• 文献检索
  • 文档翻译
  • 深度研究
  • 学术资讯
  • Suppr Zotero 插件Zotero 插件
  • 邀请有礼
  • 套餐&价格
  • 历史记录
应用&插件
Suppr Zotero 插件Zotero 插件浏览器插件Mac 客户端Windows 客户端微信小程序
定价
高级版会员购买积分包购买API积分包
服务
文献检索文档翻译深度研究API 文档MCP 服务
关于我们
关于 Suppr公司介绍联系我们用户协议隐私条款
关注我们

Suppr 超能文献

核心技术专利:CN118964589B侵权必究
粤ICP备2023148730 号-1Suppr @ 2026

文献检索

告别复杂PubMed语法,用中文像聊天一样搜索,搜遍4000万医学文献。AI智能推荐,让科研检索更轻松。

立即免费搜索

文件翻译

保留排版,准确专业,支持PDF/Word/PPT等文件格式,支持 12+语言互译。

免费翻译文档

深度研究

AI帮你快速写综述,25分钟生成高质量综述,智能提取关键信息,辅助科研写作。

立即免费体验

II型胶原蛋白的模拟肽可抑制HLA-DR4(DRB1*0401)转基因小鼠的关节炎。

Analog peptides of type II collagen can suppress arthritis in HLA-DR4 (DRB1*0401) transgenic mice.

作者信息

Sakurai Yoshihiko, Brand David D, Tang Bo, Rosloniec Edward F, Stuart John M, Kang Andrew H, Myers Linda K

机构信息

Department of Medicine, University of Tennessee, 956 Court Avenue, Memphis, TN 38163, USA.

出版信息

Arthritis Res Ther. 2006;8(5):R150. doi: 10.1186/ar2043.

DOI:10.1186/ar2043
PMID:16982003
原文链接:https://pmc.ncbi.nlm.nih.gov/articles/PMC1779432/
Abstract

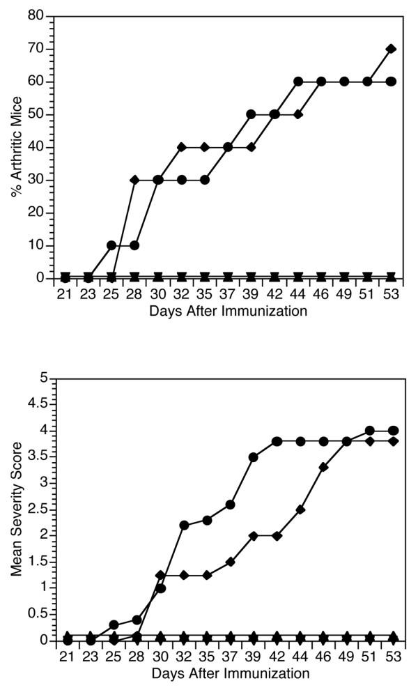
Rheumatoid arthritis (RA) is an autoimmune disease associated with the recognition of self proteins secluded in diarthrodial joints. We have previously established that mice transgenic for the human DR genes associated with RA are susceptible to collagen-induced arthritis (CIA) and we have identified a determinant of type II collagen (CII(263-270)) that triggers T-cell immune responses in these mice. We have also determined that an analog of CII(263-270) would suppress disease in DR1 transgenic mice. Because the immunodominant determinant is the same for both DR1 transgenic and DR4 transgenic mice, we attempted to determine whether the analog peptide that was suppressive in DR1 transgenic mice would also be effective in suppressing CIA in DR4 transgenic mice. We treated DR4 transgenic mice with two analog peptides of CII that contained substitutions in the core of the immunodominant determinant: CII(256-276) (F263N, E266D) and CII(256-270) (F263N, E266A). Mice were observed for CIA, and T-cell proliferative responses were determined. Either peptide administered at the time of immunization with CII significantly downregulated arthritis. Binding studies demonstrated that replacement of the phenylalanine residue in position 263 of the CII peptide with asparagine significantly decreased the affinity of the peptide for the DR4 molecule. In contrast, replacement of the glutamic acid residue in position 266 with aspartic acid or with alanine had differing results. Aspartic acid reduced the affinity (35-fold) whereas alanine did not. Both peptides were capable of suppressing CIA. With the use of either peptide, CII(256-276) (F263N, E266D) or CII(256-270) (F263N, E266A), the modulation of CIA was associated with an increase in T-cell secretion of IL-4 together with a decrease in IFN-gamma. We have identified two analog peptides that are potent suppressors of CIA in DR4 transgenic mice. These experiments represent the first description of an analog peptide of CII recognized by T cells in the context of HLA-DR4 that can suppress autoimmune arthritis.

