Suppr超能文献

Infection of dogs by experimental inoculation with human isolates of Giardia duodenalis: clinical and laboratory manifestations.

作者信息

Rosa L A G, Gomes M A, Mundim A V, Mundim M J S, Pozzer E L, Faria E S M, Viana J C, Cury M C

机构信息

Laboratory of Parasitology, Institute of Biomedical Sciences, Federal University of Uberlândia (UFU), MG, Brazil.

出版信息

Vet Parasitol. 2007 Apr 10;145(1-2):37-44. doi: 10.1016/j.vetpar.2006.11.016. Epub 2006 Dec 18.

Abstract

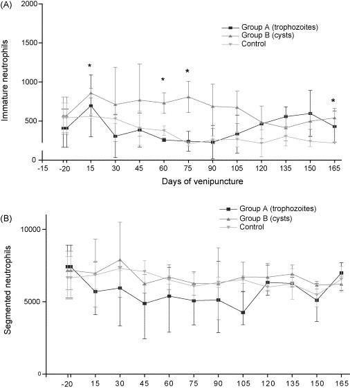
The susceptibility of dogs to experimental inoculation with trophozoites and cysts of human isolates of Giardia duodenalis and the clinical and laboratory profiles of infection of these animals were studied. Two groups (A and B), each comprising three dogs, were inoculated with G. duodenalis trophozoites and cysts, respectively. A third group of two dogs was not inoculated and remained as control. After inoculation feces were collected daily to determine the pre-patent period, by flotation in 33% zinc sulfate solution. Blood samples (5mL) were collected from animals at 15-day intervals during the 165 days of the experimental period and were used to carry out the hemogram and biochemical evaluation of the levels of total protein, albumin, alanine aminotransferase, gamma glutamyltransferase, urea and creatinine. A prepatent period was observed at 5-6 days post-inoculation (p.i.) in the inoculated dogs, with cysts eliminated for approximately 3 months. No alterations were seen in the clinical parameters evaluated. Anemia was observed at 15 p.i. in the inoculated dogs. The mean eosinophil count of inoculated groups was higher than that of the control (p< or =0.05) but none of the biochemical parameters analyzed presented significant differences. The results of this study show that G. duodenalis from human isolates is able to infect dogs with minimal systemic manifestations without producing clinical signs of giardiasis.

摘要
https://cdn.ncbi.nlm.nih.gov/pmc/blobs/5971/7127194/81ee90e7d67f/gr1.jpg

文献AI研究员

20分钟写一篇综述,助力文献阅读效率提升50倍。

立即体验

用中文搜PubMed

大模型驱动的PubMed中文搜索引擎

马上搜索

文档翻译

学术文献翻译模型,支持多种主流文档格式。

立即体验