Nath Rahul, Mant Christine A, Kell Barbara, Cason John, Bible Jon M
Department of Infectious Diseases, Second Floor New Guy's House, Guy's Hospital, Guy's, King's College and St Thomas' School of Medicine, King's College London, London SE19RT, UK.
Cancer Cell Int. 2006 Aug 9;6:19. doi: 10.1186/1475-2867-6-19.
Human papillomavirus type 16 (HPV-16) E5 protein co-operates with epidermal growth factor to stimulate mitogenesis of murine fibroblasts. Currently, little is known about which viral amino acids are involved in this process. Using sequence variants of HPV-16 E5 we have investigated their effects upon E5 transcription, cell-cycling and cell-growth of murine fibroblasts.
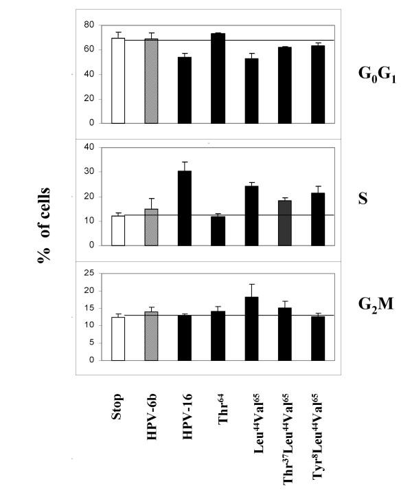
We demonstrate that: (i) introduction of Thr64 into the reference E5 sequence of HPV-16 abrogates mitogenic activity: both were poorly transcribed in NIH-3T3 cells; (ii) substitution of Leu44Val65 or, Thr37Leu44Val65 into the HPV-16 E5 reference backbone resulted in high transcription in NIH-3T3 cells, enhanced cell-cycle progression and high cell-growth; and, (iii) inclusion of Tyr8 into the Leu44Val65 backbone inhibited E5 induced cell-growth and repression of p21 expression, despite high transcription levels.
The effects of HPV-16 E5 variants upon mitosis help to explain why Leu44Val65 HPV-16 E5 variants are most prevalent in 'wild' pathogenic viral populations in the UK.
人乳头瘤病毒16型(HPV - 16)E5蛋白与表皮生长因子协同作用,刺激小鼠成纤维细胞的有丝分裂。目前,对于此过程涉及哪些病毒氨基酸知之甚少。我们利用HPV - 16 E5的序列变体研究了它们对E5转录、细胞周期及小鼠成纤维细胞生长的影响。
我们证明:(i)将苏氨酸64引入HPV - 16的参考E5序列会消除有丝分裂活性:二者在NIH - 3T3细胞中均转录不佳;(ii)将亮氨酸44缬氨酸65或苏氨酸37亮氨酸44缬氨酸65替换到HPV - 16 E5参考主链中,会导致在NIH - 3T3细胞中高转录、细胞周期进程加快及细胞高生长;并且,(iii)尽管转录水平高,但将酪氨酸8包含到亮氨酸44缬氨酸65主链中会抑制E5诱导的细胞生长及p21表达的抑制。
HPV - 16 E5变体对有丝分裂的影响有助于解释为何亮氨酸44缬氨酸65 HPV - 16 E5变体在英国“野生”致病病毒群体中最为普遍。