摘要

类风湿性关节炎(RA)是一种自身免疫性疾病,与识别存在于滑膜关节中的自身蛋白有关。我们之前已经证实,携带与RA相关的人类DR基因的转基因小鼠易患胶原诱导的关节炎(CIA),并且我们已经鉴定出一种II型胶原蛋白(CII(263 - 270))的决定簇,它能在这些小鼠中触发T细胞免疫反应。我们还确定,CII(263 - 270)的类似物能抑制DR1转基因小鼠的疾病。由于DR1转基因小鼠和DR4转基因小鼠的免疫显性决定簇相同,我们试图确定在DR1转基因小鼠中具有抑制作用的类似肽在DR4转基因小鼠中是否也能有效抑制CIA。我们用两种CII类似肽处理DR4转基因小鼠,这两种肽在免疫显性决定簇的核心区域有替换:CII(256 - 276)(F263N,E266D)和CII(256 - 270)(F263N,E266A)。观察小鼠的CIA情况,并测定T细胞增殖反应。在注射CII时给予任何一种肽都能显著下调关节炎。结合研究表明,将CII肽第263位的苯丙氨酸残基替换为天冬酰胺会显著降低该肽与DR4分子的亲和力。相比之下,将第266位的谷氨酸残基替换为天冬氨酸或丙氨酸会有不同结果。天冬氨酸降低了亲和力(35倍),而丙氨酸则没有。两种肽都能够抑制CIA。使用CII(256 - 276)(F263N,E266D)或CII(256 - 270)(F263N,E266A)这两种肽中的任何一种,CIA的调节都与T细胞分泌IL - 4增加以及IFN - γ减少有关。我们已经鉴定出两种类似肽,它们是DR4转基因小鼠中CIA的有效抑制剂。这些实验首次描述了在HLA - DR4背景下被T细胞识别的CII类似肽,它能够抑制自身免疫性关节炎。

https://cdn.ncbi.nlm.nih.gov/pmc/blobs/1ab0/1779432/7cc39a64966a/ar2043-3.jpg
https://cdn.ncbi.nlm.nih.gov/pmc/blobs/1ab0/1779432/8701f083e370/ar2043-1.jpg
https://cdn.ncbi.nlm.nih.gov/pmc/blobs/1ab0/1779432/7972c8351f50/ar2043-2.jpg
https://cdn.ncbi.nlm.nih.gov/pmc/blobs/1ab0/1779432/7cc39a64966a/ar2043-3.jpg
https://cdn.ncbi.nlm.nih.gov/pmc/blobs/1ab0/1779432/8701f083e370/ar2043-1.jpg
https://cdn.ncbi.nlm.nih.gov/pmc/blobs/1ab0/1779432/7972c8351f50/ar2043-2.jpg
https://cdn.ncbi.nlm.nih.gov/pmc/blobs/1ab0/1779432/7cc39a64966a/ar2043-3.jpg

