Suppr超能文献

基因排序:利用搜索引擎技术分析微阵列实验

GeneRank: using search engine technology for the analysis of microarray experiments.

作者信息

Morrison Julie L, Breitling Rainer, Higham Desmond J, Gilbert David R

机构信息

Bioinformatics Research Centre, University of Glasgow, Glasgow, UK.

出版信息

BMC Bioinformatics. 2005 Sep 21;6:233. doi: 10.1186/1471-2105-6-233.

Abstract

BACKGROUND

Interpretation of simple microarray experiments is usually based on the fold-change of gene expression between a reference and a "treated" sample where the treatment can be of many types from drug exposure to genetic variation. Interpretation of the results usually combines lists of differentially expressed genes with previous knowledge about their biological function. Here we evaluate a method--based on the PageRank algorithm employed by the popular search engine Google--that tries to automate some of this procedure to generate prioritized gene lists by exploiting biological background information.

RESULTS

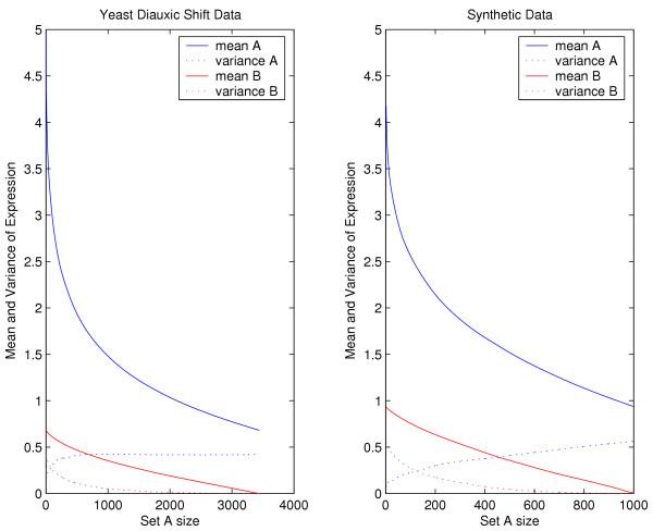
GeneRank is an intuitive modification of PageRank that maintains many of its mathematical properties. It combines gene expression information with a network structure derived from gene annotations (gene ontologies) or expression profile correlations. Using both simulated and real data we find that the algorithm offers an improved ranking of genes compared to pure expression change rankings.

CONCLUSION

Our modification of the PageRank algorithm provides an alternative method of evaluating microarray experimental results which combines prior knowledge about the underlying network. GeneRank offers an improvement compared to assessing the importance of a gene based on its experimentally observed fold-change alone and may be used as a basis for further analytical developments.

摘要

背景

简单微阵列实验的解读通常基于参考样本和“处理后”样本之间基因表达的倍数变化,其中处理可以是从药物暴露到基因变异等多种类型。结果的解读通常将差异表达基因列表与先前关于其生物学功能的知识相结合。在此,我们评估一种基于流行搜索引擎谷歌所采用的PageRank算法的方法,该方法试图通过利用生物学背景信息使这一过程的某些部分自动化,以生成优先排序的基因列表。

结果

基因排序(GeneRank)是对PageRank的直观修改,保留了其许多数学特性。它将基因表达信息与从基因注释(基因本体)或表达谱相关性得出的网络结构相结合。使用模拟数据和真实数据,我们发现与单纯的表达变化排序相比,该算法能提供更好的基因排名。

结论

我们对PageRank算法的修改提供了一种评估微阵列实验结果的替代方法,该方法结合了关于基础网络的先验知识。与仅基于实验观察到的倍数变化来评估基因的重要性相比,基因排序有改进,并且可作为进一步分析发展的基础。

https://cdn.ncbi.nlm.nih.gov/pmc/blobs/9198/1261158/cecf6f15182b/1471-2105-6-233-1.jpg

文献AI研究员

20分钟写一篇综述,助力文献阅读效率提升50倍。

立即体验

用中文搜PubMed

大模型驱动的PubMed中文搜索引擎

马上搜索

文档翻译

学术文献翻译模型,支持多种主流文档格式。

立即体验