Zobywalski Anke, Javorovic Miran, Frankenberger Bernhard, Pohla Heike, Kremmer Elisabeth, Bigalke Iris, Schendel Dolores J
Institute of Molecular Immunology, GSF-National Research Center for Environment and Health, Munich, Germany.
J Transl Med. 2007 Apr 12;5:18. doi: 10.1186/1479-5876-5-18.
For optimal T cell activation it is desirable that dendritic cells (DCs) display peptides within MHC molecules as signal 1, costimulatory molecules as signal 2 and, in addition, produce IL-12p70 as signal 3. IL-12p70 polarizes T cell responses towards CD4+ T helper 1 cells, which then support the development of CD8+ cytotoxic T lymphocytes. We therefore developed new maturation cocktails allowing DCs to produce biologically active IL-12p70 for large-scale cancer vaccine development.
After elutriation of leukapheresis products in a closed bag system, enriched monocytes were cultured with GM-CSF and IL-4 for six days to generate immature DCs that were then matured with cocktails, containing cytokines, interferon-gamma, prostaglandin E2, and a ligand for Toll-like receptor 8, with or without poly (I:C).
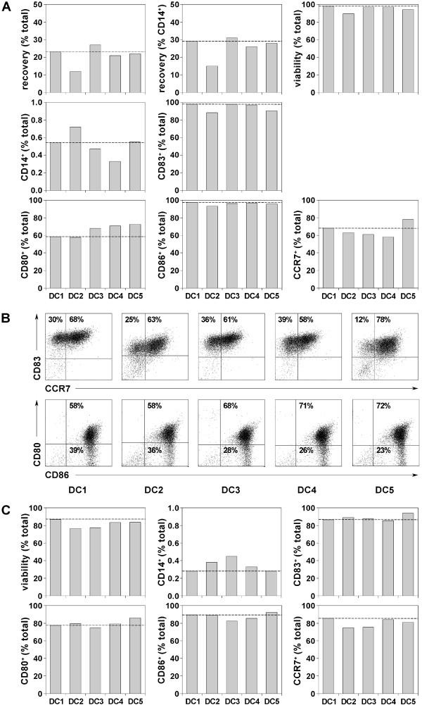
Mature DCs expressed appropriate maturation markers and the lymph node homing chemokine receptor, CCR7. They retained full maturity after culture for two days without maturation cocktails and following cryopreservation. TLR ligand stimulation induced DCs capable of secreting IL-12p70 in primary cultures and after one day of coculture with CD40L-expressing fibroblasts, mimicking an encounter with T cells. DCs matured with our new cocktails containing TLR8 ligand, with or without poly (I:C), induced alloresponses and stimulated virus-specific T cells after peptide-pulsing. DCs matured in cocktails containing TLR8 ligand without poly (I:C) could also be loaded with RNA as a source of antigen, whereas DCs matured in cocktails containing poly (I:C) were unable to express proteins following RNA transfer by electroporation.
Our new maturation cocktails allowed easy DC harvesting, stable maturation and substantial recoveries of mature DCs after cryopreservation. Our procedure for generating DCs is easily adaptable for GMP-compliance and yields IL-12p70-secreting DCs suitable for development of cancer vaccines using peptides or RNA as sources of immunizing antigens.
为实现最佳的T细胞活化,理想的情况是树突状细胞(DC)在MHC分子内展示肽段作为信号1,共刺激分子作为信号2,此外,还产生IL-12p70作为信号3。IL-12p70使T细胞反应偏向CD4+辅助性T细胞1型,随后支持CD8+细胞毒性T淋巴细胞的发育。因此,我们开发了新的成熟鸡尾酒配方,使DC能够产生具有生物活性的IL-12p70,用于大规模癌症疫苗的研发。
在封闭袋系统中对白血细胞分离产物进行淘洗后,将富集的单核细胞与GM-CSF和IL-4培养6天以生成未成熟的DC,然后用含有细胞因子、干扰素-γ、前列腺素E2和Toll样受体8配体的鸡尾酒配方使其成熟,添加或不添加聚(I:C)。
成熟的DC表达适当的成熟标志物和淋巴结归巢趋化因子受体CCR7。在不使用成熟鸡尾酒配方培养两天后以及冷冻保存后,它们仍保持完全成熟状态。TLR配体刺激可诱导DC在原代培养中以及与表达CD40L的成纤维细胞共培养一天后分泌IL-12p70,模拟与T细胞的相遇。用我们含有TLR8配体(添加或不添加聚(I:C))的新鸡尾酒配方成熟的DC在肽脉冲后诱导同种异体反应并刺激病毒特异性T细胞。在不含聚(I:C)的含有TLR8配体的鸡尾酒配方中成熟的DC也可以加载RNA作为抗原来源,而在含有聚(I:C)的鸡尾酒配方中成熟的DC在通过电穿孔进行RNA转移后无法表达蛋白质。
我们的新成熟鸡尾酒配方便于收获DC,实现稳定成熟,并且冷冻保存后成熟DC的回收率高。我们生成DC的程序易于适应符合GMP标准,并且产生能够分泌IL-12p70的DC,适用于开发使用肽或RNA作为免疫抗原来源的癌症疫苗。