相似文献

1
Analog peptides of type II collagen can suppress arthritis in HLA-DR4 (DRB1*0401) transgenic mice.II型胶原蛋白的模拟肽可抑制HLA-DR4(DRB1*0401)转基因小鼠的关节炎。
Arthritis Res Ther. 2006;8(5):R150. doi: 10.1186/ar2043.
2
HLA-DR1 (DRB1*0101) and DR4 (DRB1*0401) use the same anchor residues for binding an immunodominant peptide derived from human type II collagen.HLA-DR1(DRB1*0101)和DR4(DRB1*0401)利用相同的锚定残基来结合源自人II型胶原蛋白的免疫显性肽。
J Immunol. 2002 Jan 1;168(1):253-9. doi: 10.4049/jimmunol.168.1.253.
3
Peptide-induced suppression of collagen-induced arthritis in HLA-DR1 transgenic mice.肽诱导的HLA-DR1转基因小鼠胶原诱导性关节炎的抑制作用
Arthritis Rheum. 2002 Dec;46(12):3369-77. doi: 10.1002/art.10687.
4
Collagen-induced arthritis mediated by HLA-DR1 (*0101) and HLA-DR4 (*0401).由HLA - DR1(*0101)和HLA - DR4(*0401)介导的胶原诱导性关节炎。
Am J Med Sci. 2004 Apr;327(4):169-79. doi: 10.1097/00000441-200404000-00002.
5
Breaking T cell tolerance against self type II collagen in HLA-DR4-transgenic mice and development of autoimmune arthritis.在 HLA-DR4 转基因小鼠中打破针对自身 II 型胶原蛋白的 T 细胞耐受性并引发自身免疫性关节炎。
Arthritis Rheum. 2010 Jul;62(7):1911-20. doi: 10.1002/art.27460.
6
The influence of HLA-DR4 (0401) on the immune response to type II collagen and the development of collagen induced arthritis in mice.HLA - DR4(0401)对小鼠Ⅱ型胶原蛋白免疫反应及胶原诱导性关节炎发展的影响。
J Autoimmun. 2002 Mar;18(2):95-103. doi: 10.1006/jaut.2001.0569.
7
T cell receptors recognizing type II collagen in HLA-DR-transgenic mice characterized by highly restricted V beta usage.在以高度受限的Vβ使用为特征的HLA - DR转基因小鼠中识别II型胶原蛋白的T细胞受体。
Arthritis Rheum. 2004 Jun;50(6):1996-2004. doi: 10.1002/art.20289.
8
Induction of autoimmune arthritis in HLA-DR4 (DRB1*0401) transgenic mice by immunization with human and bovine type II collagen.通过用人和牛II型胶原蛋白免疫在HLA - DR4(DRB1*0401)转基因小鼠中诱导自身免疫性关节炎。
J Immunol. 1998 Mar 15;160(6):2573-8.
9
Interferon-gamma production in response to in vitro stimulation with collagen type II in rheumatoid arthritis is associated with HLA-DRB1(*)0401 and HLA-DQ8.类风湿关节炎患者中,对Ⅱ型胶原体外刺激产生的γ干扰素与HLA - DRB1(*)0401和HLA - DQ8相关。
Arthritis Res. 2000;2(1):75-84. doi: 10.1186/ar71.
10
Comparative analysis of collagen type II-specific immune responses during development of collagen-induced arthritis in two B10 mouse strains.两种B10小鼠品系在胶原诱导性关节炎发展过程中II型胶原特异性免疫反应的比较分析。
Arthritis Res Ther. 2012 Nov 1;14(6):R237. doi: 10.1186/ar4080.

引用本文的文献

1
A fructosylated peptide derived from a collagen II T cell epitope for long-term treatment of arthritis (FIA-CIA) in mice.一种源自胶原 II T 细胞表位的糖基化肽,用于治疗关节炎(FIA-CIA)的长期治疗,在小鼠中。
Sci Rep. 2021 Aug 30;11(1):17345. doi: 10.1038/s41598-021-95193-2.
2
Peptide-Based Vaccination Therapy for Rheumatic Diseases.基于肽的风湿性疾病疫苗疗法。
J Immunol Res. 2020 Mar 18;2020:8060375. doi: 10.1155/2020/8060375. eCollection 2020.
3
Quantitative Prediction of the Landscape of T Cell Epitope Immunogenicity in Sequence Space.

