Suppr超能文献

在精神分裂症自然主义治疗中停用非典型抗精神病药物与典型抗精神病药物的时间。

Time to discontinuation of atypical versus typical antipsychotics in the naturalistic treatment of schizophrenia.

作者信息

Ascher-Svanum Haya, Zhu Baojin, Faries Douglas, Landbloom Ron, Swartz Marvin, Swanson Jeff

机构信息

Lilly Research Laboratories, Eli Lilly and Company, Indianapolis, Indiana, USA.

出版信息

BMC Psychiatry. 2006 Feb 21;6:8. doi: 10.1186/1471-244X-6-8.

Abstract

BACKGROUND

There is an ongoing debate over whether atypical antipsychotics are more effective than typical antipsychotics in the treatment of schizophrenia. This naturalistic study compares atypical and typical antipsychotics on time to all-cause medication discontinuation, a recognized index of medication effectiveness in the treatment of schizophrenia.

METHODS

We used data from a large, 3-year, observational, non-randomized, multisite study of schizophrenia, conducted in the U.S. between 7/1997 and 9/2003. Patients who were initiated on oral atypical antipsychotics (clozapine, olanzapine, risperidone, quetiapine, or ziprasidone) or oral typical antipsychotics (low, medium, or high potency) were compared on time to all-cause medication discontinuation for 1 year following initiation. Treatment group comparisons were based on treatment episodes using 3 statistical approaches (Kaplan-Meier survival analysis, Cox Proportional Hazards regression model, and propensity score-adjusted bootstrap resampling methods). To further assess the robustness of the findings, sensitivity analyses were performed, including the use of (a) only 1 medication episode for each patient, the one with which the patient was treated first, and (b) all medication episodes, including those simultaneously initiated on more than 1 antipsychotic.

RESULTS

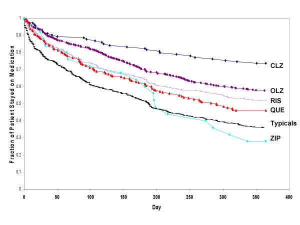
Mean time to all-cause medication discontinuation was longer on atypical (N = 1132, 256.3 days) compared to typical antipsychotics (N = 534, 197.2 days; p < .01), and longer on atypicals compared to typicals of high potency (N = 320, 187.5 days; p < .01), medium potency (N = 140, 213.5 days; p < .01), and low potency (N = 74, 208.7 days; p < .01). Among the atypicals, only clozapine, olanzapine, and risperidone had significantly longer time to all-cause medication discontinuation compared to typicals, regardless of potency level, and compared to haloperidol with prophylactic anticholinergic treatment. When compared to perphenazine, a medium-potency typical antipsychotic, only clozapine and olanzapine had a consistently and significantly longer time to all-cause medication discontinuation. Results were confirmed by sensitivity analyses.

CONCLUSION

In the usual care of schizophrenia patients, time to medication discontinuation for any cause appears significantly longer for atypical than typical antipsychotics regardless of the typical antipsychotic potency level. Findings were primarily driven by clozapine and olanzapine, and to a lesser extent by risperidone. Furthermore, only clozapine and olanzapine therapy showed consistently and significantly longer treatment duration compared to perphenazine, a medium-potency typical antipsychotic.

摘要

背景

关于非典型抗精神病药物在治疗精神分裂症方面是否比典型抗精神病药物更有效,目前仍存在争议。本自然主义研究比较了非典型和典型抗精神病药物在全因停药时间方面的差异,全因停药时间是治疗精神分裂症药物有效性的一个公认指标。

方法

我们使用了一项在美国于1997年7月至2003年9月期间进行的为期3年的大型、观察性、非随机、多中心精神分裂症研究的数据。对开始使用口服非典型抗精神病药物(氯氮平、奥氮平、利培酮、喹硫平或齐拉西酮)或口服典型抗精神病药物(低、中或高效能)的患者,比较开始用药后1年内的全因停药时间。治疗组比较基于治疗发作,采用3种统计方法(Kaplan-Meier生存分析、Cox比例风险回归模型和倾向得分调整的自助重抽样方法)。为进一步评估研究结果的稳健性,进行了敏感性分析,包括(a)每位患者仅使用1个用药发作,即患者首次接受治疗的那个发作,以及(b)所有用药发作,包括同时开始使用超过1种抗精神病药物的发作。

结果

与典型抗精神病药物(N = 534,197.2天;p <.01)相比,非典型抗精神病药物(N = 1132,256.3天)的全因停药平均时间更长,与高效能典型抗精神病药物(N = 320,187.5天;p <.01)、中效能典型抗精神病药物(N = 140,213.5天;p <.01)和低效能典型抗精神病药物(N = 74,208.7天;p <.01)相比,非典型抗精神病药物的全因停药时间也更长。在非典型抗精神病药物中,无论效能水平如何,只有氯氮平、奥氮平和利培酮与典型抗精神病药物相比,全因停药时间显著更长,与使用预防性抗胆碱能治疗的氟哌啶醇相比也是如此。与中效能典型抗精神病药物奋乃静相比,只有氯氮平和奥氮平全因停药时间始终显著更长。敏感性分析证实了结果。

结论

在精神分裂症患者的常规治疗中,无论典型抗精神病药物的效能水平如何,非典型抗精神病药物因任何原因停药的时间似乎都比典型抗精神病药物显著更长。研究结果主要由氯氮平和奥氮平驱动,利培酮的影响较小。此外,与中效能典型抗精神病药物奋乃静相比,只有氯氮平和奥氮平治疗显示出始终显著更长的治疗持续时间。

https://cdn.ncbi.nlm.nih.gov/pmc/blobs/7054/1402287/4059fcd9be60/1471-244X-6-8-1.jpg

文献AI研究员

20分钟写一篇综述,助力文献阅读效率提升50倍。

立即体验

用中文搜PubMed

大模型驱动的PubMed中文搜索引擎

马上搜索

文档翻译

学术文献翻译模型,支持多种主流文档格式。

立即体验