of normal tissues in BDIX rats. Tissue blood flow rate was calculated from measurements of tissue uptake of radiolabelled iodoantipyrine. A comparison of vascular effects in the P22 tumour and the HSN sarcoma growing in CBH/CBi rats was made using laser Doppler flowmetry, showing similar effects of IRL 1620, with red cell flux rapidly decreasing by 50-60% and then returning to control levels within approximately 30 min. This corresponded to similar levels but different spatial organisation of ET(B) binding sites in the two tumours, as measured by autoradiography. The decrease in tumour blood flow and an increase in vascular resistance suggest that the vascular component of ET(B) receptors in the P22 tumour is localised on contractile elements rather than on endothelial cells. ET(A) receptors were also identified. Vasoconstriction occurred uniformly throughout the P22 tumour mass, consistent with a measured homogeneous distribution of ET(B) receptors. IRL 1620 caused vasoconstriction in normal skeletal muscle, kidney and small intestine of the BDIX rat as well as in tumour, but did not affect blood flow in other tissues. These effects could be useful for limiting toxicity of certain chemotherapeutic agents. Fully functional ET(B) receptors are clearly expressed on tumour vasculature and IRL 1620 shows promise for short-term modification of tumour blood flow. Expression levels of ET(B) receptors on the tumour vasculature could be useful for predicting which tumours are likely to respond to IRL 1620.

摘要

在内皮素B(ET(B))受体激动剂IRL 1620对BDIX大鼠的P22癌肉瘤及一系列正常组织的血管效应进行了研究。通过测量放射性碘安替比林的组织摄取量来计算组织血流速率。使用激光多普勒血流仪比较了P22肿瘤和CBH/CBi大鼠体内生长的HSN肉瘤的血管效应,结果显示IRL 1620具有相似的效应,红细胞通量迅速降低50 - 60%,然后在约30分钟内恢复到对照水平。通过放射自显影测量发现,这与两种肿瘤中ET(B)结合位点水平相似但空间组织不同相对应。肿瘤血流减少和血管阻力增加表明P22肿瘤中ET(B)受体的血管成分定位于收缩元件而非内皮细胞。还鉴定出了ET(A)受体。血管收缩在整个P22肿瘤块中均匀发生,这与测得的ET(B)受体均匀分布一致。IRL 1620在BDIX大鼠的正常骨骼肌、肾脏和小肠以及肿瘤中均引起血管收缩,但不影响其他组织的血流。这些效应可能有助于限制某些化疗药物的毒性。功能性完整的ET(B)受体在肿瘤血管系统上明显表达,并且IRL 1620在短期改变肿瘤血流方面显示出前景。肿瘤血管系统上ET(B)受体的表达水平可能有助于预测哪些肿瘤可能对IRL 1620有反应。

https://cdn.ncbi.nlm.nih.gov/pmc/blobs/4f42/2361472/bb906e706dbc/93-6602672f1.jpg

文献检索

告别复杂PubMed语法,用中文像聊天一样搜索,搜遍4000万医学文献。AI智能推荐,让科研检索更轻松。

立即免费搜索

文件翻译

保留排版,准确专业,支持PDF/Word/PPT等文件格式,支持 12+语言互译。

免费翻译文档

深度研究

AI帮你快速写综述,25分钟生成高质量综述,智能提取关键信息,辅助科研写作。

立即免费体验