本文引用的文献

1
Tetramer analysis of human autoreactive CD4-positive T cells.人类自身反应性CD4阳性T细胞的四聚体分析
Adv Immunol. 2005;88:51-71. doi: 10.1016/S0065-2776(05)88002-2.
2
Functional avidity directs T-cell fate in autoreactive CD4+ T cells.功能性亲和力决定自身反应性CD4+ T细胞的命运。
Blood. 2005 Oct 15;106(8):2798-805. doi: 10.1182/blood-2004-12-4848. Epub 2005 Jul 19.
3
Peptide-induced suppression of collagen-induced arthritis in HLA-DR1 transgenic mice.肽诱导的HLA-DR1转基因小鼠胶原诱导性关节炎的抑制作用
定量预测序列空间中 T 细胞表位免疫原性的景观。
Front Immunol. 2019 Apr 16;10:827. doi: 10.3389/fimmu.2019.00827. eCollection 2019.
4
Humanized Mouse Models of Rheumatoid Arthritis for Studies on Immunopathogenesis and Preclinical Testing of Cell-Based Therapies.类风湿关节炎的人源化小鼠模型用于免疫发病机制研究和基于细胞的疗法的临床前测试。
Front Immunol. 2019 Feb 19;10:203. doi: 10.3389/fimmu.2019.00203. eCollection 2019.
5
The role of Syk in peripheral T cells.Syk 在周围 T 细胞中的作用。
Clin Immunol. 2018 Jul;192:50-57. doi: 10.1016/j.clim.2018.04.007. Epub 2018 Apr 16.
6
Function and regulation of self-reactive marginal zone B cells in autoimmune arthritis.自身反应性边缘区B细胞在自身免疫性关节炎中的功能与调控
Cell Mol Immunol. 2015 Jul;12(4):493-504. doi: 10.1038/cmi.2015.37. Epub 2015 May 11.
7
Characterization of inhibitory T cells induced by an analog of type II collagen in an HLA-DR1 humanized mouse model of autoimmune arthritis.在 HLA-DR1 人源化关节炎小鼠模型中,二型胶原类似物诱导的抑制性 T 细胞的特征。
Arthritis Res Ther. 2012 May 8;14(3):R107. doi: 10.1186/ar3832.
8
Peptide immunotherapy for childhood allergy - addressing translational challenges.儿童过敏的肽免疫疗法-解决转化挑战。
Clin Transl Allergy. 2011 Nov 7;1(1):13. doi: 10.1186/2045-7022-1-13.
9
Polymerized-type I collagen induces upregulation of Foxp3-expressing CD4 regulatory T cells and downregulation of IL-17-producing CD4⁺ T cells (Th17) cells in collagen-induced arthritis.在胶原诱导的关节炎中,聚合型I型胶原可诱导表达Foxp3的CD4调节性T细胞上调,并下调产生白细胞介素-17的CD4⁺T细胞(Th17细胞)。
Clin Dev Immunol. 2012;2012:618608. doi: 10.1155/2012/618608. Epub 2011 Oct 19.
10
Design of glycopeptides used to investigate class II MHC binding and T-cell responses associated with autoimmune arthritis.用于研究与自身免疫性关节炎相关的 II 类 MHC 结合和 T 细胞反应的糖肽设计。
PLoS One. 2011 Mar 15;6(3):e17881. doi: 10.1371/journal.pone.0017881.
Arthritis Rheum. 2002 Dec;46(12):3369-77. doi: 10.1002/art.10687.
4
HLA-DR1 (DRB1*0101) and DR4 (DRB1*0401) use the same anchor residues for binding an immunodominant peptide derived from human type II collagen.HLA-DR1(DRB1*0101)和DR4(DRB1*0401)利用相同的锚定残基来结合源自人II型胶原蛋白的免疫显性肽。
J Immunol. 2002 Jan 1;168(1):253-9. doi: 10.4049/jimmunol.168.1.253.
5
Effective treatment of established murine collagen-induced arthritis by systemic administration of dendritic cells genetically modified to express IL-4.通过全身给予经基因改造以表达白细胞介素-4的树突状细胞,有效治疗已形成的小鼠胶原诱导性关节炎。
J Immunol. 2001 Mar 1;166(5):3499-505. doi: 10.4049/jimmunol.166.5.3499.
6
Protection against cartilage and bone destruction by systemic interleukin-4 treatment in established murine type II collagen-induced arthritis.在已建立的小鼠II型胶原诱导性关节炎中,通过全身性白细胞介素-4治疗预防软骨和骨破坏。
Arthritis Res. 1999;1(1):81-91. doi: 10.1186/ar14. Epub 1999 Oct 26.
7
Adeno-associated virus mediates long-term gene transfer and delivery of chondroprotective IL-4 to murine synovium.腺相关病毒介导软骨保护因子白细胞介素-4向小鼠滑膜的长期基因转移与递送。
Mol Ther. 2000 Aug;2(2):147-52. doi: 10.1006/mthe.2000.0111.
8
IgG antibodies to type II collagen reflect inflammatory activity in patients with rheumatoid arthritis.抗II型胶原IgG抗体反映类风湿性关节炎患者的炎症活动。
J Rheumatol. 2000 Mar;27(3):575-81.
9
Crystal structures of two I-Ad-peptide complexes reveal that high affinity can be achieved without large anchor residues.两种I-Ad-肽复合物的晶体结构表明,无需大的锚定残基即可实现高亲和力。
Immunity. 1998 Mar;8(3):319-29. doi: 10.1016/s1074-7613(00)80537-3.
10
Induction of autoimmune arthritis in HLA-DR4 (DRB1*0401) transgenic mice by immunization with human and bovine type II collagen.通过用人和牛II型胶原蛋白免疫在HLA - DR4(DRB1*0401)转基因小鼠中诱导自身免疫性关节炎。
J Immunol. 1998 Mar 15;160(6):2573-8.