Suppr超能文献

糖尿病易感基因对器官特异性T细胞阴性选择的损害:通过mRNA谱进行基因组分析

Impairment of organ-specific T cell negative selection by diabetes susceptibility genes: genomic analysis by mRNA profiling.

作者信息

Liston Adrian, Hardy Kristine, Pittelkow Yvonne, Wilson Susan R, Makaroff Lydia E, Fahrer Aude M, Goodnow Christopher C

机构信息

John Curtin School of Medical Research, The Australian National University, Canberra, ACT 2601, Australia.

出版信息

Genome Biol. 2007;8(1):R12. doi: 10.1186/gb-2007-8-1-r12.

Abstract

BACKGROUND

T cells in the thymus undergo opposing positive and negative selection processes so that the only T cells entering circulation are those bearing a T cell receptor (TCR) with a low affinity for self. The mechanism differentiating negative from positive selection is poorly understood, despite the fact that inherited defects in negative selection underlie organ-specific autoimmune disease in AIRE-deficient people and the non-obese diabetic (NOD) mouse strain

RESULTS

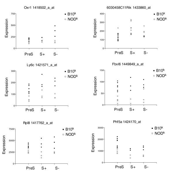
Here we use homogeneous populations of T cells undergoing either positive or negative selection in vivo together with genome-wide transcription profiling on microarrays to identify the gene expression differences underlying negative selection to an Aire-dependent organ-specific antigen, including the upregulation of a genomic cluster in the cytogenetic band 2F. Analysis of defective negative selection in the autoimmune-prone NOD strain demonstrates a global impairment in the induction of the negative selection response gene set, but little difference in positive selection response genes. Combining expression differences with genetic linkage data, we identify differentially expressed candidate genes, including Bim, Bnip3, Smox, Pdrg1, Id1, Pdcd1, Ly6c, Pdia3, Trim30 and Trim12.

CONCLUSION

The data provide a molecular map of the negative selection response in vivo and, by analysis of deviations from this pathway in the autoimmune susceptible NOD strain, suggest that susceptibility arises from small expression differences in genes acting at multiple points in the pathway between the TCR and cell death.

摘要

背景

胸腺中的T细胞经历相反的阳性和阴性选择过程,因此进入循环的唯一T细胞是那些携带对自身亲和力低的T细胞受体(TCR)的细胞。尽管阴性选择的遗传缺陷是Aire缺陷人群和非肥胖糖尿病(NOD)小鼠品系中器官特异性自身免疫疾病的基础,但区分阴性选择和阳性选择的机制仍知之甚少。

结果

在这里,我们使用在体内经历阳性或阴性选择的T细胞同质群体,结合微阵列上的全基因组转录谱分析,以确定对Aire依赖性器官特异性抗原进行阴性选择的潜在基因表达差异,包括细胞遗传带2F中一个基因组簇的上调。对自身免疫易感NOD品系中缺陷阴性选择的分析表明,阴性选择反应基因集的诱导存在整体损伤,但阳性选择反应基因的差异很小。将表达差异与遗传连锁数据相结合,我们鉴定出差异表达的候选基因,包括Bim、Bnip3、Smox、Pdrg1、Id1、Pdcd1、Ly6c、Pdia3、Trim30和Trim12。

结论

这些数据提供了体内阴性选择反应的分子图谱,并且通过分析自身免疫易感NOD品系中该途径的偏差,表明易感性源于在TCR和细胞死亡之间途径中多个点起作用的基因的微小表达差异。

https://cdn.ncbi.nlm.nih.gov/pmc/blobs/81b6/1839132/49c1df6d06eb/gb-2007-8-1-r12-1.jpg

文献AI研究员

20分钟写一篇综述,助力文献阅读效率提升50倍。

立即体验

用中文搜PubMed

大模型驱动的PubMed中文搜索引擎

马上搜索

文档翻译

学术文献翻译模型,支持多种主流文档格式。

立即体验