Suppr超能文献

荧光假单胞菌邻氨基苯甲酸和苯甲酸代谢操纵子的鉴定及其启动子区域的功能表征

Identification of anthranilate and benzoate metabolic operons of Pseudomonas fluorescens and functional characterization of their promoter regions.

作者信息

Retallack Diane M, Thomas Tracey C, Shao Ying, Haney Keith L, Resnick Sol M, Lee Vincent D, Squires Charles H

机构信息

The Dow Chemical Company, Biotechnology Research and Development, 5501 Oberlin Dr, San Diego, CA 92121, USA.

出版信息

Microb Cell Fact. 2006 Jan 5;5:1. doi: 10.1186/1475-2859-5-1.

Abstract

BACKGROUND

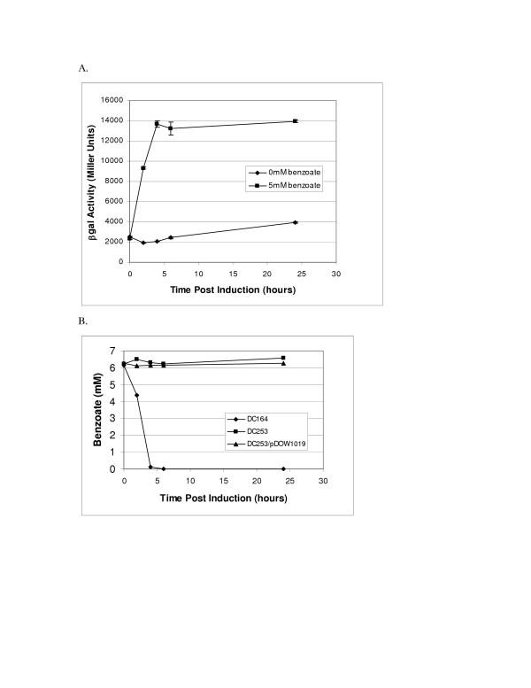
In an effort to identify alternate recombinant gene expression systems in Pseudomonas fluorescens, we identified genes encoding two native metabolic pathways that were inducible with inexpensive compounds: the anthranilate operon (antABC) and the benzoate operon (benABCD).

RESULTS

The antABC and benABCD operons were identified by homology to the Acinetobacter sp. anthranilate operon and Pseudomonas putida benzoate operon, and were confirmed to be regulated by anthranilate or benzoate, respectively. Fusions of the putative promoter regions to the E. coli lacZ gene were constructed to confirm inducible gene expression. Each operon was found to be controlled by an AraC family transcriptional activator, located immediately upstream of the first structural gene in each respective operon (antR or benR).

CONCLUSION

We have found the anthranilate and benzoate promoters to be useful for tightly controlling recombinant gene expression at both small (< 1 L) and large (20 L) fermentation scales.

摘要

背景

为了在荧光假单胞菌中鉴定替代重组基因表达系统,我们鉴定了编码两种可被廉价化合物诱导的天然代谢途径的基因:邻氨基苯甲酸操纵子(antABC)和苯甲酸操纵子(benABCD)。

结果

通过与不动杆菌属邻氨基苯甲酸操纵子和恶臭假单胞菌苯甲酸操纵子的同源性鉴定出antABC和benABCD操纵子,并分别证实它们受邻氨基苯甲酸或苯甲酸调控。构建了推定启动子区域与大肠杆菌lacZ基因的融合体以确认诱导型基因表达。发现每个操纵子由一个AraC家族转录激活因子控制,该激活因子位于每个操纵子(antR或benR)中第一个结构基因的紧邻上游。

结论

我们发现邻氨基苯甲酸和苯甲酸启动子可用于在小(<1 L)和大(20 L)发酵规模下严格控制重组基因表达。

https://cdn.ncbi.nlm.nih.gov/pmc/blobs/bd80/1360089/91ea1c571805/1475-2859-5-1-1.jpg

文献AI研究员

20分钟写一篇综述,助力文献阅读效率提升50倍。

立即体验

用中文搜PubMed

大模型驱动的PubMed中文搜索引擎

马上搜索

文档翻译

学术文献翻译模型,支持多种主流文档格式。

立即体验