Donev Rossen M, Sivasankar Baalasubramanian, Mizuno Masashi, Morgan B Paul
Department of Medical Biochemistry and Immunology, School of Medicine, Cardiff University, Cardiff CF14 4XN, UK.
Mol Immunol. 2008 Jan;45(2):534-42. doi: 10.1016/j.molimm.2007.05.011. Epub 2007 Jun 26.
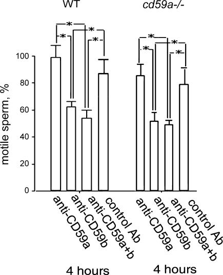
In mouse, genes encoding complement regulators CD55 and CD59 have been duplicated. The first described form of CD59, CD59a, is broadly distributed in mouse tissues, while the later identified CD59b was originally described as testis specific. Subsequent studies have been contradictory, some reporting widespread and abundant expression of CD59b. Resolution of the distribution patterns of the CD59 isoforms is important for interpretation of disease studies utilising CD59 knockout mice. Here we have performed a comprehensive distribution study of the CD59 isoforms at the mRNA and protein levels. These data confirm that expression of CD59b is essentially restricted to adult testis; trace expression in other tissues is a consequence of contamination with blood cells, shown previously to express CD59b at low level. In testis, onset of expression of CD59b coincided with puberty and was predominant on the spermatozoal acrosome. Ligation of CD59b, but not CD59a, markedly reduced spermatozoal motility, suggesting a specific role in reproductive function.
在小鼠中,编码补体调节蛋白CD55和CD59的基因发生了复制。最早描述的CD59形式,即CD59a,广泛分布于小鼠组织中,而后来鉴定出的CD59b最初被描述为睾丸特异性。随后的研究结果相互矛盾,一些研究报告称CD59b广泛且大量表达。解决CD59亚型的分布模式问题对于利用CD59基因敲除小鼠进行疾病研究的解释至关重要。在此,我们在mRNA和蛋白质水平上对CD59亚型进行了全面的分布研究。这些数据证实,CD59b的表达基本上仅限于成年睾丸;其他组织中的微量表达是血细胞污染的结果,先前已证明血细胞会低水平表达CD59b。在睾丸中,CD59b的表达起始与青春期同时发生,并且在精子顶体上占主导地位。CD59b而非CD59a的连接显著降低了精子活力,表明其在生殖功能中具有特定作用。